Maßbehältnis-Flaschen
§ 2(1) Die zulässigen Abweichungen vom Nennvolumen si
§ 3Der Hersteller darf das folgende Zeichen nur auf M
§ 4(1) Maßbehältnis-Flaschen müssen leicht erkennbar,
§ 5Der Hersteller ist dafür verantwortlich, daß die M
§ 6(1) Die Prüfung der Übereinstimmung der Ausführung
§ 7Fertigpackungen
§ 8(1) Die „Nennfüllmenge“ Q n („Nenngewicht“ oder „N
§ 9(1) Die zulässige Minusabweichung von der Nennfüll
§ 10(1) Der Hersteller darf das folgende Zeichen nur a
§ 11(1) Fertigpackungen müssen leicht erkennbar, deutl
§ 12(1) Der Hersteller oder der Importeur ist dafür ve
§ 13(1) Die Prüfung der Übereinstimmung der Fertigpack
§ 14Verbindliche Werte für Nennfüllmengen und Behältnisvolumen von Fertigpackungen
§ 15(1) Bei Sammelpackungen aus zwei oder mehr Einzelf
§ 16Aerosolpackungen
§ 17Gemeinsame Bestimmungen
§ 18Für die entnommenen Fertigpackungen ist für die ze
Anl. 1Anhang 1
Anl. 2Anhang 2
Anl. 3Wertereihen für Nennfüllmengen von Fertigpackungen (Angabe der Menge in Milliliter)
Anl. 4Art. 1
(Anm.: aus BGBl. II Nr. 211/2001 zu BGBl. Nr. 867/
Vorwort
(1) Maßbehältnis-Flaschen sind Behältnisse aus Glas oder anderen Werkstoffen mit einer Formsteifigkeit, die dieselben meßtechnischen Garantien zuläßt wie Glas, sofern
1. sie, verschlossen oder verschließbar, zur Aufbewahrung, Beförderung oder Lieferung von Flüssigkeiten bestimmt sind;
2. ihr Nennvolumen nicht weniger als 0,05 Liter und nicht mehr als 5 Liter beträgt;
3. sie solche meßtechnischen Eigenschaften besitzen (Form und Gleichmäßigkeit der Herstellung), daß sie bei der Füllung bis zu einer bestimmten Höhe oder bis zu einem bestimmten Prozentsatz ihres Randvollvolumens die Messung ihres Inhalts mit einer ausreichenden Genauigkeit gestatten.
(2) Das „Nennvolumen“ V n ist das auf der Maßbehältnis-Flasche angegebene Flüssigkeitsvolumen, das sie enthalten soll, wenn sie unter normalen Verwendungsbedingungen gefüllt wird.
(3) Das „Randvollvolumen“ einer Maßbehältnis-Flasche ist das Flüssigkeitsvolumen, das sie enthält, wenn sie bis zur oberen Randebene gefüllt ist.
(4) Das „tatsächliche Füllvolumen“ oder „Füllvolumen“ einer Maßbehältnis-Flasche ist das Flüssigkeitsvolumen, das sie bei genauer Einhaltung der theoretischen Füllbedingungen für das Erreichen des Nennvolumens tatsächlich enthält.
(5) Der „Leerraum“ einer Maßbehältnis-Flasche ist die Differenz zwischen dem Randvollvolumen und dem Nennvolumen.
