Regelungsgegenstand
§ 2Begriffsbestimmungen
§ 3Netznutzungsentgelt für Einspeiser und Entnehmer
§ 4Netznutzungsentgelt für Speicherunternehmen
§ 5Netzzutrittsentgelt im Fernleitungsnetz
§ 6Bestimmung des Netzbereitstellungsentgelts im Fernleitungsnetz
§ 7Ausgleichszahlungen
§ 8Bestimmungen zu Auktionen
§ 9Bestimmung des Netzbereitstellungsentgelts im Verteilernetz
§ 10Netznutzungsentgelt für Endverbraucher und Netzbetreiber
§ 11Netznutzungsentgelt im Verteilernetz an der Marktgebietsgrenze
§ 12Netznutzungsentgelt im Verteilernetz für Speicherunternehmen
§ 13Netznutzungsentgelt im Verteilernetz für Produktion und die Erzeugung von erneuerbaren Gasen
§ 14Kostenwälzung
§ 15Entgelt für Messleistungen
§ 16Verrechnung der Entgelte
§ 17Ausgleichszahlungen
§ 18Bestimmung von Entgelten für sonstige Leistungen
§ 19Höhe und Weiterverrechnung des Entgelts für Verteilergebietsmanager
§ 20Übergangsbestimmung
§ 21Inkrafttreten
Anl. 1Anl. 2
Anl. 3
Anl. 3a
Anl. 4
Vorwort
(1) Diese Verordnung bestimmt die folgenden Systemnutzungsentgelte für das Fernleitungsnetz:
1. Kapazitätsbasiertes sowie mengenbasiertes Netznutzungsentgelt;
2. Netzzutrittsentgelt sowie
3. Netzbereitstellungsentgelt.
(2) Diese Verordnung bestimmt das Verfahren der Kostenwälzung gemäß § 83 Abs. 3 GWG 2011, der Verrechnungsmodalitäten der Systemnutzungsentgelte, die Ausgleichszahlungen zwischen den Netzbetreibern eines Netzbereichs, das Entgelt für die Erfüllung der Aufgaben eines Verteilergebietsmanagers für die Verteilergebietsmanager der Verteilergebiete Ost, Tirol und Vorarlberg sowie die folgenden Systemnutzungsentgelte für das Verteilernetz:
1. Netznutzungsentgelt;
2. Netzzutrittsentgelt und Netzbereitstellungsentgelt;
3. Entgelt für Messleistungen sowie;
4. Entgelt für sonstige Leistungen.
(1) Im Sinne dieser Verordnung bezeichnet der Ausdruck
1. „Abrechnungsperiode“ grundsätzlich einen Zeitraum von 365 (bzw. 366) Tagen, sofern eine Leistungsmessung oder eine Messung mit einem Verbrauchsaufzeichnungsmessgerät gemäß § 2 Z 10 Lastprofilverordnung 2018 durchgeführt wird, kann ein Zeitraum von einem Monat vereinbart werden;
2. „Betriebsvolumen“ das vom Gaszähler gemessene Gasvolumen im Betriebszustand;
2a. Brennwertbezirk“ jenes Gebiet in einem Netz eines Netzbetreibers, in dem gemäß Kapitel 5 der ÖVGW Richtlinie G O110, Ausgabe Februar 2022 (siehe Anlage 4 ) aufgrund der physikalischen Gegebenheiten der gleiche Monatsbrennwert gilt. Der Netzbetreiber legt dabei nach den Regeln der Technik die Brennwertbezirke in seinem Netzgebiet fest. Die Einteilung der Brennwertbezirke richtet sich dabei nach jenen Faktoren, die eine Auswirkung auf den Brennwert haben. Die Abweichung der Brennwerte zwischen benachbarten Brennwertbezirken seines Netzes ist vom Netzbetreiber so festzulegen, dass die Anzahl der Brennwertbezirke in einem technisch und ökonomisch sinnvollen Ausmaß liegt;
3. „dynamisch zuordenbare Kapazitäten (DZK)“ eine Kapazität, die lediglich in Kombination mit spezifizierten Ein- bzw. Ausspeisepunkten als feste Kapazität angeboten werden kann, und eine Nutzung im Zusammenhang mit anderen Ein- bzw. Ausspeisepunkten bzw. dem virtuellen Handelspunkt nur auf unterbrechbarer Basis möglich ist (§ 3 Abs. 2 Z 2 Gas-Marktmodell-Verordnung 2012 (GMMO-VO 2012), BGBl. II Nr. 171/2012);
4. „Einspeiser aus inländischer Produktion“ einen Produzenten von Erdgas aus inländischer Produktion, der dieses in ein Netz einspeist;
5. „Energiemenge“ das Produkt aus Normvolumen und Verrechnungsbrennwert;
(1) Für das Netznutzungsentgelt für die Einspeisung in das bzw. für die Ausspeisung aus dem Fernleitungsnetz werden auf Grundlage der Referenzpreismethode sowie des Abschnittes zu mengenbasierten Fernleitungsentgelte gemäß Anlage 3 Entgelte bestimmt. Kapazitätsbasierte Netznutzungsentgelte sind, sofern nicht besonders ausgewiesen, in EUR/kWh/h pro Jahr und pro Ein- bzw. Ausspeisepunkt angegeben und sind vom Netzbenutzer auch dann zu entrichten, wenn die gebuchte Kapazität nicht oder nur teilweise oder für den Transport von erneuerbarem oder kohlenstoffarmem Gas nominiert wird. Mengenbasierte Netznutzungsentgelte sind, sofern nicht besonders ausgewiesen, in EUR/MWh und pro Ein- bzw. Ausspeisepunkt angegeben. Mengenbasierte Netznutzungsentgelte gelten für alle Arten der Kapazität (feste, frei zuordenbare Kapazität, unterbrechbare Kapazität, dynamisch zuordenbare Kapazitäten) in gleichem Ausmaß und werden auf Basis der tatsächlichen Nutzung von vertraglich vereinbarter Kapazität an den Netzbenutzer verrechnet.
(2) Das Netznutzungsentgelt für die Einspeisung in das Fernleitungsnetz für Verträge mit einer Laufzeit von einem Jahr oder länger wird für die folgenden Einspeisepunkte, bezogen auf die vertraglich vereinbarte Einspeiseleistung für feste, frei zuordenbare Einspeisekapazitäten, wie folgt bestimmt:
1. Baumgarten: 1,37;
2. Oberkappel: 1,37;
3. Überackern: 1,37;
4. Arnoldstein: 1,37;
5. Mosonmagyaróvár: 1,37;
6. Murfeld: 1,37;
(1) Für das Netznutzungsentgelt für die Ausspeisung aus dem Fernleitungsnetz in Speicheranlagen werden auf Grundlage der Referenzpreismethode gemäß Anlage 3 Entgelte bestimmt, die, sofern nicht besonders ausgewiesen, in EUR/kWh/h pro Jahr und pro Ausspeisepunkt angegeben werden und in denen die Kosten für Verdichterenergie inkludiert sind. Das Entgelt ist vom jeweiligen Speicherunternehmen auch dann zu entrichten, wenn für gemäß § 16 Gas-Marktmodell-Verordnung 2012 gebuchte Kapazität nicht oder nur teilweise nominiert wird.
(2) Das Netznutzungsentgelt für die Ausspeisung aus dem Fernleitungsnetz in Speicheranlagen wird für Verträge mit einer Laufzeit von einem Jahr für die folgenden Ausspeisepunkte, bezogen auf die vertraglich vereinbarte Leistung für feste, frei zuordenbare Ausspeisekapazitäten wie folgt bestimmt:
1. Speicher Penta-West: 2,15;
2. Speicher MAB: 1,07.
(2a) Das mengenbasierte Netznutzungsentgelt für die Ausspeisung aus dem Fernleitungsnetz in Speicheranlagen beträgt für alle Arten der Kapazität 0,13184 EUR/MWh.
(3) Die Entgelte gemäß Abs. 6 und 7 sind vom Speicherunternehmen monatlich und zusätzlich zum Entgelt gemäß Abs. 2 sowie § 12 Abs. 2 an den Netzbetreiber, an dessen Netz die Speicheranlage angeschlossen ist, zu entrichten. Ist eine Speicheranlage sowohl an das Fernleitungsnetz als auch das Verteilernetz angeschlossen, sind die Mengen für die Berechnung des Netznutzungsentgelts für die grenzüberschreitende Speichernutzung vom Fernleitungsnetzbetreiber zu ermitteln. Auf Basis der vom Fernleitungsnetzbetreiber ermittelten Mengen legen der Verteilernetzbetreiber und der Fernleitungsnetzbetreiber binnen sechs Wochen nach dem jeweiligen Monatsletzten separate Rechnungen an das jeweilige Speicherunternehmen. Die Aufteilung der Erlöse gemäß Abs. 6 zwischen den Netzbetreibern erfolgt je Bilanzgruppe im Verhältnis der im jeweiligen Monat aus der Speicheranlage in das jeweilige Netz eingespeisten Mengen in kWh. Die Aufteilung der Erlöse gemäß Abs. 7 zwischen den Netzbetreibern erfolgt je Bilanzgruppe im Verhältnis der im jeweiligen Monat in die Speicheranlage aus dem jeweiligen Netz ausgespeisten Mengen in kWh.
(4) Das Entgelt für unterbrechbare Kapazitäten entspricht grundsätzlich dem Entgelt für die gleiche Leistung auf fester Basis. Im Falle von Unterbrechungen ist dem Netzbenutzer eine Refundierung zu gewähren. Eine allfällige Refundierung innerhalb eines Leistungsmonats wird vom Entgelt für den betreffenden Leistungsmonat abgezogen. Das vom Fernleitungsnetzbetreiber zu refundierende Entgelt (E
Durch das Netzzutrittsentgelt werden dem Netzbetreiber alle angemessenen und den marktüblichen Preisen entsprechenden Aufwendungen abgegolten, die mit der erstmaligen Herstellung eines Anschlusses an ein Netz oder der Abänderung eines Anschlusses infolge Erhöhung der Anschlussleistung eines Netzbenutzers unmittelbar verbunden sind. Das Netzzutrittsentgelt ist einmalig zu entrichten und dem Netzbenutzer auf transparente und nachvollziehbare Weise darzulegen. Sofern die Kosten für den Netzanschluss vom Netzbenutzer selbst getragen werden, ist die Höhe des Netzzutrittsentgelts entsprechend zu vermindern. Das Netzzutrittsentgelt ist aufwandsorientiert zu verrechnen, wobei der Netzbetreiber eine Pauschalierung für vergleichbare Netzbenutzer vorsehen kann.
Das Netzbereitstellungsentgelt ist bei der Herstellung des Netzanschlusses oder bei einer Erhöhung der vertraglich vereinbarten Höchstleistung als leistungsbezogener Pauschalbetrag für den bereits erfolgten sowie notwendigen Ausbau des Netzes zur Ermöglichung des Anschlusses zu verrechnen. Es bemisst sich nach dem vereinbarten Ausmaß der Netznutzung und ist anlässlich des Abschlusses des Netzzugangsvertrages bzw. bei einer Erhöhung der vertraglich vereinbarten Höchstleistung einmalig in Rechnung zu stellen. Das Netzbereitstellungsentgelt für leistungsgemessene Anlagen und Speicheranlagen der Fernleitungsnetzebene wird wie folgt bestimmt:
1. für feste Kapazitäten: 3,00 EUR/kWh/h.
2. für unterbrechbare Kapazitäten: 0,-- EUR/kWh/h
(1) Die Ausgleichszahlungen zwischen Fernleitungsnetzbetreibern werden als Nettozahlungen, die Jahresbeträge darstellen, festgelegt und sind in zwölf gleichen Teilbeträgen monatlich zu leisten.
(2) Die Gas Connect Austria GmbH ist verpflichtet, an die TAG GmbH EUR 95.607.333,- an Ausgleichszahlung, höchstens jedoch in dem gemäß Pkt 1.5. der Anlage 3a festgelegten Ausmaß zu bezahlen. In Bezug auf das mengenbasierte Entgelt ist die Gas Connect Austria GmbH zusätzlich verpflichtet, in Abweichung zu Abs. 1 monatlich an die TAG GmbH EUR 596.937,- an Ausgleichszahlung, höchstens jedoch in dem gemäß Pkt 1.5. der Anlage 3a festgelegten Ausmaß zu bezahlen.
(1) Für Kapazitäten, die gemäß § 6 GMMO-VO 2012 per Auktion vergeben werden, gelten die jeweiligen Entgelte gemäß § 3 als Startpreis für die Auktion.
(2) Für Kapazitäten, die gemäß § 6 Abs. 1 GMMO-VO 2012 per Auktion vergeben werden, ist die Differenz zwischen dem Startpreis und dem in der Auktion erzielten Preis (Aufpreis) zusätzlich zum Startpreis für die jeweilige Dauer des Vertrages vom Netzbenutzer zu bezahlen. Ändern sich die Entgelte gemäß § 3 während der Vertragslaufzeit, ist der Gesamtpreis bestehend aus dem Startpreis und dem Aufpreis um die Differenz zwischen ursprünglichem und neuem Startpreis anzupassen.
(3) Im Falle von impliziten Allokationen gemäß Art. 2 Abs. 5 der Verordnung (EU) Nr. 2017/459 zur Festlegung eines Netzkodex über Mechanismen für die Kapazitätszuweisung in Fernleitungsnetzen und zur Aufhebung der Verordnung (EU) Nr. 984/2013 können niedrigere Faktoren als in § 3 Abs. 9 oder Abs. 9a angewendet werden.
