Das Oberlandesgericht Wien fasst als Rekursgericht *** in den Patentrechtssachen der Antragstellerin *** , wegen der Erteilung zweier ergänzender Schutzzertifikate, über die Rekurse der Antragstellerin gegen die Beschlüsse der Technischen Abteilung des Patentamts jeweils vom 20.8.2024, SZ 66/2016-36 und SZ 67/2016-36, in nicht öffentlicher Sitzung den
Beschlus s:
I. Die Rechtsmittelverfahren
- 33 R 30/25m (SZ 66/2016) und
- 33 R 31/25h (SZ 67/2016)
werden zur gemeinsamen Entscheidung verbunden; das führende Verfahren ist 33 R 30/25m.
II. Beiden Rekursen wird Folge gegeben.
Die angefochtenen Beschlüsse werden dahin abgeändert, dass sie insgesamt wie folgt zu lauten haben:
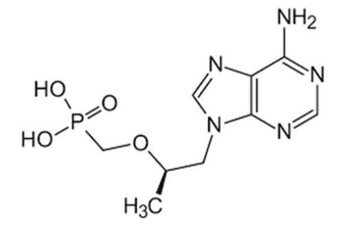
„1.a. Der Antragstellerin wird unter der Nummer SZ 66/2016 ein ergänzendes Schutzzertifikat für das Erzeugnis Eine Kombination aus Rilpivirinhydrochlorid; und Tenofoviralafenamid oder einem pharmazeutisch annehmbaren Salz davon, insbesondere Tenofoviralafenamidfumarat erteilt.
b. Dieses ergänzende Schutzzertifikat gilt ab dem 3.9.2025 bis zum Ablauf des 3.9.2030.
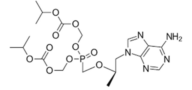
2. a. Der Antragstellerin wird unter der Nummer SZ 67/2016 ein ergänzendes Schutzzertifikat für das Erzeugnis Eine Kombination aus Rilpivirinhydrochlorid; Emtricitabin; und Tenofoviralafenamid oder einem annehmbaren Salz davon, insbesondere Tenofoviralafenamidfumarat erteilt.
b. Dieses ergänzende Schutzzertifikat gilt ab dem 3.9.2025 bis zum Ablauf des 3.9.2030.“
Der Wert des Entscheidungsgegenstands übersteigt in jedem der beiden Verfahren EUR 30.000.
Der ordentliche Revisionsrekurs ist in jedem der beiden Verfahren nicht zulässig.
B e g r ü n d u n g :
Die Antragstellerin ist Inhaberin des Europäischen Patents EP 1 632 232 B1, in Österreich E 508748, das am 2.9.2005 angemeldet und am 11.5.2011 erteilt wurde und dessen Wirksamkeit mit Ablauf des 2.9.2025 endet (in der Folge stets kurz: Grundpatent). Nach einem Beschränkungsverfahren gemäß Art 105a EPÜ wurde das Grundpatent in beschränkter Fassung gemäß Art 105c EPÜ am 30. März 2022 als EP 1 632 232 B3 veröffentlicht (in der Folge wird bei der Nennung des „Grundpatents“ auf diese „B3-Schrift“ Bezug genommen).
Die beiden verfahrensgegenständlichen Schutzzertifikatsanmeldungen SZ 66/2016 und SZ 67/2016 wurden am 20.12.2016 auf Basis des Grundpatents und der arzneimittelrechtlichen Genehmigung für das Inverkehrbringen des Erzeugnisses „Odefsey – Emtricitabin/Rilpivirin/ Tenofoviralafenamid“ (EU/1/16/1112 vom 21.6.2016; der Zulassungswerberin zugestellt am 23.6.2016) beim Österreichischen Patentamt eingereicht.
Das Humanarzneimittel Odefsey beinhaltet die drei Wirkstoffe Emtricitabin, Rilpivirin (in Form des Hydrochlorid-Salzes; in der Folge wird der Einfachheit halber nur der Ausdruck „Rilpivirin“ für dieses Hydrochlorid-Salz verwendet, soweit nicht explizit anders angegeben) und Tenofoviralafenamid (in Form des Fumaratesters bzw. -salzes; in der Folge wird der Einfachheit halber nur der Ausdruck „Tenofoviralafenamid“ für dieses Fumarat-Ester bzw. -Salz verwendet, soweit nicht explizit anders angegeben) als Wirkstoffzusammensetzung.