(1) Die zulässigen Abweichungen vom Nennvolumen sind in der nachstehenden Tabelle festgelegt:
| Nennvolumen V n | Zulässige Abweichungen (Plus und Minus) | ||||
| Milliliter | in % von V n | in Milliliter | |||
| 50 | bis | 100 | – | 3 | |
| 100 | bis | 200 | 3 | – | |
| 200 | bis | 300 | |||
Der Hersteller darf das folgende Zeichen nur auf Maßbehältnis-Flaschen anbringen, die dieser Verordnung entsprechen:
![]()
Anhänge
image001.pngPNG(1) Maßbehältnis-Flaschen müssen leicht erkennbar, deutlich lesbar und unverwischbar folgende Angaben tragen:
1. Auf dem Mantel, an der Bodennaht oder am Boden
a) das Nennvolumen, ausgedrückt in den Einheiten Liter, Zentiliter oder Milliliter unter Verwendung von Ziffern, gefolgt vom Einheitenzeichen oder gegebenenfalls dem Namen der verwendeten Einheit gemäß § 2 MEG;
b) Die Ziffernhöhen zur Angabe des Nennvolumens sind wie folgt festgelegt:
| bis | 20 cl | mindestens 3 mm | |
| 20 cl | bis | 100 cl | mindestens 4 mm |
| 100 cl | mindestens 6 mm | ||
Der Hersteller ist dafür verantwortlich, daß die Maßbehältnis-Flaschen dieser Verordnung entsprechen. Die Messungen oder die Kontrollen sind nach den allgemein anerkannten Regeln der statistischen Qualitätskontrolle mit geeichten und für den vorgesehenen Verwendungszweck geeigneten Meßgeräten vorzunehmen. Die Ergebnisse der Überprüfung sind entsprechend den allgemein anerkannten Regeln der statistischen Qualitätskontrolle aufzuzeichnen und mindestens fünf Jahre lang aufzubewahren.
(1) Die Prüfung der Übereinstimmung der Ausführung von Maßbehältnis-Flaschen mit dieser Verordnung wird von den Eichbehörden durch Stichproben beim Hersteller oder, wenn dies praktisch nicht durchführbar ist, beim Importeur oder seinem Beauftragten nach der in Anhang 1 beschriebenen Methode vorgenommen.
(2) Die Unterlagen über das Ergebnis der Messungen oder Kontrollen nach § 5 Abs. 1 sind der Eichbehörde zur Verfügung zu stellen. Die Eichbehörde kontrolliert, ob die notwendigen Aufzeichnungen geführt und die sich als erforderlich erweisenden Berichtigungen und Anpassungen regelmäßig und ordnungsgemäß durchgeführt worden sind.
(1) Die Bestimmungen dieses Abschnittes gelten für Fertigpackungen, in denen Erzeugnisse in konstanten, einheitlichen Nennfüllmengen in den Verkehr gebracht werden sollen, die
a) bestimmten, vom Hersteller im voraus festgelegten Werten entsprechen,
b) in Gewichts- oder Volumeneinheiten ausgedrückt werden,
c) nicht kleiner als 5 g oder 5 ml und nicht größer als 10 kg oder 10 l sind.
(2) Die Bestimmungen dieses Abschnittes gelten nicht
1. für Erzeugnisse nach Anhang 3, die in Duty-free-Geschäften für den Verzehr außerhalb der Europäischen Union verkauft werden;
2. für Fertigpackungen, die ausschließlich für die Ausfuhr in Länder außerhalb der Europäischen Union und des Europäischen Wirtschaftsraumes bestimmt sind und nicht das Zeichen nach § 10 Abs. 1 tragen;
3. für als solche gekennzeichnete Gratisproben;
4. für geeichte formbeständige Behältnisse;
5. für Erzeugnisse, die an Letztverbraucher abgegeben werden, die das Erzeugnis in ihrer selbstständigen beruflichen oder gewerblichen Tätigkeit verwenden, und für die in dieser Verordnung keine verbindlichen Werte festgelegt sind.
(1) Die „Nennfüllmenge“ Q n („Nenngewicht“ oder „Nennvolumen“) einer Fertigpackung ist das auf dieser Fertigpackung angegebene Gewicht oder Volumen. Es ist die Erzeugnismenge, die die Fertigpackung enthalten soll.
(2) Die „Füllmenge“ einer Fertigpackung ist die Erzeugnismenge, die sie tatsächlich enthält.
(3) Die „Minusabweichung“ einer Fertigpackung ist die Erzeugnismenge, um die die Füllmenge unter der Nennfüllmenge der betreffenden Fertigpackung liegt.
(4) Die „Mindestfüllmenge“ einer Fertigpackung errechnet sich aus der Nennfüllmenge verringert um die maximale Minusabweichung. Die Mindestfüllmenge ist die Erzeugnismenge, die in einer Fertigpackung enthalten sein muß, um nicht als fehlerhafte Packung zu gelten.