(Anm.: Abs. 4 aufgehoben durch BGBl. II Nr. 85/2018)
(1) Für die Netzbereitstellungsentgelte im Verteilernetz werden bezogen auf die vertraglich vereinbarte Höchstleistung folgende Preisansätze bestimmt, wobei die Preisansätze in Euro (€) pro Kilowattstunde pro Stunde (kWh/h) angegeben werden:
1. Netzbereitstellungsentgelt für leistungsgemessene Anlagen und Speicheranlagen der Netzebenen 1 und 2: Bereiche Burgenland, Kärnten, Niederösterreich, Oberösterreich, Salzburg, Steiermark, Tirol, Vorarlberg und Wien:
a) für feste Kapazität bzw. Standardkapazitäten: 3,-- €
b) für unterbrechbare Kapazitäten für Speicheranlagen: 0,-- €
3. Netzbereitstellungsentgelt für leistungsgemessene Anlagen und Speicheranlagen der Netzebene 3 Bereiche Burgenland, Kärnten, Niederösterreich, Oberösterreich, Salzburg, Steiermark, Tirol, Vorarlberg und Wien:
a) für feste Kapazitäten bzw. Standardkapazitäten: 5,-- €
b) für unterbrechbare Kapazitäten für Speicheranlagen: 0,-- €
4. Netzbereitstellungsentgelt für nicht leistungsgemessene Anlagen der Netzebene 3:
Bereiche Burgenland, Kärnten, Niederösterreich, Oberösterreich, Salzburg, Steiermark, Tirol, Vorarlberg und Wien: 0,-- €
(1) Für das von Endverbrauchern sowie von Netzbetreibern innerhalb von Netzbereichen zu entrichtende Netznutzungsentgelt im Verteilernetz gemäß § 73 Abs. 2 GWG 2011 werden Entgelte, bestimmt, die, sofern nicht besonders ausgewiesen, in Cent/kWh pro Zählpunkt für den Arbeitspreis bzw. Cent/kWh/h pro Jahr und pro Zählpunkt für den Leistungspreis oder als Pauschale in Cent/Monat pro Zählpunkt angegeben werden. Für Anlagen, die an die Netzebene 1 angeschlossen sind, gelten die Entgelte der Netzebene 2. Ein Wechsel von Netzebene 3 auf Netzebene 2 für bereits an das Netz angeschlossene Anlagen ist nur zulässig, wenn aufgrund einer für den Betrieb der Anlage notwendigen technischen Änderung nachweislich ein Übergabedruck größer 6 bar erforderlich wird.
(2) Wird die verbrauchte Gasmenge im Normzustand gemessen, wird die Energiemenge als Produkt aus Normvolumen und Verrechnungsbrennwert gemäß § 2 Abs. 1 Z 13 ermittelt.
(3) Wird die verbrauchte Gasmenge im Betriebszustand gemessen, erfolgt die Ermittlung des Normvolumens nach den technischen Methoden der ÖVGW Richtlinie G O110, Ausgabe Februar 2022. Der Luftdruck (pamb) in einer zugeordneten Höhenzone ist einmalig zu bestimmen. Die Energiemenge errechnet sich als Produkt aus Normvolumen und Verrechnungsbrennwert gemäß § 2 Abs. 1 Z 13.
(4) Die Entgelte werden verbrauchs- und leistungsabhängig in Zonen bzw. Staffeln festgelegt. Die Zonen 1-4 sowie die Staffeln 1-4 kommen für nicht leistungsgemessene Anlagen, die Zonen A-F sowie die Staffeln A-F kommen für leistungsgemessene Anlagen zur Anwendung. Der Arbeitspreis wird für die Zonen 1-4 bzw. A-F so festgelegt, dass je nach Jahresverbrauch alle darunter liegenden Zonen durchlaufen werden. Der Leistungspreis wird in den Staffeln A-F bzw. 1-4 festgelegt, wobei der Leistungspreis der Staffel 1-4 als Pauschale bestimmt wird. Die Pauschalen der Staffeln 1-4 sind grundsätzlich auf einen Zeitraum von einem Monat zu beziehen. Ist der Abrechnungszeitraum kürzer oder länger als ein Monat, sind die Pauschalen der Staffeln 1-4 tageweise zu aliquotieren. Es können Zonen bzw. Staffeln zusammengefasst werden, sodass mehrere Zonen bzw. Staffeln denselben Arbeitspreis bzw. denselben Leistungspreis aufweisen können. Die Rechnungslegung hat entsprechend den tatsächlichen Ableseintervallen (§ 15 Abs. 3) zu erfolgen, § 126 Abs. 2 GWG 2011 bleibt davon unberührt.
(5) Zur Ermittlung der Basis für die monatliche Verrechnung des leistungsbezogenen Anteils des Netznutzungsentgelts für leistungsgemessene Anlagen ist die in der Abrechnungsperiode von einem Monat gemessene höchste stündliche Leistung heranzuziehen und mit dem Zwölftel des verordneten Leistungspreises zu multiplizieren. Bei einer Abrechnungsperiode von einem Jahr ist zur Ermittlung der Basis für die Verrechnung des leistungsbezogenen Anteils des Netznutzungsentgelts das arithmetische Mittel der in der letzten Abrechnungsperiode monatlich gemessenen höchsten stündlichen Leistung heranzuziehen und mit dem verordneten Leistungspreis zu multiplizieren. Unabhängig von der tatsächlich gemessenen höchsten stündlichen Leistung eines Monats ist zur Ermittlung der Basis für die Verrechnung des leistungsbezogenen Anteils des Netznutzungsentgelts jedenfalls die Mindestleistung gemäß § 2 Abs. 1 Z 9 heranzuziehen. Die Verrechnung der Mindestleistung kommt ausschließlich für Endverbraucher zur Anwendung.
(1) Für das Netznutzungsentgelt für die Einspeisung in das bzw. für die Ausspeisung aus dem Verteilernetz an der Marktgebietsgrenze werden gemäß § 73 Abs. 4 GWG 2011 Entgelte bestimmt, die, sofern nicht besonders ausgewiesen, in EUR/kWh/h pro Jahr und pro Ein- bzw. Ausspeisepunkt angegeben werden. Das Entgelt ist vom Netzbenutzer auch dann zu entrichten, wenn für gebuchte Kapazität nicht oder nur teilweise nominiert wird. § 10 Abs. 6 gilt sinngemäß.
(2) Das Netznutzungsentgelt für die Einspeisung in das Verteilernetz an der Marktgebietsgrenze für Verträge mit einer Laufzeit von einem Jahr oder länger wird für die folgenden Einspeisepunkte, bezogen auf die vertraglich vereinbarte Einspeiseleistung für Standardkapazität, wie folgt bestimmt:
1. Freilassing: 1,37;
2. Laa: 1,37;
3. Hochfilzen: 1,37.
(Anm.: Z 4 aufgehoben durch BGBl. II Nr. 427/2015)
(3) Das Netznutzungsentgelt für die Ausspeisung aus dem Verteilernetz an der Marktgebietsgrenze für Verträge mit einer Laufzeit von einem Jahr oder länger wird für die folgenden Ausspeisepunkte, bezogen auf die vertraglich vereinbarte Ausspeiseleistung für Standardkapazität, wie folgt bestimmt:
1. Freilassing: 4,31;
2. Laa: 2,15;
3. Laufen: 5,22;
4. Simbach: 5,06;
(1) Für das Netznutzungsentgelt für die Ausspeisung aus dem Verteilernetz in Speicheranlagen werden gemäß § 73 Abs. 5 GWG 2011 Entgelte bestimmt, die, sofern nicht besonders ausgewiesen, in EUR/kWh/h pro Jahr und pro Ausspeisepunkt angegeben werden. Das Entgelt ist auch dann zu entrichten, wenn für gebuchte Kapazität nicht oder nur teilweise nominiert wird. § 10 Abs. 6 gilt sinngemäß.
(2) Das Netznutzungsentgelt für die Ausspeisung aus dem Verteilernetz in Speicheranlagen wird für Verträge mit einer Laufzeit von einem Jahr einheitlich für das gesamte Verteilergebiet, bezogen auf die vertraglich vereinbarte Leistung für Standardkapazitäten wie folgt bestimmt: 0,91.
(3) Das Entgelt für unterbrechbare Kapazitäten entspricht grundsätzlich dem Entgelt für die gleiche Leistung für Standardkapazität. Im Falle von Unterbrechungen ist dem Speicherunternehmen eine Refundierung zu gewähren. Eine allfällige Refundierung innerhalb eines Leistungsmonats wird vom Entgelt für den betreffenden Leistungsmonat abgezogen. Das vom Verteilernetzbetreiber zu refundierende Entgelt (ERm) errechnet sich anhand der Formel gemäß Anlage 1.
(4) Das Netznutzungsentgelt für die grenzüberschreitende Nutzung einer Speicheranlage im Verteilernetz gemäß § 4 Abs. 8 Z 1 wird in Cent/kWh/h pro Tag wie folgt bestimmt: 0,59
Die Verrechnung des Netznutzungsentgelts erfolgt auf Basis der Summe der Minima der gemäß § 4 Abs. 8 Z 1 ermittelten Kontosaldi der Bilanzgruppen eines Gastages in kWh/h. § 4 Abs. 8 bis 11 gelten sinngemäß.
(5) Das Netznutzungsentgelt für die grenzüberschreitende Nutzung einer Speicheranlage im Verteilernetz gemäß § 4 Abs. 8 Z 2 wird in Cent/kWh/h pro Tag wie folgt bestimmt: 0,38
Die Verrechnung des Netznutzungsentgelts erfolgt auf Basis der Summe der Maxima der gemäß § 4 Abs. 8 Z 2 ermittelten Kontosaldi der Bilanzgruppen eines Gastages in kWh/h. § 4 Abs. 8 bis 11 gelten sinngemäß.
(6) Das mengenbasierte Netznutzungsentgelt beträgt für die Ausspeisung aus dem Verteilernetz in Speicheranlagen 0 EUR/MWh.
(7) Wird die vertraglich vereinbarte Höchstleistung innerhalb eines Tages pro Zählpunkt überschritten, sind für die Leistungsüberschreitung beim Exit aus dem Verteilernetzgebiet 12,47 Cent/kWh/h zu verrechnen. Dieser Verrechnung ist die höchste gemessene stündliche Leistung des Tages zu Grunde zu legen.
(1) Für das Netznutzungsentgelt für die Einspeisung in das Verteilernetz aus Produktion gemäß Abs. 2 Z 1 bis 3 werden gemäß § 73 Abs. 6 GWG 2011 Entgelte bestimmt, die, sofern nicht besonders ausgewiesen, in EUR/kWh/h pro Jahr und pro Einspeisepunkt angegeben werden. Das Entgelt ist auch dann zu entrichten, wenn für gebuchte Kapazität nicht oder nur teilweise nominiert wird. § 10 Abs. 6 gilt sinngemäß. Für die Einspeisung in das Verteilernetz aus Erzeugung von erneuerbaren Gasen gemäß Abs. 2 Z 4 ist das zu entrichtende Netznutzungsentgelt im Verteilernetz als Arbeitspreis in Cent/kWh zu entrichten.
(2) Das Netznutzungsentgelt für die Einspeisung in das Verteilernetz aus Produktion bzw. aus Erzeugung von erneuerbaren Gasen wird wie folgt bestimmt:
1. Einspeisung aus Produktion im Netzbereich Niederösterreich: 1,13;
2. Einspeisung aus Produktion im Netzbereich Oberösterreich: 1,32;
3. Einspeisung aus Produktion im Netzbereich Salzburg: 2,21;
4. Einspeisung aus Erzeugung von erneuerbaren Gasen in allen Netzbereichen: 0,0268.
(3) Wird die vertraglich vereinbarte Höchstleistung innerhalb eines Tages pro Zählpunkt überschritten, ist für die Leistungsüberschreitung im Fall des Abs. 2 Z 1 bis 3 die höchste gemessene stündliche Leistung des Tages zu Grunde zu legen; für diese Stunde sind pro kWh/h Leistungsüberschreitung 21,28 Cent zu verrechnen.
(1) Die Kosten der Netzebene 1 des jeweiligen Netzbetreibers sind unter Berücksichtigung der Erlöse der Netzebene 1 auf die Netzebene 2 zu überwälzen und werden somit Bestandteil der Kosten der Netzebene 2 für jeden Netzbereich. Die Wälzung der Kosten der Netzebene 1 zur Ermittlung der Kosten der Netzebene 1 je Netzbereich erfolgt nach der Maßgabe von zwei Verfahren gemäß Abs. 2 und 3, wobei die Verfahren im Verhältnis 50:50 gewichtet werden. Die Ausgangsbasis bilden die jeweiligen Kosten der Netzebene 1 eines Netzbereiches, die im Verfahren gemäß § 69 GWG 2011 festgestellt wurden.
(2) Beim ersten Verfahren werden die Kosten des Verteilergebietsmanagers gemäß § 74 GWG 2011 den Gesamtkosten der Netzebene 1 hinzugerechnet und diese Gesamtkosten werden im Verhältnis 70 % transportierter Leistung (Netto-Leistung, kWh/h) und 30 % verbrauchter (Gas-)Arbeit (Brutto-Arbeit, kWh) auf den jeweiligen Netzbereich des Verteilergebiets des Marktgebiet Ost verteilt.
