Anwendungsbereich
§ 2Begriffsbestimmungen
§ 3Kostenpflicht
§ 4Kostenvorschreibung
§ 5Rundungen
§ 6Datenmeldungen
§ 7Behördliche Festsetzung der Datenbasis
§ 8Fristen und Zahlungsart
§ 9Vorauszahlungspflicht
§ 10Subrechnungskreise
§ 11Kostenpflicht von Zentralverwahrern
§ 12Betragliche Mindestkosten und Pauschalen
§ 13Subrechnungskreise
§ 14Mindestpauschale
§ 14a„Kostenpflicht der Schwarmfinanzierungsdienstleister
§ 15Subrechnungskreis 1 (Meldepflichtige Institute)
§ 16Subrechnungskreis 2 (Emittenten)
§ 17Subrechnungskreis 3 (Erbringer von Wertpapierdienstleistungen)
§ 17aSubrechnungskreis 8 (abwicklungsrelevante Wertpapierfirmen)
§ 18Subrechnungskreis 4 (Marktinfrastruktur)
§ 19Subrechnungskreis 5 (Clearingmitglieder)
§ 20Subrechnungskreis 6 (Verwalter kollektiver Portfolios)
§ 21Subrechnungskreis 7 (Administratoren)
§ 21aSubrechnungskreis 9 (ART- und EMT-Emittenten sowie CASP)
§ 22Verweise
§ 23Inkrafttreten, Außerkrafttreten und Übergangsbestimmungen
Vorwort
Im Sinne dieser Verordnung sind:
1. Ist-Kostenverrechnung: Die Verrechnung der auf Grund des gemäß § 18 FMABG zu erstellenden Jahresabschlusses der FMA auf die einzelnen Kostenpflichtigen entfallenden Kosten für das betreffende FMA-Geschäftsjahr.
2. Verrechnung von Vorauszahlungen: Die Verrechnung der durch die Vorauszahlungspflichtigen für ein FMA-Geschäftsjahr jeweils im Voraus zu leistenden Zahlungen.
3. Kostenpflichtige: Jene natürlichen oder juristischen Personen, die die Voraussetzungen des § 3 Abs. 1 Z 1 bis 5 erfüllen.
4. Vorauszahlungspflichtige: Jene natürlichen oder juristischen Personen, die die Voraussetzungen des § 9 Abs. 1 erfüllen.
(1) Zur Erstattung der Aufsichtskosten für ein FMA-Geschäftsjahr (Ist-Kosten) verpflichtet sind:
1. Kostenpflichtige
a) aa) gemäß § 69a Abs. 1 Z 1 bis 4 BWG, die
– Kreditinstitute gemäß § 1 Abs. 1 BWG sind oder
– Kreditinstitute gemäß § 9 Abs. 1 BWG sind und Tätigkeiten in Österreich über eine Zweigstelle ausüben oder
– Finanzholdinggesellschaften gemäß Art. 4 Abs. 1 Nummer 20 CRR oder gemischte Finanzholdinggesellschaften gemäß § 2 Z 15 des Finanzkonglomerategesetzes – FKG, BGBl. I Nr. 70/2004, sind, sofern sie Teil einer Kreditinstitutsgruppe gemäß § 30 BWG sind oder
– Wertpapierfirmen gemäß § 4 BWG oder gemäß Art. 1 Abs. 2 zweiter Unterabsatz IFR sind,
bb) gemäß § 69a Abs. 8 BWG, die Repräsentanzen gemäß § 2 Z 17 BWG sind,
cc) gemäß § 89 Abs. 1 ZaDiG 2018, die
– Zahlungsinstitute gemäß § 4 Z 4 lit. a ZaDiG 2018 sind oder
(1) Die FMA hat den gemäß § 3 Abs. 1 Z 1 bis 5 Kostenpflichtigen die jeweils auf sie entfallenden Ist-Kosten eines FMA-Geschäftsjahres mit Bescheid vorzuschreiben. Die Vorschreibung hat bis zum 31. Dezember des Jahres, in dem der Jahresabschluss der FMA veröffentlicht wird, zu erfolgen.
(2) Die Kostenvorschreibung kann, sofern die Rechtspersönlichkeit des Kostenpflichtigen untergegangen ist und die Voraussetzungen für eine Vorschreibung beim Rechtsnachfolger vorliegen, auch bis zum 31. März des darauf folgenden Jahres erfolgen. Rückwirkungen im Rahmen von Umgründungen gemäß § 202 Abs. 2 des Unternehmensgesetzbuches – UGB, dRGBl. S. 219/1897, in der Fassung des Bundesgesetzes BGBl. I Nr. 63/2019, bleiben unberücksichtigt.