(1) Die zulässige Minusabweichung von der Nennfüllmenge ist wie folgt festgelegt:
| Nennfüllmenge Q n | Zulässige Minusabweichungen | ||
| Milliliter oder Gramm | in % von Q n | in Milliliter oder Gramm | |
| 5 bis | 50 | 9 | – |
| 50 bis | 100 | – | 4,5 |
| 100 bis | 200 | 4,5 | – |
| 200 bis | 300 | – | 9 |
| 300 bis | 500 | ||
(1) Der Hersteller darf das folgende Zeichen nur auf Fertigpackungen anbringen, die dieser Verordnung entsprechen und die nicht kleiner als 5 ml oder 5 g und nicht größer als 10 l oder 10 kg sind. Dieses Zeichen bezieht sich nur auf die Nennfüllmenge.
![]()
(2) Eine Fertigpackung, deren Minusabweichung die nach § 9 Abs. 1 festgelegten Werte um mehr als das Doppelte überschreitet, darf nicht mit dem Zeichen nach Abs. 1 versehen und nicht in den Verkehr gebracht werden.
Anhänge
image001.pngPNG(1) Fertigpackungen müssen leicht erkennbar, deutlich lesbar und unverwischbar folgende Angaben tragen:
1. Die Nennfüllmenge (Nenngewicht oder Nennvolumen), ausgedrückt in den Einheiten Kilogramm oder Gramm, Liter, Zentiliter oder Milliliter unter Verwendung von Ziffern, gefolgt vom Einheitenzeichen oder gegebenenfalls dem Namen der verwendeten Einheit gemäß § 2 MEG, wobei die Ziffernhöhen zur Angabe der Nennfüllmenge wie folgt festgelegt sind:
| Packungsgröße in | Mindestschriftgröße in Millimeter | |||||||
| Gramm | Zentiliter | |||||||
| bis | 50 | bis | 5 | 2 | ||||
(1) Der Hersteller oder der Importeur ist dafür verantwortlich, daß die Fertigpackungen den Vorschriften dieser Verordnung entsprechen. Die in einer Fertigpackung enthaltene Füllmenge muß nach Gewicht oder Volumen gemessen oder kontrolliert werden. Die Messungen oder die Kontrollen sind nach den allgemein anerkannten Regeln der statistischen Qualitätskontrolle mit geeichten und für den vorgesehenen Verwendungszweck geeigneten Meßgeräten vorzunehmen. Die Ergebnisse sind entsprechend den allgemein anerkannten Regeln der statistischen Qualitätskontrolle aufzuzeichnen, haben mindestens das Erzeugnis nach Art und Nennfüllmenge, das Gewicht der Umhüllung, den Stichprobenumfang und das Ergebnis, den Zeitpunkt der Prüfung und eine Identifikation des Prüfers zu enthalten, und sind mindestens fünf Jahre lang aufzubewahren.
(2) Wird die Füllmenge nicht gemessen, so muß der Hersteller die Kontrolle in einer Weise durchführen, daß die Füllmenge tatsächlich den angegebenen Wert hat. Dazu hat der Hersteller nach einem vom Bundesamt für Eich- und Vermessungswesen anerkannten Verfahren bei der Herstellung eine entsprechende Kontrolle vorzunehmen.
(3) Bei der Einfuhr kann der Importeur anstelle einer Messung oder einer Kontrolle auch den Nachweis erbringen, daß er über hinreichende Garantien verfügt, um seine Verantwortung übernehmen zu können. Die Eichbehörde hat diese Angaben zu überprüfen und zu bewerten.
(4) Die Kontroll- oder Meßvorschriften gelten ebenfalls als erfüllt, wenn bei der Herstellung der Fertigpackung Maßbehältnis-Flaschen verwendet und entsprechend gefüllt werden.
(1) Die Prüfung der Übereinstimmung der Fertigpackungen mit den Vorschriften dieser Verordnung wird von der Eichbehörde stichprobeweise beim Hersteller oder, wenn dies praktisch undurchführbar ist, beim Importeur oder seinem Beauftragten nach der in Anhang 2 beschriebenen Methode vorgenommen. Ist die Prüfung bei diesen Stellen nicht möglich, so kann sie auch in allen Stufen des Handels erfolgen.