(3) Beim zweiten Verfahren werden die Kosten des Verteilergebietsmanagers gemäß § 74 GWG 2011 auf die Netzbereiche entsprechend der aus der Fernleitung bezogenen Arbeit aufgeteilt und bilden einen Teil der jeweiligen Kosten des Netzbereichs der Netzebene 1. Die Kosten des PVS 2 werden unter Berücksichtigung der Erlöse im PVS 2 den Netzbereichen Niederösterreich bzw. Wien entsprechend der jeweils aus dem PVS 2 bezogenen Arbeit zugeordnet. Die dadurch ermittelten Kosten der Netzebene 1 je Netzbereich bilden die Basis für die Verrechnung der ausgetauschten Arbeit zwischen den Netzbereichen.
(4) Die Kosten des jeweiligen Verteilergebietsmanagers gemäß § 24 GWG 2011 werden zu 100 % nach verbrauchter (Gas-)Arbeit (Brutto-Arbeit, kWh) auf den jeweiligen Netzbereich in der Netzebene 2 und 3 verteilt.
(5) Die Kosten der Netzebene 2 sind, unter Berücksichtigung der Erlöse der Netzebene 2, auf die Netzebene 3 zu überwälzen. Dabei werden die Kosten im Verhältnis 70 % nach transportierter Leistung (Netto-Leistung, kWh/h) und 30 % nach verbrauchter Arbeit (Brutto-Arbeit, kWh) im Netzbereich verteilt.
(6) In Marktgebieten ohne Verteilerleitungen der Netzebene 1 finden lediglich die Abs. 4 und 5 Anwendung mit der Maßgabe, dass die Kosten des Verteilergebietsmanagers gemäß § 74 GWG 2011 im Verhältnis 70 % nach transportierter Leistung (Netto-Leistung, kWh/h) und 30 % nach verbrauchter Arbeit (Brutto-Arbeit, kWh) im Netzbereich verteilt werden.
(7) Die Aufteilung der Kosten gemäß Abs. 1 bis 6 auf die einzelnen Netzbereiche führt zu folgenden Nettozahlungen in TEUR. Die Nettozahlungen sind Jahresbeträge und werden in zwölf gleichen Teilbeträgen monatlich in Rechnung gestellt. Alle Rechnungen sind am 15. des dem Leistungserbringungsmonat folgenden Monats fällig.
(1) Die gemäß § 77 GWG 2011 festgesetzten Entgelte für Messleistungen sind Höchstpreise, sofern nicht anders ausgewiesen je Monat und gelten für die jeweils eingesetzte Art der Messung, welche die Gasmenge in m 3 , Nm 3 oder kWh erfasst. Soweit Messeinrichtungen von Kunden mit Lastprofilzählern selbst beigestellt werden, ist das Entgelt für Messleistungen entsprechend zu vermindern. Für Geräte im Zusammenhang mit Messleistungen, die nicht in Abs. 6 genannt werden und die im Eigentum des Netzbetreibers stehen, dürfen höchstens 1,5 % des Wertes dieser Geräte je Monat als Entgelt für die Beistellung, den Betrieb und die Eichung der Messgeräte verrechnet werden. Messleistungen sind im Rahmen dieser Höchstpreise aufwandsorientiert zu verrechnen. Ist der Abrechnungszeitraum kürzer oder länger als ein Monat, ist das Messentgelt tageweise zu aliquotieren.
(2) Sofern der Netzbetreiber die Errichtung, Demontage oder den Austausch von Zähleinrichtungen auf Veranlassung des Netzbenutzers selbst vornimmt oder vornehmen lässt, hat der Netzbetreiber dem Kunden einen Kostenvoranschlag für diese Maßnahme zu übermitteln. Montagen durch den Netzbetreiber haben unter Beachtung der verordneten Höchstpreise diskriminierungsfrei und aufwandsorientiert zu erfolgen. Übersteigen die Kosten für die Errichtung der Zähleinrichtung(en) am Zählpunkt 200 Euro, so ist es dem Kunden freizustellen, diese Kosten durch eine Einmalzahlung oder in Raten zu erstatten. Für die auf Veranlassung des Netzbenutzers erfolgte Errichtung und Demontage und die Überprüfung von Zähleinrichtungen, die nicht in Abs. 7 und 8 genannt werden und die im Eigentum des Netzbetreibers stehen, hat die Verrechnung diskriminierungsfrei und aufwandsorientiert zu erfolgen. Ein- und Ausbauten im Zug von Reparaturen, Nacheichungen und durch den Netzbetreiber veranlasste Gerätewechsel dürfen dem Kunden nicht extra verrechnet werden.
(3) Die Zählerablesung hat – mit Ausnahme von Lastprofilzählern und Verbrauchsaufzeichnungsmessgeräten gemäß § 2 Z 10 Lastprofilverordnung 2018, die täglich abzulesen sind, sowie intelligenten Messgeräten, die gemäß § 129 Abs. 1 GWG 2011 ausgelesen werden – jährlich zu erfolgen. Zusätzlich zum Entgelt gemäß Abs. 1 darf für die Datenauslesung von Lastprofilzählern und Verbrauchsaufzeichnungsmessgeräten gemäß § 2 Z 10 Lastprofilverordnung 2018, soweit keine Onlinemessung vereinbart wurde, ein Entgelt von höchstens 8,- € pro Monat verrechnet werden. Dieses Entgelt ist auf der Rechnung getrennt vom Entgelt gemäß Abs. 1 anzuführen.
(4) Zähler, welche von der Nacheichung befreit sind, sind nach spätestens 15 Jahren zu überprüfen. Die erfolgte Überprüfung ist am Messgerät ersichtlich zu machen. Erfolgt diese Überprüfung nicht, so darf das Entgelt ab diesem Zeitpunkt höchstens 0,75 % vom jeweiligen Wert betragen.
(5) Werden Lastprofilzähler und Mengenumwerter nach 15 Jahren nicht erneuert, darf das Entgelt ab diesem Zeitpunkt höchstens 0,75 % vom jeweiligen Wert bzw. höchstens die Hälfte des verordneten Höchstpreises betragen.
(1) Die Rechnungslegung hat spätestens sechs Wochen nach der für die Abrechnungsperiode relevanten Zählerstandsermittlung und nach Vorliegen des abrechnungsrelevanten Verrechnungsbrennwerts zu erfolgen. Der Netzbetreiber hat die Rechnung über die Systemnutzungsentgelte innerhalb von drei Wochen an den Versorger zu übermitteln, sofern der Versorger auch die Rechnung über die Netznutzung legt. Die Verteilernetzbetreiber stellen spätestens zum 14. Arbeitstag im Folgemonat die Brennwerte getrennt nach Brennwertbezirken auf ihrer Homepage zur Verfügung. Die Bezeichnung des Brennwertbezirkes ist auf der Rechnung anzuführen.
(2) Weicht eine rechnerische Verbrauchsermittlung gemäß § 73 Abs. 7 GWG 2011 von den tatsächlichen Werten ab, so ist eine unentgeltliche Rechnungskorrektur vorzunehmen.
(3) Die zur Anwendung kommenden Entgelte für Messleistungen sind vom Netzbetreiber in geeigneter Form, etwa im Internet, zu veröffentlichen.
(4) Nimmt der Netzbetreiber bei der Verrechnung des Netzzutrittsentgelts eine Pauschalierung gemäß § 75 Abs. 2 GWG 2011 für vergleichbare Netzbenutzer vor, sind die zur Anwendung kommenden Pauschalen in geeigneter Form, etwa im Internet, zu veröffentlichen.
(5) Der Netzbetreiber hat von Betreibern einer Anlage gemäß § 75 Abs. 3 und Abs. 4 GWG 2011 die von ihm übernommenen Kosten in den ersten 15 Jahren ab Inbetriebnahme der Anlage anteilig zurückzufordern, wenn die Netznutzungsentgelte nach den im ursprünglichen Netzzugangsvertrag vereinbarten Kapazitäten nicht voll entrichtet werden.
(1) Die Ausgleichszahlungen werden als Nettozahlungen in TEUR, die Jahresbeträge darstellen, festgelegt und sind in zwölf gleichen Teilbeträgen monatlich zu leisten. Alle Rechnungen sind am 15. des dem Leistungserbringungsmonat folgenden Monats fällig.
(2) Für den Netzbereich Kärnten werden folgende Ausgleichszahlungen festgelegt: KNG-Kärnten Netz GmbH zahlt an Energie Klagenfurt GmbH: 44,3.
(3) Für den Netzbereich Oberösterreich werden folgende Ausgleichszahlungen festgelegt:

(4) Für den Netzbereich Steiermark werden folgende Ausgleichszahlungen festgelegt:

(5) Für den Netzbereich Tirol werden folgende Ausgleichszahlungen festgelegt: TIGAS-Erdgas Tirol GmbH zahlt an Elektrizitätswerke Reutte AG: 1.474,2.
(6) Für den Netzbereich Vorarlberg werden folgende Ausgleichszahlungen festgelegt: Stadtwerke Bregenz GmbH zahlt an Vorarlberger Energienetze GmbH: 1.185,2.
(1) Netzbetreiber sind berechtigt, für die Erbringung sonstiger Leistungen, die nicht durch die Entgelte gemäß § 72 Abs. 2 Z 1 bis 4 GWG 2011 abgegolten und vom Netzbenutzer unmittelbar verursacht sind, folgende Entgelte zu verrechnen:
1. Entgelte für Mahnungen:
| a) erste Mahnung | 0,00 € |
| b) jede weitere Mahnung | 1,50 € |
| c) letzte Mahnung gemäß § 127 Abs. 3 GWG 2011 | 5,00 € |
2. Abschaltungen, Sperrungen und Trennung von Hausanschlüssen:
a) Abschaltung und Wiederherstellung des Netzzugangs gemäß § 127 Abs. 3 GWG 2011 vor Ort 30 Euro;
b) Sperrung oder Wiedereinschaltung aus sicherheitstechnischen Gründen 36 Euro;
c) Trennung der Anschlussleitung vom Verteilernetz auf unbefestigtem Untergrund samt Freispülung der getrennten Hausanschlussleitung
Die zu bezahlenden Anteile am jährlichen Entgelt für den Verteilergebietsmanager werden in TEUR wie folgt bestimmt. Die Entrichtung des Entgelts an den Verteilergebietsmanager erfolgt in zwölf gleichen monatlichen Teilbeträgen:

Alle Rechnungen sind am 15. des dem Leistungserbringungsmonat folgenden Monats fällig.
(1) Diese Verordnung findet auch auf die den Netzbetrieb übernehmenden Rechtsnachfolger der von dieser Verordnung erfassten Erdgasunternehmen Anwendung.
(2) Die Zahlungen des § 14 Abs. 7 Z 2 und 3 in der Fassung der GSNE-VO 2013 – Novelle 2013 sind abweichend zu § 14 Abs. 7 zweiter Satz Werte für den Zeitraum von Oktober 2013 bis Dezember 2013 und sind ab 1. Oktober 2013 in gleichen Teilbeträgen monatlich in Rechnung zu stellen.“
(3) Die in §§ 9, 10, 15 und 18 GSNE-VO 2013-Novelle 2013 festgelegten Systemnutzungsentgelte gelten in den Marktgebieten Tirol und Vorarlberg ab dem 1. Jänner 2013, 0 Uhr. Die in den §§ 9 bis 13, § 15 und § 18 GSNE-VO 2013-Novelle 2013 gelten im Marktgebiet Ost ab dem 1. Jänner 2013, 6 Uhr.
(4) Das Speicherunternehmen ist verpflichtet, dem Netzbetreiber den von einem unabhängigen Wirtschaftsprüfer bestätigten Ist-Wert des Speicherstandkontos pro Speicherkunde per 1. April 2016, 6.00 Uhr zu melden. Dabei hat die Summe der Speicherstandkonten der Speicherkunden der Summe der Speicherstandkonten der Bilanzgruppen zu entsprechen. Kommt das Speicherunternehmen dieser Verpflichtung bis zum 20. April 2016 nicht nach, wird ein Ist-Wert des Speicherstandkontos pro Speicherkunden von Null angesetzt.
(5) Die Multiplikatoren gemäß § 3 Abs. 9 Z 3 und Z 4 sind erstmals für day-ahead-Kapazitäten sowie für Rest of the Day- und Within Day-Produkte mit einem Laufzeitbeginn ab 1. Oktober 2017, 6 Uhr, anwendbar; bis zu diesem Zeitpunkt gilt der Multiplikator 1.
(1) Diese Verordnung tritt mit 1. Jänner 2013 in Kraft.
(2) Die §§ 1, 2 und § 4 Abs. 1 und Abs. 3 Z 2 sowie der 3., 4. und 5. Teil in der Fassung der GSNE-VO 2013-Novelle 2013 treten mit 1. Jänner 2013 in Kraft.
(3) Die Verordnung der Energie-Control Kommission, mit der die Tarife für die Systemnutzung in der Gaswirtschaft bestimmt werden (Gas-Systemnutzungstarife-Verordnung 2008, GSNT-VO 2008) verlautbart im Amtsblatt zur Wiener Zeitung Nr. 021 vom 30. Jänner 2008, in der Fassung der GSNT-VO 2008-Novelle 2009, verlautbart im Amtsblatt zur Wiener Zeitung Nr. 252 vom 24. Dezember 2008, der GSNT-VO 2008-Novelle 2010, verlautbart im Amtsblatt zur Wiener Zeitung Nr. 249 vom 24. Dezember 2009, der GSNT-VO 2008-Novelle 2011, verlautbart im Amtsblatt zur Wiener Zeitung Nr. 249 vom 23. Dezember 2010 sowie der GSNT-VO 2008-Novelle 2012, BGBl. II Nr. 441/2011 tritt mit Ablauf des 1. Jänner 2013, 6 Uhr außer Kraft.