Emtricitabin ist ein nukleosidischer Reverse-Transkriptase-Inhibitor (NsRTI); Rilpivirin ist ein nicht-nukleosidischer Reverse-Transkriptase-Inhibitor (NNRTI); Tenofoviralafenamid ist ein nukleotidischer Reverse-Transkriptase-Inhibitor (NtRTI).
In Anhang I der Zulassung für Odefsey sind u.a. die folgenden Informationen enthalten (Seiten 2 und 20):


Gemäß den Ansprüchen 1 und 2 des Grundpatents wird die Verbindung Rilpivirin - mit „Verbindung der Formel (I-a)“ bezeichnet - in einer pharmazeutischen Zusammensetzung folgendermaßen beansprucht:


Beide Rekurse sind berechtigt.
I. Zur Verbindung:
Gemäß § 187 Abs 1 ZPO kann der Senat bei Parteienidentität Verfahren verbinden, wenn dadurch die Kosten und der Aufwand vermindert werden. Die Anwendung dieser Bestimmung ist nicht auf das Verfahren erster Instanz beschränkt (vgl Höllwerth in Fasching / Konecny 3§ 187 ZPO Rz 10 mwN; OLG Wien 33 R 81/23h).
Zwar enthält das hier - gemäß § 7 SchZG iVm§ 139 PatG anwendbare -AußStrG keine Verweisungsnorm, die die unmittelbare Anwendung des § 187 Abs 1 ZPO ermöglichen würde. In Ansehung des Gebots der Verfahrensökonomie bestehen aber zwischen einem streitigen Zivilprozess und einem Verfahren, das die Erteilung eines ergänzenden Schutzzertifikats betrifft, keine wertungsmäßigen Unterschiede, sodass § 187 Abs 1 ZPO hier grundsätzlich analog heranzuziehen ist. Die in dieser Bestimmung normierten Voraussetzungen für eine Verbindung liegen im konkreten Einzelfall vor, weil dieselbe Antragstellerin gleichartige Ansprüche geltend macht und die Argumente in den Entscheidungen des Patentamts und in den Rechtsmitteln der Antragsstellerin übereinstimmen.
II. Zum Inhalt der Rekurse:
1.Gemäß § 1 SchZG 1996 werden Schutzzertifikate, die in Österreich geltende Patente ergänzen, vom Österreichischen Patentamt nach Maßgabe von Verordnungen der Europäischen Gemeinschaft über die Schaffung ergänzender Schutzzertifikate erteilt.
Gemäß Art 3 SchZVO 2009 ist ein ergänzendes Schutzzertifikat zu erteilen, wenn in dem Mitgliedstaat, in dem die Anmeldung eingereicht wird, zum Zeitpunkt dieser Anmeldung
- das Erzeugnis durch ein in Kraft befindliches Grundpatent geschützt ist (lit a);
Rückverweise

Auch in den Ansprüchen 31 und 32 des Grundpatents sind spezifisch beanspruchte Zusammensetzungen des Grundpatents mit anderen Wirkstoffen definiert:

Der in Anspruch 31 des Grundpatents definierte Wirkstoff „Tenofovirdiisoproxyl(fumarat)“ (auch als „Tenofovirdisoproxil(fumarat)“bezeichnet; TDF)

ist wie der Wirkstoff Tenofoviralafenamid(fumarat) (TAF)

ein „Prodrug“ des eigentlichen Wirkstoffes Tenofovir:

also ein inaktiver oder wenig aktiver pharmakologischer Stoff, der erst durch Verstoffwechselung (Metabolisierung) im Organismus in den aktiven Wirkstoff Tenovovir überführt wird.
Chemisch unterscheidet sich Tenofovirdiisoproxyl(fumarat) (TDF) von Tenofoviralafenamid(fumarat) (TAF) durch den Umstand, dass TDF ein Diester-Prodrug ist und TAF ein Phosphonamidat-Prodrug ist, d.h. dass bei TDF die Phosphonatgruppe mit zwei Alkoxycarbonsäuren verestert ist, während bei TAF die Phosphonatgruppe mit einem ArylSubstituenten (einer Phenylgruppe) und einem Aminosäureester maskiert ist.
Tenofoviralafenamid war zum Prioritätsdatum des Grundpatents (2.9.2004) als nukleotidischer Reverse-Transkriptase-Inhibitor mit anti-HIV-Aktivität in der Fachwelt bekannt (./2 bis ./7).