(2) Die Unterlagen über das Ergebnis der Messungen oder Kontrollen nach § 12 Abs. 1 und 2 sind der Eichbehörde zur Verfügung zu stellen. Die Eichbehörde kontrolliert, ob die notwendigen Aufzeichnungen geführt und die sich als erforderlich erweisenden Berichtigungen und Anpassungen regelmäßig und ordnungsgemäß durchgeführt worden sind.
Fertigpackungen mit den in Anhang 3 genannten Erzeugnissen dürfen nur in den Verkehr gebracht werden, wenn die Nennfüllmenge innerhalb des aufgeführten Füllmengenbereiches einem der zugeordneten Werte entspricht. Dabei gelten für die Erzeugnisse des Anhanges 3 die Begriffsbestimmungen des Anhanges 4.
(1) Bei Sammelpackungen aus zwei oder mehr Einzelfertigpackungen gelten die im Anhang 3 aufgeführten Nennfüllmengen für jede Einzelfertigpackung.
(2) Bei Fertigpackungen aus zwei oder mehr nicht zum Einzelverkauf bestimmten Einzelpackungen gelten die im Anhang 3 aufgeführten Nennfüllmengen für die Fertigpackung.
(1) Auf Aerosolpackungen ist das Gesamtfassungsvermögen der Packung anzugeben. Die Angabe ist so zu gestalten, dass sie nicht mit der Angabe des Nennvolumens des Inhalts verwechselt werden kann.
(2) In Aerosolpackungen verkaufte Erzeugnisse brauchen nicht mit dem Nenngewicht des Inhalts gekennzeichnet werden.
Bei der Prüfung der Lose nach den Bestimmungen der Anhänge 1 und 2 sind beanstandete Lose von der Eichbehörde so zu markieren, daß ein Inverkehrbringen nicht mehr möglich ist.
Für die entnommenen Fertigpackungen ist für die zerstörende Prüfung auf Antrag dann eine Entschädigung in der Höhe des nachzuweisenden Gestehungspreises zu bezahlen, wenn die Kontrolle durch die Eichbehörde zu keiner Beanstandung geführt hat.
Die Prüfmethode der Eichbehörde gemäß § 6 wird wie folgt festgelegt:
Es wird eine Stichprobe von Maßbehältnis-Flaschen desselben Musters und derselben Herstellung aus einem Los entnommen, das grundsätzlich der Produktion einer Stunde entspricht.
Ist das Ergebnis dieser Prüfung nicht zufriedenstellend, so ist eine zweite Prüfung vorzunehmen. Diese kann entweder bei einer weiteren Stichprobe, die einem Los entnommen worden ist, das der Produktion eines längeren Zeitraums entspricht, oder an Hand der Ergebnisse auf den Kontrollkarten des Herstellers, wenn die Produktion des Unternehmens einer vom Bundesamt für Eich- und Vermessungswesen anerkannten Kontrolle unterzogen worden ist, vorgenommen werden.
Die Anzahl der Maßbehältnis-Flaschen der Stichprobe beträgt 35.
Die Maßbehältnis-Flaschen werden leer gewogen.
Sie werden mit Wasser von bekannter Dichte mit einer Temperatur von 20 ºC bis zu der zu überprüfenden Füllhöhe gefüllt.
Sie werden voll gewogen.
Die Kontrolle ist mit einem geeichten und für den Verwendungszweck geeigneten Meßgerät vorzunehmen. Die Unsicherheit in der Messung des Volumens darf höchstens 1/5 der Fehlergrenzen für das Nennvolumen der Maßbehältnis-Flaschen betragen.
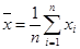
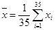
Zu berechnen sind:
Der Mittelwert
nach der folgenden Formel:
Die Prüfmethode der Eichbehörde gemäß § 13 wird wie folgt festgelegt:
Die Ermittlung der Füllmenge der Fertigpackungen hat entweder unmittelbar mit Hilfe von Waagen oder Volumenmeßgeräten oder, wenn es sich um eine Flüssigkeit handelt, mittelbar durch Wägung des Füllgutes und Messung von dessen Dichte zu erfolgen. Unabhängig von der verwendeten Methode darf der Fehler bei der Messung der Füllmenge einer Fertigpackung höchstens ein Fünftel der zulässigen Minusabweichung der Nennfüllmenge betragen.