(4) Die Verordnung der Energie-Control Kommission mit der das Netznutzungsentgelt für grenzüberschreitende sonstige Transporte von Erdgas und für grenzüberschreitende Transporte von Erdgas von einem Einspeisepunkt in die Regelzone zu einem Ausspeisepunkt aus der Regelzone bestimmt wird (Sonstige Transporte-Gas-Systemnutzungstarife–Verordnung – SonT-GSNT-VO 2007), verlautbart im Amtsblatt zur Wiener Zeitung Nr. 189 vom 28. September 2007, in der Fassung der SonT-GSNT-VO Novelle 2008 vom 25. Jänner 2008, verlautbart im Amtsblatt zur Wiener Zeitung Nr. 021 vom 30. Jänner 2008, der SonT-GSNT-VO Novelle 2009, verlautbart im Amtsblatt zur Wiener Zeitung Nr. 252 vom 24. Dezember 2008, der SonT-GSNT-VO Novelle 2010, verlautbart im Amtsblatt zur Wiener Zeitung Nr. 249 vom 24. Dezember 2009, der SonT-GSNT-VO Novelle 2011, verlautbart im Amtsblatt zur Wiener Zeitung Nr. 249 vom 23. Dezember 2010 sowie der SonT-GSNT-VO Novelle 2012, BGBl. II Nr. 439/2011 tritt mit Ablauf des 1. Jänner 2013, 6 Uhr außer Kraft.
(5) Die Verordnung der Energie-Control Kommission betreffend das Entgelt für den Regelzonenführer, verlautbart im Amtsblatt zur Wiener Zeitung Nr. 188 vom 30. September 2002, in der Fassung der Verordnung der Energie-Control Kommission, mit der die Verordnung der Energie-Control Kommission betreffend das Entgelt für den Regelzonenführer geändert wird vom 19. Mai 2004, verlautbart im Amtsblatt zur Wiener Zeitung Nr. 101 vom 26. Mai 2004; der RZF-VO-Novelle 2005 vom 25. Oktober 2005, verlautbart im Amtsblatt zur Wiener Zeitung Nr. 212 vom 29. Oktober 2005, der Gas-RZF-VO-Novelle 2006 vom 20. Dezember 2006, verlautbart im Amtsblatt zur Wiener Zeitung Nr. 250 vom 28. Dezember 2006, der Gas-RZF-VO-Novelle 2008 vom 25. Jänner 2008, verlautbart im Amtsblatt zur Wiener Zeitung Nr. 021 vom 30. Jänner 2008, der Gas-RZF-VO-Novelle 2009 vom 19. Dezember 2008, verlautbart im Amtsblatt zur Wiener Zeitung Nr. 252 vom 24. Dezember 2008, der Gas-RZF-VO-Novelle 2010 vom 22. Dezember 2009, verlautbart im Amtsblatt zur Wiener Zeitung Nr. 249 vom 24. Dezember 2009, der Gas-RZF-VO-Novelle 2011 vom 20. Dezember 2010, verlautbart im Amtsblatt zur Wiener Zeitung Nr. 249 vom 23. Dezember 2010 sowie der Gas-RZF-VO-Novelle 2012, BGBl. II Nr. 438/2011 tritt mit Ablauf des 31. Dezember 2012 außer Kraft.
![]()
wobei gilt
E Rm ist die Refundierung einer aufgetretenen Unterbrechnung von unterbrechbaren Kapazitätsprodukten gemäß § 3 Abs. 7 sowie von unterbrechbaren Kapazitätsprodukten gemäß § 4 Abs. 4. Die Refundierung gilt jeweils für den Tag an dem eine Unterbrechung vorliegt;
D rf ist:
a) im Fall der Unterbrechnung von unterbrechbaren Kapazitätsprodukten gemäß § 3 Abs. 7 das Netznutzungsentgelt für Tagesprodukte gemäß § 3 Abs. 9 bzw. Abs. 9a oder
b) im Fall der Unterbrechnung von unterbrechbaren Kapazitätsprodukten gemäß § 4 Abs. 4 das anteilige Netznutzungsentgelt für den Tag der Unterbrechung gemäß § 4 Abs. 2;
F R ist der Refundierungsfaktor; er entspricht :
a) im Fall der Unterbrechnung von unterbrechbaren Kapazitätsprodukten gemäß § 3 Abs. 7 dem Wert 3;
b) im Fall der Unterbrechnung von unterbrechbaren Kapazitätsprodukten gemäß § 4 Abs. 4 dem Wert 1,5;
ist die durchschnittliche unterbrechbare Kapazität, die an dem betreffenden Tag unterbrochen wurde, berechnet als
=
wobei
c diff,i ist die tatsächliche unterbrochene Kapazität des Produkts, berechnet als die Differenz zwischen der angebotenen Kapazität auf Stundenbasis und der tatsächlich verfügbaren Kapazität auf Stundenbasis während jeder von der Unterbrechung betroffenen Stunde;

wobei:
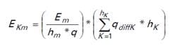
E Km = die Entgeltkürzung pro Monat;
E m = das Entgelt pro Monat;
h m = die Gesamtanzahl der Stunden des Monats, in dem die Einschränkung der Transportdienstleistung auftritt;
q = die vertraglich vereinbarte Stundenrate am Ein- bzw. Ausspeisepunkt;
q diffK = die Differenz zwischen nominierter Stundenrate am Ein- bzw. Ausspeisepunkt und der am selben Punkt zur Verfügung gestellten Stundenrate je eingeschränkter Stunde, sofern diese Differenz positiv ist;
h K = die Anzahl der Stunden innerhalb des Leistungsmonats, für deren Dauer die Transportdienstleistung eingeschränkt wird.
(Anm.: Anlage 3 und die Ergänzung der Anlage 3 betreffend ein mengenbasiertes Entgelt, BGBl. II Nr. 176/2022 als PDF dokumentiert.
Die Novellierungsanweisung Z 2, BGBl. II Nr. 465/2022, konnte nicht eingearbeitet werden und lautet:
„In § 4 Abs. 2 Z 1, § 4 Abs. 6 Z 1, § 4 Abs. 7 Z 1 sowie in den Kapiteln 1.1, 1.2, 2.1 und 4.3 der Anlage 3 wird jeweils das Wort „7-fields“ durch die Wortfolge „Penta West“ ersetzt.“
Die Novellierungsanweisung Z 18, BGBl. II Nr. 138/2024, konnte nicht eingearbeitet werden und lautet:
„In Anlage 3 wird das Datum „30.9.2024“ durch das Datum „31.12.2024“ ersetzt.“)
(Anm.: Anlage 3a als PDF dokumentiert)
Anhänge
Anlage 3aPDFDer Verrechnungsbrennwert wird aus gemessenen Brennwerten oder aus den Einspeisebrennwerten eines Einspeisepunkts oder den Einspeisebrennwerten mehrerer Einspeisepunkte eines Netzes oder Teilnetzes durch mengengewichtete Mittelwertbildung aus den Monatsbrennwerten über den Abrechnungszeitraum bestimmt.
Der Monatsbrennwert gilt jeweils für einen Brennwertbezirk und wird mittels Division der Summe der monatlich eingespeisten Energiemengen durch die Summe der monatlich eingespeisten Gasmengen errechnet.
Prüfungen auf Einhaltung von Grenzwerten müssen für den jeweiligen Monatsbrennwert abgeschlossen sein, um daraus Verrechnungsbrennwerte ermitteln zu dürfen.
Bei Ermittlung des Einspeisebrennwertes gemäß 5.2.3 wird der Monatsbrennwert des vorgelagerten Netzes zum Einspeisebrennwert an dem Einspeisepunkt für ein nachgelagertes Netz.
Die Einspeisebrennwerte zur Ermittlung der Monatsbrennwerte sind grundsätzlich mengengewichtete Monatswerte. Bei Einsatz einer Gasbeschaffenheitsverfolgung gemäß 5.3.2.2 sind für die erforderlichen Eingangsparameter kürzere Zeitintervalle, jedoch längstens 1 Stunde, anzustreben. Für die zugrundeliegenden Messdaten und der diesbezüglichen Datenübermittlung gilt ÖVGW-Richtlinie G B160.
Die für die Netze oder Teilnetze jeweils angewendeten Verfahren mit den zugehörigen Rahmenbedingungen (zB Einspeisepunkte, messtechnische Infrastruktur, Gasflussrichtung, Gasbeschaffenheitsverfolgung) sind nachvollziehbar zu dokumentieren. Bei relevanten Änderungen der Einflussparameter auf die Brennwertermittlung sind die Verfahren für die betroffenen Netze oder Teilnetze entsprechend anzupassen und zu dokumentieren.
Für die Ermittlung der Einspeisebrennwerte stehen folgende Möglichkeiten zur Verfügung, wobei die Priorisierung entsprechend nachstehender Reihenfolge erfolgen sollte.
6. „Kundenanlage“ eine an das Netz eines Netzbetreibers angeschlossene Anlage zur Erzeugung bzw. Verwendung von Erdgas eines Netzzugangsberechtigten;
7. „Lastprofilzähler“ ein Messgerät, welches den tatsächlichen Lastgang im Stundenraster erfasst;
8. „Leistungsmessung“ eine mit einem Lastprofilzähler durchgeführte Messung zur Ermittlung der höchsten stündlichen Belastung pro Monat;
8a. „mengenbasiertes Netznutzungsentgelt“ ein Netznutzungsentgelt, das auf Basis der tatsächlichen Nutzung (bestätigte Nominierung) von vertraglich vereinbarter Kapazität verrechnet wird;
9. „Mindestleistung“ den Anteil von 20 % der vertraglich vereinbarten Höchstleistung pro Zählpunkt im Falle einer monatlichen Verrechnung des leistungsbezogenen Anteils gemäß § 10 Abs. 5. Wird Erdgas ausschließlich in den Monaten von März bis Oktober bezogen und erfolgt eine monatliche Verrechnung des leistungsbezogenen Anteils gemäß § 10 Abs. 5, beträgt die Mindestleistung 10 % der vertraglich vereinbarten Höchstleistung pro Zählpunkt für den gesamten Abrechnungszeitraum; bei einer tagesbezogenen Verrechnung des Leistungspreises gem. § 10 Abs. 6a ist eine Mindestleistung von 15 % der vertraglich vereinbarten Höchstleistung pro Zählpunkt anzuwenden;
10. „Normvolumen“ das Volumen einer Gasmenge im Normzustand (bei einer Temperatur von 0°C und einem Druck von 1,01325 bar);
11. „Staffel“ jenen Mengenbereich gemäß § 10, der durch einen Mindest- und einen Höchstwert pro Abrechnungsperiode definiert wird. Der Tarif kommt für die gesamte Menge einer Abrechnungsperiode zur Anwendung;
11a. „Standardkapazität“ die Kapazität an den Ein- oder Ausspeisepunkten in das bzw. aus dem Verteilergebiet. Sie setzt sich aus einem festen und einem unterbrechbaren Anteil zusammen, wobei die Verfügbarkeit des festen Anteils dynamisch ist und vom aktuellen Absatz im Verteilergebiet abhängt.
12. „Umrechnungsbrennwert“ der bei der Überführung der bestehenden volumensbasierenden Transportverträge auf energiebasierende Ein- und Ausspeiseverträge zur Ermittlung der Kapazität in kWh/h herangezogene Brennwert in kWh/Nm³ (0 °C). Dieser beträgt für das Marktgebiet Ost 11,19 kWh/Nm³ (0 °C);
13. „Verrechnungsbrennwert“ denjenigen Wert, der vom Netzbetreiber im jeweiligen Brennwertbezirk gemäß Kapitel 5 der ÖVGW Richtlinie G O110, Ausgabe Februar 2022 (siehe Anlage 4 ) monatlich in kWh/Nm 3 ermittelt und bei der Verrechnung an Endverbraucher zur Ermittlung der Energiemenge herangezogenen wird; sollte der Verrechnungsbrennwert eines Brennwertbezirkes nicht ermittelbar sein, ist vorläufig der letztverfügbare Wert heranzuziehen; Die Abweichung der Brennwerte zwischen benachbarten Brennwertbezirken seines Netzes ist vom Netzbetreiber so festzulegen, dass die Anzahl der Brennwertbezirke in einem technisch und ökonomisch sinnvollen Ausmaß liegt;
14. „vertraglich vereinbarte Höchstleistung“ den technischen oder, sofern vereinbart den vertraglichen Anschlusswert, der den tatsächlichen Kapazitätsbedürfnissen des Netzzugangsberechtigen zu entsprechen hat. Kurzfristige Änderungen des Nutzungsverhaltens berechtigen nicht zu einer Änderung der vertraglich vereinbarten Höchstleistung;
15. „Zählergröße“ das zum 1. Oktober 2002 nach den OIML-Richtlinien R31 und R32 (G-Reihe) der „International Organisation of Legal Metrology“ festgelegte Maß für den minimalen und maximalen Gasdurchfluss in m³/h;
16. „Zählpunkt“ die Einspeise- bzw. Entnahmestelle, an der eine Gasmenge messtechnisch erfasst und registriert wird. Für jede Kundenanlage ist ein Zählpunkt einzurichten, wobei eine Zusammenfassung mehrerer Kundenanlagen zu einem Zählpunkt nicht zulässig ist. Kann aufgrund des Messbereiches einer bestimmten Zählergröße nicht die gesamte in einer Kundenanlage verbrauchte Gasmenge mit einem Messgerät erfasst werden, sind mehrere Messgeräte in einer Messanlage – mit gleichem Druck und einer Anschlussleitung – zur messtechnischen Verbrauchsabgrenzung zu einem Zählpunkt zusammenzufassen;
17. „Zone“ jenen Mengenbereich gemäß § 10, der durch einen Mindest- und einen Höchstwert pro Abrechnungsperiode definiert wird. Das Entgelt setzt sich aus der Summe jener Entgelte zusammen, die auf Grund der jeweils durchlaufenen Zonen gemäß § 5 ermittelt werden.