Die vorzuschreibenden Kostenbeträge sind auf einen vollen Eurobetrag ab- oder aufzurunden. Hierbei werden Beträge bis einschließlich 49 Cent abgerundet und Beträge ab 50 Cent aufgerundet.
(1) Grundlage der Kostenberechnung sind die an die FMA nach den anzuwendenden Aufsichtsgesetzen zu erstattenden Datenmeldungen; das sind:
1. für den Rechnungskreis 1:
a) § 69a Abs. 2 BWG in Verbindung mit Art. 430 CRR sowie § 44 BWG,
b) § 89 Abs. 2 ZaDiG 2018 in Verbindung mit § 26 ZaDiG 2018,
c) § 22 Abs. 2 E-Geldgesetz 2010 in Verbindung mit § 89 Abs. 1 ZaDiG 2018,
d) § 160 Abs. 1 BaSAG in Verbindung mit § 69a Abs. 2 BWG und Art. 99 CRR,
e) § 56 ESAEG in Verbindung mit § 69a Abs. 2 BWG und Art. 99 CRR,
2. für den Rechnungskreis 2: § 271 Abs. 2 VAG 2016 in Verbindung mit
a) § 248 Abs. 2, 4 und 8 VAG 2016 in Verbindung mit § 1 Z 1 der Versicherungsunternehmen Meldeverordnung – VU-MV, BGBl. II Nr. 217/2015,
b) § 79 Abs. 3 VAG 2016 in Verbindung mit § 1 der kleine Versicherungsvereine Rechnungslegungsverordnung – kV-RLV, BGBl. II Nr. 168/2015,
3. für den Rechnungskreis 3:
a) Art. 26 und 27 MiFIR, § 2 Abs. 2 und 3, §§ 71, 72 und 89 WAG 2018 in Verbindung mit § 15 Abs. 3, § 16 Abs. 2 und § 17 Abs. 1 und 2,
(1) Die FMA hat die Basis der Berechnung der Kosten festzusetzen, wenn die für die Kostenbemessung erforderlichen Datenmeldungen gemäß § 6
1. mangels Basisdaten nicht erstattet werden konnten oder mangels Meldepflicht gemäß den in § 6 Abs. 1 genannten Bestimmungen oder den entsprechenden Vorgängerbestimmungen nicht erstattet werden mussten oder
2. pflichtwidrig nicht, nicht rechtzeitig oder nicht vollständig übermittelt worden sind.
(2) Liegen die Voraussetzungen des Abs. 1 vor, hat die FMA
1. eine Berechnung des Kostenanteils auf Basis der letztvorliegenden Datenmeldung gemäß § 6 oder den entsprechenden Vorgängerbestimmungen zuzüglich eines Zuschlages vorzunehmen oder
2. hilfsweise den Kostenanteil in Höhe der Beträge gemäß Abs. 4 oder § 14 Abs. 3 Z 3 festzusetzen.
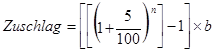
(3) Der Zuschlag gemäß Abs. 2 Z 1 berechnet sich wie folgt:

wobei Folgendes gilt:
1. n ist die Anzahl der lückenlos aufeinander folgenden Jahre, für die die FMA die Basis der Berechnung der Kosten auf Basis der letztvorliegenden Datenmeldung festzusetzen hat;
2. b ist die für die letzte Vorperiode für den jeweiligen Kostenpflichtigen errechenbare Bemessungsgrundlage.
(4) Liegen für einen Kostenpflichtigen keine Datenmeldungen gemäß § 6 oder den entsprechenden Vorgängerbestimmungen aus Vorperioden vor, so hat die FMA den Kostenanteil
(1) Die gemäß § 4 vorgeschriebenen Beträge sind jeweils binnen eines Monats nach Zustellung des Bescheids zu erstatten.
(2) Die FMA hat Guthaben gemäß § 19 Abs. 5 FMABG binnen eines Monats nach Rechtskraft des Kostenbescheids und nach schriftlicher Bekanntgabe der Bankverbindung durch den Kostenpflichtigen zurückzuzahlen.
(1) Zur Leistung von Vorauszahlungsbeträgen für ein FMA-Geschäftsjahr sind jene Kostenpflichtigen verpflichtet, die die Voraussetzungen gemäß § 3 Abs. 1 Z 1 bis 5 am 30. September des vorangehenden FMA-Geschäftsjahres erfüllen. Kostenpflichtige gemäß § 3 Abs. 1 Z 3 lit. d und h sind nicht vorauszahlungspflichtig.