Die Fertigpackungen werden stichprobenweise geprüft. Die Stichprobenprüfung umfaßt zwei Teile:
Die Prüfung, die sich auf die Füllmenge jeder einzelnen Fertigpackung der Stichprobe erstreckt sowie die Prüfung, die sich auf den Mittelwert der Füllmenge aller Fertigpackungen der Stichprobe erstreckt.
Ein Los von Fertigpackungen entspricht, wenn die Ergebnisse beider Prüfungen den Annahmekriterien entsprechen.
Für jede der beiden Prüfungen werden zwei Stichprobenpläne vorgesehen, die wie folgt zu verwenden sind:
Stichprobenpläne für die nicht zerstörende Prüfung (keine Öffnung der Fertigpackung) sowie
Stichprobenpläne für die zerstörende Prüfung (Öffnung und Zerstörung der Fertigpackung).
Die zerstörende Prüfung ist nur dann zulässig, wenn eine nicht zerstörende Prüfung praktisch nicht möglich ist. Sie ist bei Losen mit weniger als 100 Fertigpackungen nicht anzuwenden.
| Stiller Wein | Im Füllmengenbereich zwischen 100 ml und 1500 ml sind ausschließlich die acht nachstehenden Nennfüllmengen zulässig: ml: 100 — 187 — 250 — 375 — 500 — 750 — 1000 — 1500 |
| Gelbwein | Im Füllmengenbereich zwischen 100 ml und 1500 ml ist ausschließlich die nachstehende Nennfüllmenge zulässig: ml: 620 |
| Schaumwein | Im Füllmengenbereich zwischen 125 ml und 1500 ml sind ausschließlich die fünf nachstehenden Nennfüllmengen zulässig: ml: 125 — 200 — 375 — 750 — 1500 |
| Likörwein | Im Füllmengenbereich zwischen 100 ml und 1500 ml sind ausschließlich die sieben nachstehenden Nennfüllmengen zulässig: ml: 100 — 200 — 375 — 500 — 750 — 1000 — 1500 |
| Aromatisierter Wein | Im Füllmengenbereich zwischen 100 ml und 1500 ml sind ausschließlich die sieben nachstehenden Nennfüllmengen zulässig: ml: 100 — 200 — 375 — 500 — 750 — 1000 — 1500 |
| Spirituosen | Im Füllmengenbereich zwischen 100 ml und 2000 ml sind ausschließlich die neun nachstehenden Nennfüllmengen zulässig: ml: 100 — 200 — 350 — 500 — 700 — 1000 — 1500 — 1750 — 2000 |
| Stiller Wein | Wein im Sinne von Anhang IV, Punkte 1, 15 oder 16 der Verordnung (EG) Nr. 479/2008 des Rates über die gemeinsame Marktorganisation für Wein, ABl. Nr. L 148 vom 06.06.2008 S. 1 (KN-Code ex 2204). |
| Gelbwein | Wein im Sinne von Anhang IV, Punkte 1, 15 oder 16 der Verordnung (EG) Nr. 479/2008 des Rates über die gemeinsame Marktorganisation für Wein, ABl. Nr. L 148 vom 06.06.2008 S. 1 (KN-Code ex 2204) mit der Ursprungsbezeichnung „Côtes du Jura“, „Arbois“, „L’Etoile“ und „Château-Chalon“ in Flaschen im Sinne von Anhang I Nummer 3 der Verordnung (EG) Nr. 753/2002 der Kommission mit Durchführungsbestimmungen zur Verordnung (EG) Nr. 1493/1999 des Rates hinsichtlich der Beschreibung, der Bezeichnung, der Aufmachung und des Schutzes bestimmter Weinbauerzeugnisse, ABl. Nr. L 118 vom 4.5.2002, S. 1, in der Fassung der Verordnung (EG) Nr. 382/2007, ABl. Nr. L 95 vom 5.4.2007, S. 12. |
| Schaumwein | Wein im Sinne von Anhang IV, Punkte 4, 5, 6, 7, 8 oder 9 der der Verordnung (EG) Nr. 479/2008 des Rates über die gemeinsame Marktorganisation für Wein, ABl. Nr. L 148 vom 06.06.2008 S. 1 (KN-Code 2204 10). |