(2) Im Übrigen gelten die Begriffsbestimmungen gemäß § 7 GWG 2011, § 2 GMMO-VO 2012 und Artikel 2 der Verordnung (EG) Nr. 715/2009 über die Bedingungen für den Zugang zu den Erdgasfernleitungsnetzen und zur Aufhebung der Verordnung (EG) Nr. 1775/2005, ABl. Nr. L 211 vom 14.08.2009.
8. Reintal: 1,37.
(2a) Das mengenbasierte Netznutzungsentgelt beträgt für alle Einspeisepunkte in das Fernleitungsnetz 0,04313 EUR/MWh.
(3) Das Netznutzungsentgelt für die Ausspeisung aus dem Fernleitungsnetz für Verträge mit einer Laufzeit von einem Jahr oder länger wird für die folgenden Ausspeisepunkte, bezogen auf die vertraglich vereinbarte Ausspeiseleistung für feste, frei zuordenbare Ausspeisekapazitäten, wie folgt bestimmt:
1. Baumgarten: 2,15
2. Oberkappel: 4,31
3. Überackern: 4,31
4. Arnoldstein: 5,98
5. Mosonmagyaróvár: 2,14
6. Murfeld: 3,74
7. Petrzalka: 2,14
8. Reintal: 2,15
9 Verteilergebiet: 1,26
10. Verteilergebiet Kärnten: 4,63.
(3a) Das mengenbasierte Netznutzungsentgelt beträgt für alle Ausspeisepunkte aus dem Fernleitungsnetz 0,13184 EUR/MWh.
(4) Die Vergabe von neuen oder zusätzlichen Ein- bzw. Ausspeisekapazitäten für die Ein- bzw. Ausspeisepunkte im Fernleitungsnetz erfolgt bis zu dem Zeitpunkt, an dem diese Kapazität erstmals zur Verfügung steht, inklusive eines obligatorischen Mindestaufschlags zum Netznutzungsentgelt gemäß § 3 Abs. 2 bzw. Abs. 3. Der obligatorische Mindestaufschlag bezieht sich auf ein Mindestmengengerüst und reduziert sich im Falle von Buchungen über diesem Mindestmengengerüst proportional. Allfällige Auktionsaufschläge sowie der obligatorische Mindestaufschlag sind zusätzlich zum Netznutzungsentgelt gemäß § 3 Abs. 2 bzw. Abs. 3 für die jeweilige Dauer des Vertrages vom Netzbenutzer zu bezahlen. Ändern sich die Netznutzungsentgelte gemäß § 3 Abs. 2 bzw. Abs. 3 während der Vertragslaufzeit, ist der Gesamtpreis bestehend aus dem Startpreis, dem obligatorischen Mindestaufschlag und einem allfälligen Auktionsaufschlag um die Differenz zwischen ursprünglichem und neuem Startpreis anzupassen. Der obligatorische Mindestaufschlag wird für Verträge mit einer Laufzeit von einem Jahr oder länger für die folgenden Ein- bzw. Ausspeisepunkte, bezogen auf die vertraglich vereinbarte Leistung für feste, frei zuordenbare Kapazitäten, wie folgt bestimmt:
1. Einspeisepunkt Mosonmagyaróvár (Projekt GCA 2021/01, Mindestmengengerüst: 763.726 kWh/h) 1,35;
2. Einspeisepunkt Mosonmagyaróvár (Projekt GCA 2021/01, Mindestmengengerüst: 916.487 kWh/h) 0,98;
3. Einspeisepunkt Murfeld (Projekt GCA 2015/08, Mindestmengengerüst: 2.775.120 kWh/h) 1,34;
4. Einspeisepunkt Reintal (Projekt GCA 2015/01a, Mindestmengengerüst: 2.658.744 kWh/h) 4,48;
5. Einspeisepunkt Reintal (Projekt GCA 2020/01, Mindestmengengerüst: 1.194.924 kWh/h) 5,01.
(4a) Für die in Abs. 4 Z 4 und 5 aufgezählten Projekte wird der f-Faktor im Sinne des Art. 23 der Verordnung (EU) 2017/459 zur Festlegung eines Netzkodex über Mechanismen für die Kapazitätszuweisung in Fernleitungsnetzen und zur Aufhebung der Verordnung (EU) Nr. 984/2013, ABl. Nr. L 72 vom 17.03.2017 S. 1, mit 0,8 festgelegt. Für die in Abs. 4 Z 1 und 2 aufgezählten Projekte wird der f-Faktor im Sinne des Art. 23 der Verordnung (EU) 2017/459 zur Festlegung eines Netzkodex über Mechanismen für die Kapazitätszuweisung in Fernleitungsnetzen und zur Aufhebung der Verordnung (EU) Nr. 984/2013, ABl. Nr. L 72 vom 17.03.2017 S. 1, mit 0,75 festgelegt.
(5) Das Netznutzungsentgelt für die Einspeisung in das oder die Ausspeisung aus dem Fernleitungsnetz für Verträge mit einer Laufzeit von einem Jahr oder länger bezogen auf die vertraglich vereinbarte Ein- oder Ausspeiseleistung für dynamisch zuordenbare Kapazität, ermittelt sich durch einen Abschlag iHv 10% gegenüber dem entsprechenden Entgelt für frei zuordenbare Kapazität an dem jeweiligen Ein- oder Ausspeisepunkt.
(Abs.: 6 aufgehoben durch BGBl. II Nr. 138/2024)
(7) Soweit Abs. 7a nichts anderes bestimmt, entspricht das Entgelt für unterbrechbare Kapazitäten grundsätzlich dem Entgelt für die gleiche Leistung auf fester Basis. Im Falle von Unterbrechungen ist dem Netzbenutzer eine Refundierung zu gewähren. Eine allfällige Refundierung innerhalb eines Leistungsmonats wird vom Entgelt für den betreffenden Leistungsmonat abgezogen. Das vom Fernleitungsnetzbetreiber zu refundierende Entgelt (E Rm ) errechnet sich anhand der Formel gemäß Anlage 1. Unterbrechbare Transportdienstleistungen auf Basis von dynamisch zuordenbaren Kapazitäten sind von der Refundierung ausgenommen.
(7a) Abweichend von den Regelungen in Abs. 7 wird das Netznutzungsentgelt für unterbrechbare Kapazitäten für die Einspeisung in das Fernleitungsnetz an den Einspeisepunkten Oberkappel und Überackern mit einem Abschlag von 12% auf das Netznutzungsentgelt für feste, frei zuordenbare Kapazitäten an diesen Einspeisepunkten bestimmt. Dies gilt für Kapazitäten sämtlicher Laufzeiten.
(8) Das Netznutzungsentgelt an Netzkopplungspunkten im Fernleitungsnetz, an denen mehrere maßgebliche Punkte gemäß § 39 GWG 2011 zusammentreffen, wird für den Transport auf fester Basis ausschließlich zwischen diesen maßgeblichen Punkten gemäß § 39 GWG 2011 für Verträge mit einer Laufzeit von einem Jahr oder länger für die folgenden Ein- und Ausspeisepunkte, bezogen auf die vertraglich vereinbarte Leistung, wie folgt bestimmt (der Ausspeisepunkt in Klammer bezeichnet jenen Ausspeisepunkt, in dessen Kombination der Transport angeboten wird):
1. Überackern-SUDAL (Überackern-ABG): Einspeisung: 0,14 Ausspeisung: 0,14
2. Überackern-ABG (Überackern- SUDAL): Einspeisung: 0,14 Ausspeisung: 0,14
(Abs.: 8a aufgehoben durch BGBl. II Nr. 138/2024)
(9) Das Netznutzungsentgelt für die Einspeisung in das Fernleitungsnetz für Verträge mit einer Laufzeit von weniger als einem Jahr errechnet sich auf Basis der Entgelte (E) gemäß Abs. 2, Abs. 5 und Abs. 7 bis 8 anhand der folgenden Formeln:
1. für Quartalsprodukte: (E/365)*Tageszahl des jeweiligen Quartals*1,25;
2. für Monatsprodukte: (E/365)* Tageszahl des jeweiligen Monats*1,5;
3. für Tagesprodukte: (E/365)*2;
4. für Rest of the Day- und Within Day-Produkte: (E/8760)*(Rest-)Stundenzahl des jeweiligen Tages*3.
(9a) Das Netznutzungsentgelt für die Ausspeisung aus dem Fernleitungsnetz für Verträge mit einer Laufzeit von weniger als einem Jahr errechnet sich auf Basis der Entgelte (E) gemäß Abs. 3 und Abs. 6 bis 8 anhand der folgenden Formeln:
1. für Quartalsprodukte: (E/365)*Tageszahl des jeweiligen Quartals*1,25;
2. für Monatsprodukte: (E/365)* Tageszahl des jeweiligen Monats*1,5;
3. für Tagesprodukte: (E/365)*2;
4. für Rest of the Day- und Within Day-Produkte: (E/8760)*(Rest-)Stundenzahl des jeweiligen Tages*3.
(10) Im Falle von Einschränkungen der Transportdienstleistung aufgrund von ungeplanten Wartungsarbeiten, die vom Fernleitungsnetzbetreiber nicht gemäß Punkt 3.3 Z 1 lit. g des Anhangs 1 zur Verordnung (EG) Nr. 715/2009 42 Tage im Voraus veröffentlicht wurden, sowie von Einschränkungen der Transportdienstleistung an einem Ein- oder Ausspeisepunkt, die eine Gesamtdauer von 360 Stunden pro Gasjahr überschreiten, ist dem Netzbenutzer für die Dauer und in dem Umfang der Transporteinschränkung eine Entgeltreduktion zu gewähren. Die Entgeltkürzung innerhalb eines Leistungsmonats wird vom Entgelt für den betreffenden Leistungsmonat abgezogen. Die vom Fernleitungsnetzbetreiber zu gewährende Entgeltkürzung (E km ) errechnet sich anhand der Formel gemäß Anlage 2.
(5) Im Falle von Einschränkungen der Transportdienstleistung aufgrund von ungeplanten Wartungsarbeiten entsprechend der gemäß § 32 GWG 2011 genehmigten Allgemeinen Bedingungen für den Netzzugang zu Fernleitungsnetzen sowie von Einschränkungen der Transportdienstleistung an einem Ein- oder Ausspeisepunkt, die eine Gesamtdauer von 360 Stunden pro Gasjahr überschreiten, ist dem Netzbenutzer für die Dauer und in dem Umfang der Transporteinschränkung eine Entgeltreduktion zu gewähren. Die Entgeltkürzung innerhalb eines Leistungsmonats wird vom Entgelt für den betreffenden Leistungsmonat abgezogen. Die vom Fernleitungsnetzbetreiber zu gewährende Entgeltkürzung (E km ) errechnet sich anhand der Formel gemäß Anlage 2.
(6) Das Netznutzungsentgelt für die grenzüberschreitende Nutzung einer Speicheranlage im Fernleitungsnetz gemäß Abs. 8 Z 1 wird in Cent/kWh/h pro Tag wie folgt bestimmt:
1. Speicher Penta West: 0,59;
2. Speicher MAB:0,30.
Die Verrechnung des Netznutzungsentgelts erfolgt auf Basis der Summe der Minima der gemäß Abs. 8 Z 1 ermittelten Kontosaldi der Speicherkunden eines Gastages in kWh/h.
(7) Das Netznutzungsentgelt für die grenzüberschreitende Nutzung einer Speicheranlage im Fernleitungsnetz gemäß Abs. 8 Z 2 wird in Cent/kWh/h pro Tag wie folgt bestimmt:
1. Speicher Penta West: 0,38;
2. Speicher MAB: 0,38.
Die Verrechnung des Netznutzungsentgelts erfolgt auf Basis der Summe der Maxima der gemäß Abs. 8 Z 2 ermittelten Kontosaldi der Speicherkunden eines Gastages in kWh/h.
(8) Eine grenzüberschreitende Nutzung der Speicheranlage liegt vor, wenn der Kontosaldo auf Stundenbasis gemäß Abs. 10 Z 2 ungleich Null ist.
1. Ist der Kontosaldo auf Stundenbasis negativ liegt eine grenzüberschreitende Nutzung einer Speicheranlage vom Marktgebiet Ost in ein angrenzendes Marktgebiet vor;
2. Ist der Kontosaldo auf Stundenbasis positiv liegt eine grenzüberschreitende Nutzung einer Speicheranlage von einem angrenzenden Marktgebiet in das Marktgebiet Ost vor.
Die Fernleitungs- und Verteilernetzbetreiber sind verpflichtet sich wechselseitig die entsprechenden Daten gemäß Abs. 9 Z 2 und Z 3 zur Verfügung zu stellen.