(2) Die FMA hat den gemäß Abs. 1 Vorauszahlungspflichtigen den auf sie jeweils entfallenden Vorauszahlungsbetrag mit Bescheid vorzuschreiben. Die in § 4 Abs. 1 und 2 festgesetzten Termine sowie die in § 5 festgesetzte Regelung zur Rundung des vorgeschriebenen Kostenbeitrags sind hierbei anzuwenden.
(3) § 7 gilt bei der Vorschreibung von Vorauszahlungsbeträgen, sofern für die Berechnung des Vorauszahlungsbetrages für einen jeweiligen Kostenpflichtigen keine Ist-Kostenbeträge für das vorangegangene FMA-Geschäftsjahr verrechnet wurden.
Der Rechnungskreis 1 (Bankenaufsicht) besteht aus folgenden Kostenpflichtigen, die jeweils einen eigenen Subrechnungskreis bilden:
1. Subrechnungskreis 1, dem die Rechtsträger gemäß § 3 Abs. 1 Z 1 lit. a zugeordnet sind;
2. Subrechnungskreis 2, dem die Rechtsträger gemäß § 3 Abs. 1 Z 1 lit. b zugeordnet sind;
3. Subrechnungskreis 3, dem die Sicherungseinrichtungen gemäß § 3 Abs. 1 Z 1 lit. c zugeordnet sind.
Ist einem Zentralverwahrer eine Konzession zur Erbringung bankartiger Nebendienstleistungen gemäß § 12 ZvVG erteilt worden, ist er als Konzessionsträger im Sinne von § 4 BWG an der Verteilung der Kosten im Rechnungskreis 1 gemäß § 69a BWG zu beteiligen.
(1) Die von jedem Kostenpflichtigen gemäß § 3 Abs. 1 Z 2 lit. a zumindest zu tragenden betraglichen Mindestkosten gemäß § 271 Abs. 3 VAG 2016 werden mit 250 Euro festgesetzt.
(2) Die Pauschale gemäß § 271 Abs. 2 VAG 2016 beträgt für Kostenpflichtige gemäß § 3 Abs. 1 Z 2 lit. c bis f 1 000 Euro. Die Pauschale ist sowohl im Fall der Vorauszahlung als auch im Fall der Ist-Kostenverrechnung nur einmal pro Geschäftsjahr vorzuschreiben, auch wenn der Kostenpflichtige unter mehrere Fälle gemäß § 3 Abs. 1 Z 2 lit. c bis f fällt.
(3) Die Pauschale gemäß § 271 Abs. 4 in Verbindung mit Abs. 2 VAG 2016 beträgt für Kostenpflichtige gemäß § 3 Abs. 1 Z 2 lit. b 250 Euro.
(1) Der Rechnungskreis 3 (Wertpapieraufsicht) besteht abgesehen von den in Abs. 2 genannten Kostenpflichtigen aus den folgenden Kostenpflichtigen, die jeweils einen eigenen Subrechnungskreis bilden:
1. Subrechnungskreis 1, dem die meldepflichtigen Institute gemäß § 3 Abs. 1 Z 3 lit. a zugeordnet sind;
2. Subrechnungskreis 2, dem die Emittenten mit Ausnahme des Bundes gemäß § 3 Abs. 1 Z 3 lit. b zugeordnet sind;
3. Subrechnungskreis 3, dem die Erbringer von Wertpapierdienstleistungen gemäß § 3 Abs. 1 Z 3 lit. c zugeordnet sind;
4. Subrechnungskreis 4, dem die Betreiber von Marktinfrastrukturen gemäß § 3 Abs. 1 Z 3 lit. d zugeordnet sind;
5. Subrechnungskreis 5, dem die Clearingmitglieder gemäß § 3 Abs. 1 Z 3 lit. e zugeordnet sind;
6. Subrechnungskreis 6, dem die Verwalter kollektiver Portfolios gemäß § 3 Abs. 1 Z 3 lit. f zugeordnet sind;
7. Subrechnungskreis 7, dem die Administratoren gemäß § 3 Abs. 1 Z 3 lit. g zugeordnet sind;
8. Subrechnungskreis 8, dem die abwicklungsrelevanten Wertpapierfirmen gemäß § 3 Abs. 1 Z 3 lit. i zugeordnet sind;
(1) Ergibt sich auf Grund der nach den Bestimmungen dieser Verordnung erstellten Kostenbemessung ein vorzuschreibender Kostenanteil, der unter dem für den Kostenpflichtigen gemäß Abs. 3 und 4 festgelegten Mindestpauschalbetrag liegt, so ist dem Kostenpflichtigen der Mindestpauschalbetrag vorzuschreiben.