Im Grundpatent wird die Kombination von Rilpivirin gemäß den Ansprüchen 1 und 2 mit anderen Wirkstoffen, insbesondere anderen antiviralen Mitteln in den Absätzen [0104] bis [0106] beschrieben (Hervorhebungen hinzugefügt):

Emtricitabin ist daher im Grundpatent als mit Rilpivirin kombinierbarer NsRTI konkret in [0106] erwähnt; als NtRTIs werden konkret nur „Tenofovir, Tenofovirdiphosphat, Tenofovirdisoproxilfumarat und dergleichen“ erwähnt, nicht allerdings Tenofoviralafenamid oder Tenofoviralafenamidfumarat.
Die Antragstellerin begehrt die Erteilung zweier ergänzender Schutzzertifikate; die Schutzzertifikatsanmeldung SZ 66/2016 bezieht sich auf die Kombination der beiden Wirkstoffe Rilpivirin und Tenofoviralafenamid und SZ 67/2016 auf die Kombination aller drei Wirkstoffe von Odefsey, also Emtricitabin, Rilpivirin und Tenofoviralafenamid. Begründend brachte sie im Wesentlichen jeweils vor, es handle sich um Wirkstoffe und damit um „Erzeugnisse“ iSd Art 1 lit b der Verordnung (EG) 469/2009 des Europäischen Parlaments und des Rates vom 6.5.2019 über das ergänzende Schutzzertifikat für Arzneimittel (in der Folge stets kurz: SchZVO 2009), die durch das Grundpatent geschützt seien. Für diese Erzeugnisse sei die zuvor zitierte Genehmigung erteilt worden. Die Voraussetzungen für die angestrebte Erteilung seien deshalb erfüllt.
Mit den nun angefochtenen Beschlüssen wies die Technische Abteilung diese Anträge zurück. Begründend führte die Behörde im Wesentlichen jeweils aus, die Erzeugnisse erfüllten – unter Zugrundelegung der vom EuGH in seiner Entscheidung C-650/17 entwickelten Grundsätze - die Voraussetzung des Art 3 lit a SchZVO 2009 nicht, weil eine Fachperson keine Veranlassung gehabt hätte, die Kombinationen von Rilpivirinhydrochlorid mit einem nucleosidartigen Inhibitor der reversen Transkriptase (auch z.B. Emtricitabin) bzw. nucleotidartigen Inhibitor der reversen Transkriptase (z.B Tenofovir) als vom Grundpatent geschützt anzusehen. Zum Anmelde- oder Prioritätszeitpunkt hätte eine Fachperson auch keine Veranlassung gehabt, Tenofoviralafenamid, das gleich wie das im Grundpatent erwähnte Tenovirdiisoproxilfumarat ein Prodrug des Tenofovirs darstelle, sich von diesem jedoch strukturell erheblich unterscheide, als vom Grundpatent geschützt anzusehen. Die von der Antragstellerin angestrebten Erteilungen ergänzender Schutzzertifikate kämen deshalb nicht in Betracht.
Dagegen wenden sich die vorliegenden Rekurse der Antragstellerin, die jeweils eine Rechtsrüge enthalten, mit dem Antrag, die bekämpften Entscheidungen dahin abzuändern, dass die begehrten ergänzenden Schutzzertifikate erteilt werden.
- für das Erzeugnis als Arzneimittel eine gültige Genehmigung für das Inverkehrbringen gemäß der Richtlinie 2001/83/EG bzw. der Richtlinie 2001/82/EG erteilt wurde (lit b);
- für das Erzeugnis nicht bereits ein Zertifikat erteilt wurde (lit c); und
- die unter lit b erwähnte Genehmigung die erste Genehmigung für das Inverkehrbringen dieses Erzeugnisses als Arzneimittel ist (lit d).
Die Erteilung eines ergänzenden Schutzzertifikats erfolgt in Österreich ohne Prüfung darüber, ob die in lit c und d normierten Voraussetzungen erfüllt sind, weil der österreichische Gesetzgeber in § 3 Abs 1 SchZG 1996 von der in Art 10 Abs 5 SchZVO 2009 verankerten Ermächtigung Gebrauch gemacht hat, die Erteilung nicht (auch) von der Prüfung dieser beiden Bedingungen abhängig zu machen.