(9) Speicherunternehmen haben gegenüber dem Netzbetreiber, an dessen Netz die Speicheranlage angeschlossen ist, nachzuweisen, dass keine grenzüberschreitende Nutzung der Speicheranlage stattgefunden hat. Sofern eine Speicheranlage an das Fernleitungsnetz und das Verteilernetz angeschlossen ist, hat dieser Nachweis gegenüber dem Verteiler- und Fernleitungsnetzbetreiber zu erfolgen. Dazu wird vom Speicherunternehmen ein Speicherstandkonto pro Speicherkunde und Marktgebiet eingerichtet, auf dem Ein- und Ausspeisenominierungen gemäß Z 2 und Z 3 sowie Umbuchungen zwischen den Speicherstandkonten der Marktgebiete abgebildet werden. Daher sind vom Speicherunternehmen folgende Daten an die Netzbetreiber zu übermitteln:
1. stündliche Veränderung des Ist-Werts des Speicherstandkontos pro Speicherkunde, wobei der Netzbetreiber in begründeten Fällen eine Bestätigung dieser Werte durch einen unabhängigen Wirtschaftsprüfer verlangen kann;
2. Einspeisenominierungen in die Speicheranlage pro Speicherkunde und Bilanzgruppe auf stündlicher Basis aus dem Fernleitungsnetz und aus dem Verteilernetz, wobei der Verteilergebietsmanager die entsprechenden Werte gegenüber den Netzbetreibern bestätigt;
3. Ausspeisenominierungen aus der Speicheranlage pro Speicherkunde und Bilanzgruppe auf stündlicher Basis in das Fernleitungsnetz und in das Verteilernetz, wobei der Verteilergebietsmanager die entsprechenden Werte gegenüber den Netzbetreibern bestätigt.
(10) Der stündliche Saldo des Speicherstandkontos pro Speicherkunde (Kontosaldo) wird wie folgt ermittelt:
1. Die stündliche Veränderung des Soll-Werts des Speicherstandkontos pro Speicherkunde ergibt sich aus den Einspeisenominierungen (Abs. 9 Z 2) minus den Ausspeisenominierungen (Abs. 9 Z 3) der zu berechnenden Stunde;
2. Der stündliche Saldo des Speicherstandkontos pro Speicherkunde (Kontosaldo) ergibt sich aus der stündlichen Veränderung des Ist-Werts des Speicherstandkontos pro Speicherkunde (Abs. 9 Z 1) minus der stündlichen Veränderung des Soll-Werts des Speicherstandkontos (Z 1).
(6) Wird die vertraglich vereinbarte Höchstleistung innerhalb eines Monats pro Zählpunkt überschritten, ist Endverbrauchern für die Leistungsüberschreitung der fünffache Leistungspreis zu verrechnen. Dieser Verrechnung ist die höchste gemessene stündliche Leistung des Monats zu Grunde zu legen.
Der fünffache Leistungspreis kommt bei einer kurzfristigen Leistungsüberschreitung nicht zur Anwendung, wenn folgende Voraussetzungen erfüllt sind:
1. die Leistungsinanspruchnahme aufgrund eines vom Verteilergebietsmanager festgestellten Kapazitätsengpasses im Verteilernetz nur nach Können und Vermögen erfolgen kann,
2. die Leistungsüberschreitung zwischen dem Endverbraucher und dem Verteilernetzbetreiber auf Basis der Allgemeinen Verteilernetzbedingungen vereinbart wurde,
3. die vereinbarte Höchstleistung pro Zählpunkt größer als 50.000 kWh/h ist, sowie
4. die Messwerte dem Verteilernetzbetreiber online zur Verfügung stehen.
(6a) Abweichend von Abs. 5 kann auf Antrag des Endverbrauchers bei Anlagen mit einer vertraglich vereinbarten Höchstleistung pro Zählpunkt von mehr als 50.000 kWh/h, die an die Netzebene 2 angeschlossen sind, zur Ermittlung der Basis für die Verrechnung des leistungsbezogenen Anteils des Netznutzungsentgelts die täglich gemessene höchste stündliche Leistung herangezogen werden. Zur Ermittlung der Basis für die tägliche Verrechnung ist die täglich gemessene höchste stündliche Leistung mit dem gemäß diesem Absatz verordneten Leistungspreis zu multiplizieren. Eine Änderung der Verrechnungsmodalitäten ist einmal innerhalb von zwölf Monaten möglich. Unabhängig von der tatsächlich gemessenen höchsten stündlichen Leistung eines Tages ist zur Ermittlung der Basis für die Verrechnung des leistungsbezogenen Anteils des Netznutzungsentgelts jedenfalls die Mindestleistung gemäß § 2 Abs. 1 Z 9 heranzuziehen.
(6b) Wird die vertraglich vereinbarte Höchstleistung innerhalb eines Tages pro Zählpunkt überschritten, ist Endverbrauchern für die Leistungsüberschreitung der fünffache Leistungspreis gemäß Abs. 6a zu verrechnen. Dieser Verrechnung ist die höchste gemessene stündliche Leistung des Tages zu Grunde zu legen.
Der fünffache Leistungspreis kommt bei einer kurzfristigen Leistungsüberschreitung nicht zur Anwendung, wenn folgende Voraussetzungen erfüllt sind:
1. die Leistungsinanspruchnahme aufgrund eines vom Verteilergebietsmanager festgestellten Kapazitätsengpasses im Verteilernetz nur nach Können und Vermögen erfolgen kann,
2. die Leistungsüberschreitung zwischen dem Endverbraucher und dem Verteilernetzbetreiber auf Basis der Allgemeinen Verteilernetzbedingungen vereinbart wurde,
3. die vereinbarte Höchstleistung pro Zählpunkt größer als 50.000 kWh/h ist sowie
4. die Messwerte dem Verteilernetzbetreiber online zur Verfügung stehen.
(6c) Auf Antrag sind Anlagen, die Regelreserve auf Stromregelreservemärkten bereitstellen, an Tagen, an denen der Regelzonenführer gemäß § 23 Abs. 2 Z 6 ElWOG 2010 die angebotene Regelenergie abruft, unter sinngemäßer Anwendung des Abs. 6a abzurechnen. Die gemessene höchste stündliche Leistung der Tage, an denen Regelenergie abgerufen wird, ist bei der Ermittlung der monatlich gemessenen Höchstleistung nach Abs. 5 nicht zu berücksichtigen. Das Leistungsentgelt gem. Abs. 5 ist um jene Tage mit Regelenergieabruf anteilig zu reduzieren. Der Regelreserveanbieter hat dem Gasverteilernetzbetreiber, an dessen Netz die Anlage angeschlossen ist, die für die Verrechnung notwendigen Daten zu übermitteln.
(7) Weicht die tatsächliche Abrechnungsperiode von einem Zeitraum von 365 bzw. 366 Tagen ab, sind die gemäß Abs. 4 zu durchlaufenden Zonen spezifisch auf die entsprechende Abrechnungsperiode gemäß dem anhand der Lastprofilverordnung ermittelten Lastprofil zu aliquotieren. Bei jeder Änderung der Netznutzungsentgelte ist eine Zonenaliquotierung und, wenn der Zählerstand nicht bekannt ist, eine rechnerische Verbrauchsabgrenzung vorzunehmen. Die Aliquotierung der Zonen sowie die rechnerische Verbrauchsabgrenzung sind bei der Verrechnung transparent und nachvollziehbar darzustellen. Der Netzbetreiber stellt im Internet ein Modell zur Darlegung der Berechnungsmethodik zur Verfügung, anhand dessen die Zonenaliquotierung und die rechnerische Verbrauchsabgrenzung nachvollzogen werden kann. Auf Kundenwunsch sind Kunden, deren Verbrauchsmessung auf Basis des § 3 Abs. 2 Lastprofilverordnung 2018 erfolgt, Monatsverbräuche der letzten Abrechnungsperiode auf Basis der rechnerischen Verbrauchsabgrenzung elektronisch oder in Papierform zur Verfügung zu stellen. Kunden, deren Verbrauchsmessung mit einem Lastprofilzähler, einem Verbrauchsaufzeichnungsmessgerät oder einem intelligenten Messgerät erfolgt, sind auf Kundenwunsch auch Tagesverbräuche zur Verfügung zu stellen.
(8) Für das von Endverbrauchern sowie von Netzbetreibern innerhalb von Netzbereichen zu entrichtende Netznutzungsentgelt im Verteilernetz gemäß § 73 Abs. 2 GWG 2011 werden folgende Entgelte bestimmt:
1. Netznutzungsentgelt für die Netzebene 2:









2. Netznutzungsentgelt für die Netzebene 3:









3. Netznutzungsentgelt für die Netzebenen 2 und 3 für öffentliche Anlagen, die zum Betanken von erdgasbetriebenen Fahrzeugen dienen, in den Netzbereichen Burgenland, Kärnten, Niederösterreich, Oberösterreich, Salzburg, Steiermark, Tirol, Vorarlberg und Wien:
a) Pauschale/Jahr 3 000 Euro/Jahr;
b) Arbeitspreis: 0,45 Cent/kWh.
(9) Vereinbart ein Verteilernetzbetreiber auf Basis der Allgemeinen Netzbedingungen mit einem Endverbraucher mit einer vereinbarten Höchstleistung pro Zählpunkt von mehr als 50.000 kWh/h und dessen Messwerte dem Verteilernetzbetreiber online zur Verfügung stehen, dass die vereinbarte Netznutzung des Endverbrauchers auf Veranlassung des Verteilergebietsmanagers (§ 18 Abs. 1 Z 23 GWG 2011) um bis zu 100 % eingeschränkt werden kann, so ist für jede tatsächliche und der Anordnung des Verteilergebietsmanagers entsprechend vorgenommene Einschränkung der Netznutzung der Leistungspreis für den Monat, in dem die Einschränkung erfolgt, wie folgt zu reduzieren: für jede Einschränkung, die dem Endverbraucher
1. bis spätestens 12 Uhr für den darauf folgenden Gastag (6 Uhr bis 6 Uhr) bekannt gegeben wird, um 25 % des der Einschränkung entsprechenden, monatlichen Leistungspreises;
2. bis spätestens Freitag, 12 Uhr für die übernächste Woche (Montag 6 Uhr bis Montag 6 Uhr) bekannt gegeben wird, um 100 % des der Einschränkung entsprechenden, monatlichen Leistungspreises;
3. bis spätestens zum 15. des Monats für den darauf folgenden Monat bekannt gegeben wird, um 100 % des der Einschränkung entsprechenden, monatlichen Leistungspreises.
6. Ruggell: 9,93;
7. Höchst: 9,93;
8. Hochfilzen: 4,31.
(4) Das Entgelt für unterbrechbare Kapazitäten entspricht grundsätzlich dem Entgelt für die gleiche Leistung für Standardkapazität. Im Falle von Unterbrechungen ist dem Netzbenutzer eine Refundierung zu gewähren. Eine allfällige Refundierung innerhalb eines Leistungsmonats wird vom Entgelt für den betreffenden Leistungsmonat abgezogen. Das vom Verteilernetzbetreiber zu refundierende Entgelt (ERm) errechnet sich anhand der Formel gemäß Anlage 1.
(5) Das Netznutzungsentgelt für die Einspeisung in das Verteilernetz an der Marktgebietsgrenze bzw. für die Ausspeisung aus dem Verteilernetz an der Marktgebietsgrenze mit einer Laufzeit von weniger als einem Jahr errechnet sich auf Basis der Entgelte (E) gemäß Abs. 2 und 3 anhand der folgenden Formeln:
1. für Quartalsprodukte: (E/365)*Tageszahl des jeweiligen Quartals*1,1;
2. für Monatsprodukte: (E/365)* Tageszahl des jeweiligen Monats*1,2;
3. für Tagesprodukte: (E/365)*1,5.
Im Falle von impliziten Allokationen gemäß Art. 2 Abs. 4 der Verordnung (EU) Nr. 2017/459 können niedrigere Faktoren angewendet werden.
(6) Das Netznutzungsentgelt für Ein- und Ausspeisung im Rahmen der impliziten Allokation im Verteilernetz an der Marktgebietsgrenze wird für alle Produkte mit einer Laufzeit von weniger als einem Monat mit dem Faktor 1,0 festgesetzt.
1. Marktgebiet Ost:

2. Marktgebiet Tirol:
a) TIGAS-Erdgas Tirol GmbH zahlt an Austrian Gas Grid Management AG: 6.682,4;
b) Elektrizitätswerke Reutte AG zahlt an Austrian Gas Grid Management AG: 279,2.
3. Marktgebiet Vorarlberg: Vorarlberger Energienetze GmbH zahlt an Austrian Gas Grid Management AG: 6.791,5.
(6) Für das von Netzbenutzern zu entrichtende Entgelt für Messleistungen werden folgende Höchstpreise je angefangenem Monat bestimmt.