(2) Die FMA ist berechtigt, bei Aufteilung der Jahreskosten die in Abs. 3 geregelten Mindestpauschalbeträge je Kostenpflichtigen anzusetzen. Die durch Vorschreibung von Mindestpauschalbeträgen entstandenen rechnerischen Überschüsse sind so auszugleichen, dass der Ausgleich stufenweise innerhalb der Gruppe von Kostenpflichtigen erfolgt, wobei meldepflichtige Institute gemäß § 13 Z 1, die einem Zentralinstitut angeschlossen sind, einerseits und sonstige meldepflichtige Institute gemäß § 13 Z 1 andererseits jeweils als eine Gruppe von Kostenpflichtigen gelten.
(3) Die Mindestpauschale beträgt für kostenpflichtige
1. meldepflichtige Institute gemäß § 13 Abs. 1 Z 1 500 Euro;
2. Emittenten gemäß § 13 Abs. 1 Z 2 500 Euro;
3. Erbringer von Wertpapierdienstleistungen gemäß § 13 Abs. 1 Z 3, die Wertpapierfirmen sind 1 000 Euro;
3a. Erbringer von Wertpapierdienstleistungen gemäß § 13 Abs. 1 Z 3, die keine Wertpapierfirmen sind 500 Euro;
4. Clearingmitglieder gemäß § 13 Abs. 1 Z 5 500 Euro;
5. Verwalter kollektiver Portfolios gemäß § 13 Abs. 1 Z 6, soweit diese nicht ausschließlich registrierte AIFM gemäß § 3 Abs. 1 Z 3 lit. f sind 1 000 Euro;
(1) Die Kostenpflichtigen gemäß § 13 Abs. 2 haben der FMA als Referenzdaten die Umsatzerlöse, die sie innerhalb eines Kalenderjahres aus Schwarmfinanzierungsdienstleistungen erzielt haben und wie sie sich aus dem beim Firmenbuchgericht eingereichten Jahresabschluss ergeben, bis zum 30. Juni des Folgejahres zu übermitteln. Korrekturmeldungen hat die FMA zu berücksichtigen, sofern sie bis längstens 30. September des Folgejahres bei der FMA einlangen. Etwaige Fremdwährungsbeträge sind zum Wechselkurs, der im Zeitpunkt der Erlöse gültig gewesen ist, in Euro umzurechnen.
(2) Der Pauschalbetrag P eines Kostenpflichtigen gemäß § 13 Abs. 2 in Euro für das betreffende FMA-Geschäftsjahr ergibt sich wie folgt:

Dabei gilt Folgendes:
1. Der individuelle umsatzbezogene Referenzwert U einzel ist der Durchschnitt der jährlichen Umsatzerlöse des jeweiligen Kostenpflichtigen gemäß § 13 Abs. 2 in Euro aus Schwarmfinanzierungsdienstleistungen bezogen auf das zweit- und drittvorangegangene Kalenderjahr zum betreffenden FMA-Geschäftsjahr; dabei sind geprüfte Geschäftsjahre des jeweiligen Kostenpflichtigen, in denen die Voraussetzungen gemäß § 3 Abs. 1 Z 3 lit. h keine vollen 12 Kalendermonate bestanden haben, aliquot nach vollen Kalendermonaten zu berücksichtigen; sind in einem für die Durchschnittsbildung heranzuziehenden Geschäftsjahr in keinem Kalendermonat die Voraussetzungen gemäß § 3 Abs. 1 Z 3 lit. h erfüllt, ist nur das jeweils andere Kalenderjahr unter allfälliger Aliquotierung heranzuziehen und auf die Bildung eines Durchschnitts zu verzichten;
2. die aggregierte Relationsgröße der umsatzbezogenen Referenzwerte U gesamt ist die Summe von U einzel für alle Kostenpflichtigen gemäß § 13 Abs. 2;
3. der aufwandsbezogene Einzelbetrag E beträgt 2 000 Euro;
4. der aufwandsbezogene Faktor N ist die Summe der Aufsichtsmonate aller Kostenpflichtigen gemäß § 13 Abs. 2 im Zeitraum zwischen dem Beginn des 15. und dem Ende des 4. Monats vor dem betreffenden FMA-Geschäftsjahr; dabei ergibt sich je Kostenpflichtigem gemäß § 13 Abs. 2 der Wert seiner Aufsichtsmonate aus der Anzahl der Kalendermonate, in denen der jeweilige Kostenpflichtige die Voraussetzungen gemäß § 3 Abs. 1 Z 3 lit. h zumindest zeitweise erfüllt hat;
(1) Geschäftsmeldungen gemäß Art. 26 MiFIR sind für die Zwecke der Kostenbemessung zu gewichten. Den neu gemeldeten Geschäften sowie den diesbezüglichen Stornomeldungen, die jeweils gesondert als kostenpflichtige Geschäfte zu behandeln sind, ist hiefür ein Gewicht von 100 vH zuzuordnen, soweit für einzelne Geschäftsarten nicht besondere Gewichtungsfaktoren gemäß Abs. 2 oder 3 gelten.