| Likörwein | Wein im Sinne von Anhang IV, Punkt 3 der der Verordnung (EG) Nr. 479/2008 des Rates über die gemeinsame Marktorganisation für Wein, ABl. Nr. L 148 vom 06.06.2008 S. 1 (KN-Code 2204 21 – 2204 29). |
| Aromatisierter Wein | Aromatisierter Wein im Sinne von Artikel 2 Absatz 1 Buchstabe a der Verordnung (EWG) Nr. 1601/91 des Rates zur Festlegung der allgemeinen Regeln für die Begriffsbestimmung, Bezeichnung und Aufmachung aromatisierten Weines, aromatisierter weinhaltiger Getränke und aromatisierter weinhaltiger Cocktails, ABl. Nr. L 149 vom 14.6.1991, S. 1, in der Fassung der Beitrittsakte von 2005 (KN-Code 2205). |
Die Fertigpackungsverordnung 1993, BGBl. Nr. 867/1993, zuletzt geändert durch die Verordnung BGBl. II Nr. 139/1997, wird wie folgt geändert:
1. bis 10.: (Anm.: betrifft die Änderungen der Fertigpackungsverordnung 1993)
Diese Verordnung wurde unter Einhaltung der Bestimmungen der Richtlinie 98/34/EG ABl. Nr. L 204/37 vom 21. Juli 1998 in der Fassung der Richtlinie 98/48/EG ABl. Nr. L 217/18 vom 5. August 1998 notifiziert (Notifikationsnummer 2000/329/A).
| – |
| 6 |
| 300 | bis | 500 | 2 | – |
| 500 | bis | 1 000 | – | 10 |
| 1 000 | bis | 5 000 | 1 | – |
(2) Die Fehlergrenzen für das Randvollvolumen sind gleich den Fehlergrenzen für das Nennvolumen.
(3) Die systematische Ausnutzung der nach Abs. 1 festgelegten Fehlergrenzen ist unzulässig.
(4) Der Abstand zwischen der theoretischen Füllhöhe beim Nennvolumen und der oberen Randebene sowie der Leerraum muß für alle Flaschen desselben Musters (alle nach der gleichen Zeichnung hergestellten Flaschen) annähernd konstant sein.
(5) Alle Fehlergrenzen und Volumenangaben beziehen sich auf eine Temperatur von 20 ºC.
c) ein vom Bundesamt für Eich- und Vermessungswesen zugelassenes Herstellerzeichen;
d) das Zeichen gemäß § 3 in der Mindesthöhe von 3 mm.
2. Am Flaschenboden oder an der Bodennaht, und zwar so, daß keine Verwechslung mit den Angaben nach Z 1 möglich ist, in Zahlen von der gleichen Mindesthöhe wie bei der Angabe des entsprechenden Nennvolumens, entsprechend dem (den) Füllverfahren (Füllung bei konstantem Füllvolumen oder Füllung bei konstanter Füllhöhe), für das die Flasche vorgesehen ist:
a) die Angabe des Randvollvolumens in Zentilitern, jedoch ohne das Einheitenzeichen „cl“ und/oder
b) die Angabe des Abstands in Millimetern von der oberen Randebene bis zur theoretischen Füllhöhe beim Nennvolumen mit dem Einheitenzeichen „mm“.
(2) Andere Angaben können auf der Maßbehältnis-Flasche angebracht werden, wenn die Gefahr einer Verwechslung mit den Angaben nach Abs. 1 ausgeschlossen ist.
| – |
| 500 bis | 1 000 | – | 15 |
| 1 000 bis | 10 000 | 1,5 | – |
Bei der Anwendung dieser Tabelle sind berechnete Werte, die in Prozent anzugeben sind, auf Zehntelgramm oder Zehntelmilliliter aufzurunden.
(2) Die Füllmenge darf im Mittel nicht niedriger sein als die Nennfüllmenge.
(3) Der Anteil der Fertigpackungen, deren Minusabweichung die in Abs. 1 angegebenen Grenzen überschreitet, muß so niedrig sein, daß das Los von Fertigpackungen den in Anhang 2 festgelegten Vorschriften entspricht.