1. Höchstpreise für Balgengaszähler G 2,5 – G 100 und intelligente Messgeräte sowie Zubehör, Optionen für Betriebsdrücke bis 0,5 bar:
| Typ | Balgengaszähler inkl. Verschraubungen [€] | Intelligente Messgeräte ohne Abschaltfunktion[€] | ||
| G 2,5 – G 4 | 1,35 | 1,95 | ||
| G 6 | 1,75 | 2,35 | ||
| G 10 – G 16 | 3,55 | 4,15 | ||
| G 25 | 5,70 | 6,30 | ||
| G 40 | 11,90 | 12,50 | ||
| G 65 | 16,70 | 17,30 | ||
| G 100 | 26,20 | |||
| Zubehör, Optionen | [€] |
| Impulsnehmer | 0,30 |
| Temperaturkompensation bis G 6 für Balgengaszähler | 0,10 |
| Temperaturkompensation ab G 10 für Balgengaszähler | 0,20 |
| Abschaltfunktion | 0,30 |
2. Höchstpreise für Drehkolbengaszähler G 25 – G 1000 (für Betriebsdrücke bis 16 bar) mit zumindest einem Impulsgeber:
| Typ | Drehkolbengaszähler [€] | |
| G 25 – G 40 | 18,60 | |
| G 65 | 19,50 | |
| G 100 | 22,50 | |
| G 160 | 32,85 | |
| G 250 | 35,70 | |
| G 400 | 55,05 | |
| G 650 | 78,75 | |
| G 1000 | 104,40 | |
Für Drehkolbengaszähler welche als intelligentes Messgerät Verwendung finden, kann zusätzlich ein Entgelt von höchstens 2,00 € verrechnet werden.
3. Höchstpreise für Lastprofilzähler (LPZ) mit Übertragung in Euro:
a) LPZ mit einkanaliger Ausführung 13,50;
b) LPZ mit zweikanaliger Ausführung 15,00;
c) LPZ mit Ausführung mit mehr als zwei Kanälen 18,00;
d) Onlinemessungen 40,00.
4. Höchstpreise für Kompaktmengenumwerter (MUW) und Temperaturumwerter (TUW):
| Typ | [€] |
| Kompaktmengenumwerter ohne LPZ | 40,00 |
| Kompaktmengenumwerter mit LPZ und Übertragung | 55,00 |
| Kompaktmengenumwerter mit Onlinemessung | 80,00 |
| Temperaturumwerter elektronisch | 5,00 |
5. Höchstpreise für Verbrauchsaufzeichnungsmessgeräte gemäß § 2 Z 10 Lastprofilverordnung 2018 mit Übertragung in Euro:
a) einkanalige Ausführung 7,00;
b) Ausführung mit zwei oder mehr Kanälen 10,00;
6. Höchstpreise für 230 Volt Energieversorgung, insbesondere für Mengenumwerter, Lastprofilzähler, Verbrauchsaufzeichnungsmessgeräte und Onlinemessung: 10,00 Euro.
(7) Für die Errichtung oder Demontage von Messeinrichtungen, welche im Eigentum des Netzbetreibers stehen, werden folgende Höchstpreise bestimmt:
1. Höchstpreise für die Errichtung oder Demontage von Balgengaszählern und intelligenten Messgeräten bis zur Größe G 65:
| Größe (inkl. Zählerregler) | Errichtung [€] | Demontage [€] |
| bis G 16 | 60,00 | 30,00 |
| G 25 bis G 65 | 90,00 | 45,00 |
2. Höchstpreise für die Errichtung oder Demontage von Onlinemessungen:
| Größe | Errichtung [€] | Demontage [€] |
| Standard | 250,00 | 125 |
(8) Für die Überprüfung von Messeinrichtungen auf Veranlassung des Netzbenutzers, welche im Eigentum des Netzbetreibers stehen, werden folgende Höchstpreise bestimmt. Die Verrechnung dieser Leistung ist nur bei nicht defekten Messeinrichtungen zulässig:
1. vor Ort ohne Ausbau des Messgerätes (keine Mengenumwerter-Überprüfung): 40,00 €
2. vor Ort ohne Ausbau des Messgerätes, mit Überprüfung von Zusatzeinrichtungen: 80,00 €
3. durch eine kompetente Prüfstelle für Balgengaszähler und intelligente Messgeräte bis G 65 nach Ausbau des Messgeräts: 90,00 €
4. vor Ort mit Ausbau für Zähler G 25 bis G 250 (ausgenommen Balgengaszähler und intelligente Messgeräte): 200,00 €
5. vor Ort mit Ausbau für Zähler G 400 bis G 1000: 300,00 €
6. vor Ort mit Ausbau für Zähler größer G 1000: 500,00 €
d) Trennung der Anschlussleitung vom Verteilernetz auf befestigtem Untergrund samt Freispülung der getrennten Hausanschlussleitung 1 500 Euro;
e) Trennung der Anschlussleitung im Zählerkasten bis Zählergröße G 65 samt Freispülung der getrennten Hausanschlussleitung, wenn der Zählerkasten die Eigentumsgrenze zum Verteilernetz darstellt und öffentlich zugänglich ist 90 Euro;
3. Ablesung von Messeinrichtungen und Zwischenabrechnung auf Veranlassung des Netzbenutzers:
| a) Ablesung vor Ort ohne Zwischenabrechnung | 10,00 € |
| b) Ablesung vor Ort mit Zwischenabrechnung | 15,00 € |
| c) Zwischenabrechnung ohne Ablesung vor Ort | 5,00 € |
4. Zur Verfügung stellen von Lastprofilzählerdaten – tagesaktuell:
| a) im Standardformat laut sonstigen Marktregeln | 0,00 € |
| b) Sonderformate | 10,00 € |
| c) erstmalige Einrichtung der Datenschnittstelle | 50,00 € |
(2) Die Entgelte gemäß Abs. 1 Z 4 lit. b sind monatlich verrechenbar, Abs. 1 Z 1 bis 3 und Abs. 1 Z 4 lit. c sind jeweils im Anlassfall verrechenbar.
(6) Die § 2 Abs. 1, § 9 Abs. 1, § 10 Abs. 6 bis 6b und Abs. 8, § 11 Abs. 2 bis 4, § 12 Abs. 3, § 13 Abs. 2, § 14 Abs. 7, § 15 Abs. 3 und Abs. 6 bis 8, § 16 Abs. 1, § 17 und § 19 Z 1 bis 3 in der Fassung der GSNE-VO 2013-Novelle 2014 treten mit 1. Jänner 2014, 6 Uhr in Kraft. Für Endverbraucher, die bis 31.1.2014 Anträge gemäß § 10 Abs. 6a einbringen, wird zur Ermittlung der Basis für die Verrechnung des leistungsbezogenen Anteils des Netznutzungsentgelts rückwirkend ab 1.1.2014, 6 Uhr die täglich gemessene höchste stündliche Leistung angewendet.
(7) Die § 4 Abs. 1 und Abs. 6 bis 11, § 12 Abs. 4 und Abs. 5 sowie § 20 Abs. 4 in der Fassung der 3. GSNE-VO 2013-Novelle 2014 treten mit 1. Mai 2014, 6 Uhr in Kraft.
(8) Die § 2 Abs. 1 Z 13, § 3 Abs. 8, § 4 Abs. 5, § 4 Abs. 9 Z 1, § 7 Abs. 2, § 10 Abs. 6c, § 10 Abs. 7, § 10 Abs. 8 Z 1 und Z 2, § 12 Abs. 2, § 12 Abs. 4, § 13 Abs. 2, § 14 Abs. 7, § 15 Abs. 8 Z 3, § 17 und § 19 in der Fassung der GSNE-VO 2013 – Novelle 2015 treten mit 1. Jänner 2015, 6 Uhr in Kraft.
(9) Die § 3 Abs. 2 Z 5, § 3 Abs. 4 Z 2, § 3 Abs. 6a, § 3 Abs. 9, § 4 Abs. 2a, § 4 Abs. 6 Z 1 und § 8 Abs. 4 in der Fassung der GSNE-VO 2013 – 2. Novelle 2015 treten mit 1. Februar 2015, 6 Uhr in Kraft.
(10) Die § 2 Abs. 1 Z 13, § 3 Abs. 2 Z 6, § 3 Abs. 6a Z 1 und Z 2, § 8 Abs. 1 und Abs. 3, § 10 Abs. 3, § 10 Abs. 8 Z 1 und Z 2, § 11 Abs. 2 Z 2,§ 12 Abs.2, § 13 Abs. 2 Z 1 bis 3, § 14 Abs. 7, § 17 und § 19 in der Fassung der GSNE-VO 2013 – Novelle 2016, BGBl. II Nr. 427/2015, treten mit 1. Jänner 2016, 6 Uhr in Kraft. § 4 Abs. 6, Abs. 7, Abs. 9, Abs. 10 und Abs. 11 sowie § 10 Abs. 6 und 6b in der Fassung der GSNE-VO 2013 – Novelle 2016, BGBl. II Nr. 427/2015, treten mit 1. April 2016, 6 Uhr in Kraft, § 11 Abs. 3 Z 6 in der Fassung der GSNE-VO 2013 – Novelle 2016 tritt mit 1. Oktober 2016, BGBl. II Nr. 427/2015, 6 Uhr in Kraft. § 3 Abs. 4 Z 1, § 4 Abs. 2a, § 11 Abs. 2 Z 3 und Z 4 treten mit 1. Jänner 2016, 6 Uhr außer Kraft.
(11) Die Bestimmungen der GSNE-VO 2013-Novelle 2017, BGBl. II Nr. 425/2016, treten mit 1. Jänner 2017, 6 Uhr, in Kraft.
(12) Die Bestimmungen der GSNE-VO 2013 – 2. Novelle 2017, BGBl. II Nr. 243/2017, treten mit dem der Kundmachung folgenden Gastag in Kraft.
(13) Die Bestimmungen der GSNE-VO 2013 – Novelle 2018, BGBl. II Nr. 399/2017, treten mit Beginn des Gastages 1. Jänner 2018 in Kraft.
(14) Die Bestimmungen der GSNE-VO 2013 – 2. Novelle 2018, BGBl. II Nr. 85/2018, treten mit dem der Kundmachung folgenden Gastag in Kraft.
(15) § 2 Abs. 1 Z 1 und Z 13 zweiter Satz, § 10 Abs. 6c letzter Satz, § 10 Abs. 8 Z 1 und 2, § 11 Abs. 3 Z 6, § 12 Abs. 2, § 13 Abs. 2 Z 2 und 3, § 14 Abs. 7 Z 1, § 14 Abs. 7 Z 2 lit. a und b, § 14 Abs. 7 Z 3, § 15 Abs. 3, § 17 Abs. 2 bis Abs. 6 und § 19 Z 1 bis Z 3, jeweils in der Fassung der GSNE-VO 2013 – Novelle 2019, BGBl. II Nr. 355/2018, treten mit Beginn des Gastages 1. Jänner 2019 in Kraft.
(16) Die Bestimmungen der GSNE-VO 2013 – Novelle 2020, BGBl. II Nr. 423/2019, treten mit Beginn des Gastages 1. Jänner 2020 in Kraft.
(17) § 3 Abs. 1 bis Abs. 7a sowie Abs. 9 bis Abs. 10, § 4 Abs. 1 und Abs. 2, Abs. 5 bis Abs. 7, § 7 Abs. 2, § 8 Abs. 3, § 12 Abs. 4 und Abs. 5 sowie Anlage 1 und Anlage 3, in der Fassung der GSNE-VO 2013 – 2. Novelle 2020, BGBl. II Nr. 254/2020, treten mit Beginn des Gastages 1. Jänner 2021 in Kraft.
(18) § 2 Abs. 1 Z 13, § 10 Abs. 8 Z 1 und 2, § 11 Abs. 2 Z 1 und 2, § 11 Abs. 3, § 12 Abs. 4 und 5, § 14 Abs. 7 Z 1 bis 3, § 17 Abs. 2 bis 6 sowie § 19 Z 1 bis 3, in der Fassung der GSNE-VO 2013 – Novelle 2021, BGBl. II Nr. 574/2020, treten mit Beginn des Gastages 1. Jänner 2021 in Kraft.
(19) § 3 Abs. 4 Z 4 und 5 sowie § 3 Abs. 4a in der Fassung der Verordnung BGBl. II Nr. 437/2021 treten mit dem der Kundmachung folgenden Gastag in Kraft.
(20) § 2 Abs. 1 Z 13, § 10 Abs. 8 Z 1 und 2, § 11 Abs. 1, § 11 Abs. 3 Z 6 und 7, § 12 Abs. 1 und 2, § 13 samt Überschrift, § 14 Abs. 7 Z 1 bis 3, § 16 Abs. 5, § 17 Abs. 2 bis 6 und § 19 Z 1 bis 3, in der Fassung der GSNE-VO 2013 – Novelle 2022, BGBl. II Nr. 557/2021, treten mit Beginn des Gastages 1. Jänner 2022 in Kraft.
(21) § 1 Abs. 1 Z 1, § 2 Abs. 1 Z 5a und Z 8a, § 3 Abs. 1, Abs. 2a und Abs. 3a, § 3 Abs. 4 Z 1 und Z 2, § 3 Abs. 4a, § 4 Abs. 2a, § 7 Abs. 2 und Anlage 3, jeweils in der Fassung der Verordnung BGBl. II Nr. 176/2022, treten mit Beginn des Gastages 1. Juni 2022 in Kraft.
(22) § 2 Abs. 1 Z 13 zweiter Satz, in der Fassung der Verordnung BGBl. II Nr. 346/2022, tritt mit Beginn des Gastages 1. Oktober 2022 in Kraft.
(23) § 3 Abs. 2a und Abs. 3a, § 4 Abs. 2a und § 7 Abs. 2 zweiter Satz, jeweils in der Fassung der Verordnung BGBl. II Nr. 408/2022, treten mit dem der Kundmachung folgenden Gastag in Kraft. Im Monat des Inkrafttretens ist die Ausgleichszahlung nach § 7 Abs. 2 tagesbezogen zu aliquotieren.