„Erzeugnis“ ist gemäß Art 1 lit b SchZVO 2009 der Wirkstoff oder die Wirkstoffzusammensetzung eines Arzneimittels.
Als „Wirkstoff“ ist ein Stoff einzustufen, der eine eigene pharmakologische, immunologische oder metabolische Wirkung ausübt (EuGH C-631/13, Forsgren , Rz 25).
Eine Kombination von zwei Stoffen, von denen einer ein „Wirkstoff“ im Sinne dieser Bestimmung ist, während der andere, ein Adjuvans (Hilfsstoff), es ermöglicht, diese arzneilichen Wirkungen zu verstärken, jedoch selbst keine eigene arzneiliche Wirkung hat, fällt nicht unter den Begriff „Wirkstoffzusammensetzung“ im Sinne dieser Bestimmung (EuGH C-210/13, Glaxosmithkline Biologicals SA).
Nach Art 3 lit a SchZVO 2009 ist ein aus mehreren Wirkstoffen mit kombinierter Wirkung bestehendes Erzeugnis im Sinne dieser Bestimmung „durch ein in Kraft befindliches Grundpatent geschützt“, wenn sich die Ansprüche des Grundpatents „stillschweigend und notwendigerweise“ auf „die Kombination der Wirkstoffe“, aus denen das Erzeugnis besteht, beziehen und zwar „in spezifischer Art und Weise“, auch wenn sie darin nicht ausdrücklich erwähnt wird (EuGH C-493/12, Eli Lilly ).
Dabei muss aus der Sicht der Fachperson nach dem Stand der Technik bei der Einreichung oder am Prioritätstag des Grundpatents
(1) die Kombination der Wirkstoffe im Licht der Beschreibung und der Zeichnungen des Patents notwendigerweise von der durch das Patent geschützten Erfindung erfasst sein und
(2) jeder der Wirkstoffe im Licht aller durch das Patent offengelegten Angaben spezifisch identifizierbar sein (EuGH C-121/17, Teva ).
Ein Erzeugnis ist dann durch ein in Kraft befindliches Grundpatent im Sinne dieser Bestimmung geschützt, wenn es einer in einem der Ansprüche des Grundpatents verwendeten allgemeinen funktionellen Definition entspricht und notwendigerweise zu der durch dieses Patent geschützten Erfindung gehört, ohne dass es aber individualisiert als konkrete Ausführungsform aus der Lehre des Patents zu entnehmen ist, soweit das Erzeugnis durch einen Fachmann unter Zugrundelegung seiner allgemeinen Kenntnisse in dem betreffenden Bereich am Anmelde- oder am Prioritätstag des Grundpatents und unter Berücksichtigung des Stands der Technik zu diesem Zeitpunkt im Licht aller durch das Patent offengelegten Angaben in spezifischer Weise zu identifizieren ist (EuGH C-650/17, Royalty Pharma ).
Damit ein Erzeugnis als durch das Patent im Sinne dieser Bestimmung geschützt angesehen werden kann, ist es auch erforderlich, dass dieses Erzeugnis aus der Sicht eines Fachmanns und unter Berücksichtigung der Beschreibung und der Zeichnungen dieses Patents zwangsläufig unter die Erfindung fällt, die am Anmelde- oder Prioritätstag von diesem Patent erfasst wird (EuGH C-119/22 und C-149/22, Merck ).
2. Aus dem hier zugrunde liegenden Sachverhalt ergibt sich unter Anwendung der soeben dargestellten Grundsätze, dass die zu beurteilenden Wirkstoffzusammensetzungen aufgrund ihrer pharmakologischen Wirkung als „Wirkstoffe“ iSd Art 1 lit b SchZVO 2009 und damit als „Erzeugnisse“ gemäß Art 3 lit a und b SchZVO 2009 einzustufen sind. Das gilt auch im Hinblick auf die vom EuGH in der Entscheidung C-650/17, Royalty Pharma , formulierte Anforderung, wonach das Erzeugnis „einer in einem der Ansprüche des Grundpatents verwendeten allgemeinen funktionellen Definition entspricht und notwendigerweise zu der durch dieses Patent geschützten Erfindung gehört“, wenn in [0106] des Grundpatents konkret die allgemeine funktionelle Definition „NtRTIs“ als Kombinationsmöglichkeit erwähnt wird und insbesondere die noch konkretere Angabe spezifischer NtRTIs, also „Tenofovir, Tenofovirdiphosphat, Tenofovirdisoproxilfumarat und dergleichen“, in die die Fachperson zum Prioritätszeitpunkt des Grundpatents Tenofoviralafenamid einschließen hätte können, ohne dass Tenofoviralafenamid individualisiert als konkrete Ausführungsform aus der Lehre des Grundpatents zu entnehmen war.