(4) Bei der Angabe der Nennfüllmenge in Volumeneinheiten gilt als Bezugstemperatur 20 ºC (ausgenommen tiefgekühlte oder gefrorene Erzeugnisse).
| bis |
| 200 |
| 5 |
| bis |
| 20 |
| 3 |
| 200 | bis | 1 000 | 20 | bis | 100 | 4 |
| 1 000 | 100 | 6 |
2. ein Zeichen oder eine Aufschrift zur Feststellung des Herstellers oder des Importeurs.
(2) Andere als die im Anhang 3 genannten Erzeugnisse müssen, soweit nicht entgegen gesetzte Handelsbräuche bestehen, bei flüssigem Inhalt die Angabe des Nennvolumens und bei anderem Inhalt die Angabe ihres Nenngewichtes auf der Fertigpackung tragen.
(3) Wird das Zeichen nach § 10 Abs. 1 auf der Fertigpackung angebracht, so muß dieses im gleichen Sichtbereich wie die Angabe der Nennfüllmenge liegen und mindestens 3 mm hoch sein.
(4) Werden als Verpackung Maßbehältnis-Flaschen verwendet, auf denen bei der handelsüblichen Darbietungsform der Fertigpackung das Nennvolumen sichtbar angegeben ist, so ist eine weitere Angabe des Nennvolumens gemäß Abs. 1 nicht erforderlich.
![]()
wobei x i die jeweils gemessenen Volumen der 35 Maßbehältnis-Flaschen der Stichprobe darstellen.
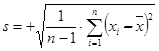
Die Standardabweichung s der gemessenen Volumen der Stichprobe nach folgender Formel:

Weiters sind die obere Toleranzgrenze T o (Summe aus dem Nennvolumen und der Fehlergrenze für dieses Volumen) sowie die untere Toleranzgrenze T u (Differenz zwischen dem Nennvolumen und der Fehlergrenze für dieses Volumen) zu berechnen.
Das Los wird als vorschriftsmäßig im Sinne der Verordnung angesehen, wenn die Werte für den Mittelwert und die Standardabweichung gleichzeitig folgende drei Ungleichungen erfüllen:

| 2.1.1. | Das Los besteht aus der Gesamtmenge der Fertigpackungen gleicher Füllmenge, gleichen Musters und der gleichen Herstellung, die am selben Ort abgefüllt werden und die Gegenstand der Prüfung sind. Ihre Wirkung ist auf die nachstehend festgelegten Werte begrenzt. |
| 2.1.2. | Werden die Fertigpackungen am Schluß des Abfüllvorganges geprüft, so entspricht der Umfang des Loses der maximalen Stundenleistung der Abfüllanlage, und zwar ohne Begrenzung des Losumfanges. In den übrigen Fällen ist die Stückzahl des Loses auf 10 000 Fertigpackungen begrenzt. |
| 2.1.3. | Bei Losen mit weniger als 100 Fertigpackungen erstreckt sich die nicht zerstörende Prüfung gegebenenfalls auf 100% des Losumfanges. |
| 2.1.4. | Für die unter den Nummern 2.2. und 2.3. vorgesehenen Prüfungen muß eine ausreichende Anzahl von Fertigpackungen dem Los in zufälliger Reihenfolge entnommen werden, damit die Prüfung durchgeführt werden kann, die die meisten Stichproben erfordert. Für die weitere Prüfung werden die erforderlichen Stichproben der ersten Stichprobe in zufälliger Reihenfolge entnommen und gekennzeichnet. Diese Kennzeichnung muß vor Beginn der Messungen erfolgt sein. |
Die zulässige Mindestfüllmenge ergibt sich durch Abzug der zulässigen Minusabweichung von der Nennfüllmenge der Fertigpackung. Die Fertigpackungen eines Loses, deren tatsächliche Füllmenge geringer ist als die zulässige Mindestfüllmenge, werden als fehlerhaft bezeichnet.
Die nicht zerstörende Prüfung wird nach einem Doppelprüfplan durchgeführt, der in der nachstehenden Tabelle festgelegt ist:
Die erste Anzahl der geprüften Fertigpackungen muß mit dem im Plan angegebenen Umfang der ersten Stichprobe übereinstimmen:
Ist die Anzahl der fehlerhaften Fertigpackungen der ersten Stichprobe gleich der ersten Annahmezahl oder kleiner, so wird das Los für diese Prüfung als annehmbar angesehen. Ist die Anzahl der fehlerhaften Fertigpackungen der ersten Stichprobe gleich der ersten Ablehnungszahl oder größer, so wird das Los abgelehnt.