(24) § 2 Abs. 1 Z 13, § 10 Abs. 8 Z 1 und 2, § 11 Abs. 3 Z 6 und 7, § 12 Abs. 2 und 6, § 13 Abs. 2 Z 1 bis 3, § 14 Abs. 7 Z 1 bis 3, § 17 Abs. 2 bis 6 und § 19, in der Fassung der GSNE-VO 2013 – Novelle 2023, BGBl. II Nr. 465/2022, treten mit Beginn des Gastages 1. Jänner 2023 in Kraft.
(25) § 2 Abs. 1 Z 13 zweiter Satz, in der Fassung der Verordnung BGBl. II Nr. 74/2023, tritt mit Beginn des Gastages 1. April 2023 in Kraft.
(26) § 2 Abs. 1 Z 2a erster und zweiter Satz, 11b und 13, § 3 Abs. 2a und 3a, § 4 Abs. 2a, § 7 Abs. 2, § 10 Abs. 3 und 8, § 11 Abs. 3 Z 6 und 7, § 12 Abs. 2, 6 und 7, § 13 Abs. 2 und 3, § 14 Abs. 7, § 16 Abs. 1, § 17 Abs. 2 bis 6 sowie § 19 Z 1 bis 3, in der Fassung der Verordnung BGBl. II Nr. 396/2023, treten mit Beginn des Gastages 1. Jänner 2024 in Kraft. § 2 Abs. 1 Z 2a letzter Satz tritt mit Beginn des Gastages 1. Jänner 2025 in Kraft. Die Anzahl und Einteilung der Brennwertbezirke nach § 2 Abs. 1 Z 2a sind durch die Netzbetreiber auf Aufforderung der Regulierungsbehörde jederzeit vorzulegen und falls erforderlich neu festzulegen.
(27) § 3 Abs. 2 bis Abs. 3a, Abs. 6 und Abs. 6 (Anm.: offensichtlich gemeint Abs. 5) sowie Abs. 8a bis Abs. 9a, § 4 Abs. 2, Abs. 2a, Abs. 6 und Abs. 7, § 7 Abs. 2, § 12 Abs. 4 und Abs. 5 sowie Anlage 3a, in der Fassung der GSNE-VO 2013 – 2. Novelle 2024, BGBl. II Nr. 138/2024, treten mit Beginn des Gastages 1. Jänner 2025 in Kraft.
(28) § 10 Abs. 8 Z 1 bis 3, § 11 Abs. 2 und 3, § 12 Abs. 2, 4, 5 und 7, § 13 Abs. 1 bis 3, § 14 Abs. 7 Z 1 bis 3, § 17 Abs. 2 bis 6 sowie § 19 Z 1 bis 3, in der Fassung der Verordnung BGBl. II Nr. 369/2024, treten mit Beginn des Gastages 1. Jänner 2025 in Kraft.
(29) § 3 Abs. 2 bis Abs. 3a, § 4 Abs. 2 Z 1 und 2, § 4 Abs. 2a, § 4 Abs. 6 Z 1 und 2, § 4 Abs. 7 Z 1 und 2, § 7 und § 18 Abs. 1 Z 1, 3 und 4, in der Fassung der GSNE-VO 2013 – 2. Novelle 2025, BGBl. II Nr. 102/2025, treten mit Beginn des Gastages 1. Jänner 2026 in Kraft. § 18 Abs. 1 Z 2, in der Fassung der GSNE-VO 2013 – 2. Novelle 2025, BGBl. II Nr. 102/2025, tritt mit dem der Kundmachung folgenden Gastag in Kraft.
(30) § 7 Abs. 1 und 2, § 10 Abs. 8 Z 1 bis 3, § 11 Abs. 2 Z 1 bis 3, § 11 Abs. 3 Z 1 bis 8, § 12 Abs. 2, 4, 5 und 7, § 13 Abs. 2 Z 1 bis 4, § 13 Abs. 3, § 14 Abs. 7 Z 1 bis 3, § 17 Abs. 2 bis 6 sowie § 19 Z 1 bis 3, in der Fassung der Verordnung BGBl. II Nr. 306/2025, treten mit Beginn des Gastages 1. Jänner 2026 in Kraft.
i ist die relevante Stunde, in der eine Unterbrechung auftritt;
F m ist das Netznutzungsentgelt, das ungeachtet der Unterbrechnung für den Zeitraum, in dem die Unterbrechnung eingetreten ist, dem Netzbenutzer in Rechnung zu stellen wäre.
Steht an einem Einspeisepunkt in ein Netz oder Teilnetz eine Energiemessung (Brennwert- und Mengenmessung) zur Verfügung, wird aus der Energiemenge und der Gasmenge der Einspeisebrennwert für das Netz berechnet.
Werden der Brennwert oder die Menge nicht an dem Einspeisepunkt gemessen, darf im Betrieb bei maximalem Zeitversatz (im ungünstigsten Fall) zwischen Gasanalyse und der Mengenmessung der Unterschied zwischen den Brennwerten maximal 2% betragen. Zwischen der Mengenmessung und dem Punkt der Brennwertermittlung dürfen keine anderen Gase eingespeist werden.
Bei einer größeren Brennwertänderung sind eine dementsprechende zeitversetzte Anwendung des Brennwertes zur Berechnung des Monatsbrennwertes oder eine andere geeignete Maßnahme zur Verbesserung anzuwenden.
Steht an einem Einspeisepunkt keine Energiemessung zur Verfügung, wird der Einspeisebrennwert vom vorgelagerten Netz entsprechend den Rechenregeln gemäß 5.3 ermittelt.
Ändert sich der Brennwert an einem Einspeisepunkt nur geringfügig über die Zeit, kann dieser aus Analysen in regelmäßigen Intervallen, längstens jedoch ein Jahr, von Gasproben ermittelt werden. Bei Überschreitung des Unterschiedes zur letzten Analyse größer 1% ist das Intervall zu halbieren. Liegen drei aufeinanderfolgende Analysen innerhalb einer Abweichung von bis zu 1% darf das Intervall wieder verdoppelt werden.
Der Brennwert kann auch aus einer Brennwertmessung (Wiederholgenauigkeit kleiner/gleich 1%) oder mittels mengengewichtetem Probenentnahmesystem an einer repräsentativen Stelle im Netz ermittelt werden, sofern zwischen der Brennwert-Messstelle und des Einspeisepunkts keine Mischungen mit anderen Gasbeschaffenheiten als an der Brennwert-Messstelle vorliegen.
Dieser ermittelte Brennwert wird für die Berechnung des Monatsbrennwertes ab dem Monat bzw. Folgemonat des Zeitpunktes der Probenahme verwendet.
Für jeden Einspeisepunkt ist der Einspeisebrennwert, wie in 5.2 beschrieben, zu bestimmen. Aus diesen Einspeisebrennwerten ist ein Monatsbrennwert für das nachgeschaltete Netz zu ermitteln.
Wird ein Netz oder Teilnetz ausschließlich durch einen Einspeisepunkt versorgt oder an mehreren Einspeisepunkten Gas mit gleichem Brennwert eingespeist, kann als Monatsbrennwert der ermittelte Einspeisebrennwert verwendet werden.
Andernfalls kommt für die Ermittlung eines der folgenden Verfahren in Betracht, wobei es erforderlich sein kann, das Netz in weitere Teilnetze zu unterteilen:
– Mittelwertverfahren
– Gasbeschaffenheitsverfolgung / Brennwertzuordnung
– Mengenbilanzierung
– Identifizierung
Werden in ein Netz oder Teilnetz Gase mit unterschiedlichen Brennwerten örtlich getrennt eingespeist, so entstehen bei der Verteilung Misch- und Pendelzonen. Wird an den Entnahmepunkten keine Brennwertmessung durchgeführt, muss für den Brennwertbezirk der Monatsbrennwert gemäß 5.1 ermittelt und überprüft werden, ob die zugehörigen Einspeisebrennwerte um nicht mehr als 2% von diesem Monatsbrennwert abweichen. Kann dieser Grenzwert eingehalten werden, darf der Brennwertdurchschnitt als Monatsbrennwert angewendet werden (siehe 5.1 und Berechnungsbeispiele Anhang C).
Der 2% - Grenzwert darf in einzelnen Monaten auf bis zu 4 % ausgeweitet werden, sofern sichergestellt ist, dass die 2 % Grenze innerhalb eines Durchrechnungszeitraums von maximal 12 Monaten eingehalten wird (Beispiele siehe C.3 und C.4).
Dazu kann es sinnvoll sein, bereits 1 Jahr vor Anwendung der Monatsbrennwerte in der Verrechnung die jeweiligen Daten aufzubereiten, um zum Start der Anwendung auf einen Durchrechnungszeitraum zurückgreifen zu können.
Kann auch diese Bedingung nicht erfüllt werden, ist ein anderes Verfahren laut 5.3.2.2 bis 5.3.2.4 anzuwenden (Beispiel siehe C.4).
Mit einer Gasbeschaffenheitsverfolgung wird in Netzen mit unterschiedlichen Einspeisebrennwerten der Brennwert dynamisch berechnet (Zeitintervalle längstens eine Stunde). Mit relevanten Werten an den Einspeisepunkten sowie den Entnahmemengen an den Entnahmepunkten (Messwerte bzw. Werte abgeleitet aus Standardlastprofilen) und ggf. weiteren Hilfsgrößen (zB Netzdrücke, Mengenmessungen im Netz) kann der Gasfluss und der Brennwert an repräsentativen Stellen im Netz ermittelt werden.
Wird für das Netz oder Teilnetz eine Gasbeschaffenheitsverfolgung durchgeführt, werden für Entnahmepunkten bzw. repräsentative Stellen im Netz Zeitreihen für den Brennwert berechnet. Mit diesen Zeitreihen wird ein gewichteter Einspeisebrennwert für nachgelagerte Netze oder Teilnetze ermittelt.
Grundlagen zur Anwendung einer Gasbeschaffenheitsverfolgung sind in der ÖNORM EN ISO 15112 enthalten. Zur Plausibilisierung der Berechnungsergebnisse sind Referenzmessungen an repräsentativen Stellen des Netzes durchzuführen. Diese Referenzmessungen (zB Gaschromatographen, Probesammler, Brennwertmessgeräte) können ortsfest oder örtlich wechselnd betrieben werden. Die zulässige Abweichung der Mittelwerte (längstens 24 Stunden) zwischen dem Berechnungsergebnis und dem Ergebnis der Referenzmessung darf 2% nicht übersteigen. Bei Überschreitung sind die Ursachen zu ermitteln und eine Neuberechnung durchzuführen.
Bei Berechnung mittels Onlinewerten und einer Abweichung über 1% sind Maßnahmen zur Verbesserung einzuleiten (zB Überprüfung der betroffenen Gaschromatographen, Überprüfung des Rechenmodelles, der Mengenbasis und des Schaltzustandes).
Für das betroffene Netz wird aus den monatlich gemessenen Einspeise- und Entnahmemengen die Misch- und Pendelzone ermittelt. Für diese Misch- und Pendelzone wird ein Teilnetz gebildet und dafür der Monatsbrennwert aus den zugehörigen Einspeisemengen berechnet (Mittelwertverfahren). Allen anderen Entnahmepunkten werden die Monatsbrennwerte aus den zugehörigen Einspeisungen zugeordnet (bildet wiederum Teilnetz(e)).
Sind die Verfahren lt. 5.3.2.1 bis 5.3.2.3 in stark vermaschten Netzen (zB typisch in Mittel- und Niederdrucknetzen) nicht zielführend, kann eine Zuordnung der Zählpunkte zum jeweils hydraulisch nächstgelegenen Einspeisepunkt vorgenommen werden. Diese Zuordnung ist entsprechend Lastflussanalysen und unter Berücksichtigung der typischen Netzlasten (zB Winter/Übergangszeit/Sommer) vorzunehmen.
Alternativ können anhand repräsentativer Messungen von Gasbeschaffenheitsdaten (zB Dichte) im Netz die Brennwerte der Einspeisemessungen entsprechend der zeitlichen Auflösung der Abrechnungsperiode den Entnahmepunkten zugeordnet werden.
Die Grundlagen für diese Zuordnungen sind nachvollziehbar zu gestalten und zu dokumentieren.
Eine Überprüfung der Plausibilität der Zuordnungen muss monatlich erfolgen. Dabei darf die Differenz der tatsächlich je Einspeisepunkt eingespeisten Mengen zur Summe der Entnahmemengen der diesem Einspeisepunkt zugeordneten Zählpunkte max. 10% betragen. Treten in einem Brennwertbezirk wiederholt Überschreitungen der Mengentoleranz auf, sind Verbesserungen (zB netztechnische Maßnahmen wie Änderung der Einspeisemengen, Anpassung der Einspeisebrennwerte, Zusammenlegung der Einspeisepunkte, Anpassung der Versorgungssituation im vorgelagerten Netz) einzuleiten oder ein anderes Verfahren anzuwenden.
Der Verrechnungsbrennwert eines monatlich abgerechneten Endverbrauchers (zB Zählpunkt mit Lastprofilzähler) ist der Monatsbrennwert.
Der Verrechnungsbrennwert eines jährlich oder unterjährlich abgerechneten Endverbrauchers wird als ein mit seinen Verbrauchsmengen gewichteter Mittelwert je Ableseperiode aus den im Abrechnungszeitraum errechneten Monatsbrennwerten ermittelt (siehe Anhang D).
Sind für die Mengengewichtung keine Monatsmengen bekannt, werden die zugeordneten Standardlastprofile herangezogen.