Obwohl Tenofoviralafenamid im Grundpatent nicht ausdrücklich erwähnt wird, ist es daher im Lichte des Standes der Technik als Wirkstoff, der in einer Kombination enthalten sein kann, die unter die Erfindung des Grundpatents falle, spezifisch identifizierbar (EuGH C-650/17, Royalty Pharma; C-493/12, Eli Lilly ).
Demgemäß ist somit sowohl die Kombination der Wirkstoffe im Licht der Beschreibung und der Zeichnungen des Patents notwendigerweise von der durch das Grundpatent geschützten Erfindung erfasst als auch jeder der Wirkstoffe im Licht aller durch das Patent offengelegten Angaben spezifisch identifizierbar (EuGH C-121/17, Teva ).
Ebenso ist mit diesen Hinweisen in [0106] im Grundpatent auch das Erfordernis erfüllt, dass diese Erzeugnisse aus der Sicht eines Fachmanns und unter Berücksichtigung der Beschreibung und der Zeichnungen dieses Patents zwangsläufig unter die Erfindung fallen, die am Anmelde- oder Prioritätstag von diesem Patent erfasst wird (EuGH C-119/22 und C-149/22, Merck ).
Diese Erzeugnisse fallen daher nicht nur in den Schutzbereich des verfahrensgegenständlichen Grundpatents, sondern sind auch durch die Ansprüche des Grundpatents „geschützt“ iSd Art 3 lit a SchZVO 2009 (iSv EuGH C-322/10, Medeva ; C-493/12, Eli Lilly ; C-121/17, Teva; C-650/17, Royalty Pharma; C-119/22 und C-149/22, Merck ). Darüber hinaus wurde für diese Erzeugnisse als Arzneimittel (nämlich für das Arzneimittel „Odefsey“) eine den europarechtlichen Vorgaben entsprechende Genehmigung für das Inverkehrbringen erteilt. Die in Art 3 lit a und b SchZVO 2009 normierten Voraussetzungen sind damit erfüllt. Der Antragstellerin werden deshalb die angestrebten ergänzenden Schutzzertifikate in Stattgebung ihrer beiden Rekurse erteilt (Spruchpunkte II. 1.a. und 2.a.).
3. Die vom Rekursgericht festgesetzten Fristen (Spruchpunkte II. 1.b. und 2.b.) ergeben sich aus Art 13 Abs 1 und 2 SchZVO 2009:
Zwischen der Einreichung der Anmeldung des Grundpatents (2.9.2005) und dem Zeitpunkt der ersten Genehmigung für das Inverkehrbringen in der Gemeinschaft (23.6.2016; siehe zur Maßgeblichkeit dieses Zustelldatums EuGH C-471/14 , Seattle Genetics Inc ) sind 10 Jahre, 9 Monate und 21 Tage verstrichen. Nach dem gebotenen Abzug von 5 Jahren verbleiben 5 Jahre, 9 Monate und 21 Tage. Ab dem Ablauf der gesetzlichen Laufzeit des Grundpatents (also beginnend mit 3.9.2025) gerechnet ergibt sich als vorläufiger Endzeitpunkt der 24.6.2031. Da die Laufzeit jedes Zertifikats höchstens 5 Jahre vom Zeitpunkt seines Wirksamwerdens (hier 3.9.2025) an beträgt, ist es aber nicht bis zu diesem Tag zu gewähren, sondern bis zum Ablauf des 3.9.2030 zu befristen.
4.Angesichts der hohen ökonomischen Bedeutung des Schutzes von Forschungsergebnissen, die im pharmazeutischen Bereich erzielt werden, ist gemäß § 59 Abs 2 AußStrG (iVm § 7 SchZG 1996 und § 139 PatG) auszusprechen, dass der Wert des Entscheidungsgegenstands jeweils EUR 30.000 übersteigt.
5.Der ordentliche Revisionsrekurs ist mangels erheblicher Rechtsfragen iSd § 62 Abs 1 AußStrG (iVm § 7 SchZG 1996 und § 139 PatG) jeweils nicht zulässig.
Keine Verweise gefunden