Liegt die Anzahl der fehlerhaften Fertigpackungen der ersten Stichprobe zwischen der ersten Annahmezahl und der ersten Ablehnungszahl, so ist eine zweite Stichprobe zu untersuchen, deren Umfang im Plan angegeben ist.
Die jeweilige Anzahl der fehlerhaften Fertigpackungen der ersten und zweiten Stichprobe ist zu kumulieren:
Ist die kumulierte Anzahl der fehlerhaften Fertigpackungen gleich der zweiten Annahmezahl oder kleiner, so wird das Los für diese Prüfung als annehmbar angesehen.
Ist die kumulierte Anzahl der fehlerhaften Fertigpackungen gleich der zweiten Ablehnungszahl oder größer, so ist das Los abzulehnen.
| Losumfang | Stichprobe | Anzahl der fehlerhaften Fertigpackungen | |||
| Reihenfolge | Umfang | kumulierter Umfang | Annahme-zahl | Ablehnungs-zahl | |
| 100-500 | 1. | 30 | 30 | 1 | 3 |
| 2. | 30 | 60 | 4 | 5 | |
| 501-3 200 | 1. | 50 | 50 | 2 | 5 |
| 2. | 50 | 100 | 6 | 7 | |
| 3 201 und mehr | 1. | 80 | 80 | 3 | 7 |
| 2. | 80 | 160 | 8 | 9 | |
2.2.2. Zerstörende Prüfung
Die zerstörende Prüfung wird gemäß dem nachstehenden Einfachprüfplan durchgeführt und darf nur bei Losen verwendet werden, deren Anzahl gleich 100 oder größer ist.
Die Anzahl der geprüften Fertigpackungen beläuft sich auf 20.
Ist die Anzahl der fehlerhaften Fertigpackungen der Stichprobe gleich der Annahmezahl oder kleiner, so wird das Los als annehmbar angesehen.
Ist die Anzahl der fehlerhaften Fertigpackungen der Stichprobe gleich der Ablehnungszahl oder größer, so wird das Los abgelehnt.
| Losumfang | Stichprobe | Anzahl der fehlerhaften Fertigpackungen | |
| Umfang | Annahme- zahl | Ablehnungs- zahl | |
| unabhängig vom Umfang (größer oder gleich 100)…… | 20 | 1 | 2 |
Zu berechnen sind:
Der Mittelwert
nach folgender Formel:
![]()
wobei x i die jeweils gemessenen Füllmengen der n Stichproben darstellen.
Die Standardabweichung s der gemessenen Füllmengen der Stichprobe nach folgender Formel:

Die Bestimmungen gelten als erfüllt, wenn folgende Bedingungen eingehalten werden:
Zahl für die nicht zerstörende Prüfung:
| Losumfang | Stichprobe | Annahmezahl | ||
| Reihen-folge | Umfang | kumulierter Umfang | ||
| 100-500 | 1. | 30 | 30 | |
| 2. | 30 | 60 | ||
| 501-3 200 | 1. | 50 | 50 | |
| 2. | 50 | 100 | ||
| 3 201 und mehr | 1. | 80 | 80 | |
| 2. | 80 | 160 | ||
Zahl für die zerstörende Prüfung:
| Losumfang | Stichproben-umfang | Annahmezahl |
| unabhängig vom Umfang (größer oder gleich 100) | 20 | |
| Spirituosen | Spirituosen im Sinne von Artikel 2(1) und 2(2) der Verordnung (EWG) Nr. 110/2008 des europäischen Parlamentes und des Rates zur Begriffsbestimmung, Bezeichnung, Aufmachung und Etikettierung von Spirituosen sowie zum Schutz geografischer Angaben für Spirituosen, ABl. Nr. L 39, 13.2.2008 S. 1 (KN-Code 2208). |
Die in der Tabelle angeführten Nummern nach „KN-Code“ entsprechen der Verordnung (EWG) Nr. 2658/87 des Rates über die zolltarifliche und statistische Nomenklatur sowie den gemeinsamen Zolltarif.