(2) Bei Kreditinstituten, die einem Zentralinstitut angeschlossen sind und die nicht gemäß § 27a BWG zur Lösung des Anschlusses an das Zentralinstitut berechtigt sind, gilt anstelle des in Abs. 1 genannten Gewichtes eine Gewichtung von 6,9 vH, sofern der unmittelbare Auftraggeber ein Kunde gemäß Art. 2 Abs. 1 Nummer 7 MiFIR in Verbindung mit Art. 4 Abs. 1 Nummer 9 MiFID II ist und der als Gegenpartei gemeldete Käufer oder Verkäufer gemäß Anhang I Tabelle 2 Felder 7 bis 11 und 16 bis 20 Melde-RTS das zuständige Zentralinstitut oder ein anderes demselben zuständigen Zentralinstitut angeschlossenes Kreditinstitut ist. Für innersektorale Geschäfte zwischen angeschlossenen Kreditinstituten, bei denen der unmittelbare Auftraggeber kein Kunde gemäß Art. 2 Abs. 1 Nummer 7 MiFIR in Verbindung mit Art. 4 Abs. 1 Nummer 9 MiFID II ist, gilt jedoch die Gewichtung gemäß Abs. 1 und 3. Für Zwecke der Kostenbemessung gelten die innersektoralen Geschäfte mit Ausnahme der Geschäfte zwischen den angeschlossenen Kreditinstituten als ein kostenpflichtiges Geschäft, dessen Kosten jenem Sektorinstitut vorzuschreiben sind, das das meldepflichtige Geschäft innersektoral nicht mehr weiterleitet. Das zuständige Zentralinstitut und die angeschlossenen Kreditinstitute haben der FMA bis zum 30. Juni des Folgejahres die erforderlichen Referenzdaten zur Verfügung zu stellen.
(3) Börseunternehmen gemäß § 3 BörseG 2018 haben der FMA ihre Handelsdaten zum Zwecke der Kostenbemessung zu übermitteln. Für gemeldete Geschäfte, die nach Maßgabe der übermittelten Handelsdaten im Rahmen einer Tätigkeit als Market Maker gemäß § 52 BörseG 2018 abgeschlossen wurden, verringert sich das Gewicht gemäß Abs. 1 auf 2,9 vH.
(4) Eine kumulative Anwendung der Abs. 2 und 3 findet nicht statt, auch wenn das gemeldete Geschäft die Voraussetzungen beider vorgenannter Absätze erfüllt.
(5) Die FMA hat die auf die Kostenpflichtigen gemäß § 13 Abs. 1 Z 1 im Einzelnen entfallenden Beträge, gerechnet nach ihrem Anteil der gemeldeten Geschäfte an der Gesamtzahl der gemeldeten Geschäfte, zu ermitteln, wobei die Geschäfte im Verhältnis der Relationen gemäß Abs. 1 bis 3 zu gewichten sind.
(1) Die FMA hat die auf die Kostenpflichtigen gemäß § 13 Abs. 1 Z 2 im Einzelnen entfallenden Beträge, gerechnet nach ihrem Anteil an den Geldumsätzen an inländischen Handelsplätzen in den meldepflichtigen Instrumente, zu ermitteln, die im betreffenden Kalenderjahr an einem geregelten Markt oder einer sonstigen Wertpapierbörse gemäß § 3 BörseG 2018 zugelassen oder mit Zustimmung des Emittenten in den Handel an einem MTF oder OTF einbezogen waren. Die FMA ist berechtigt, zur Ermittlung der Beiträge Angaben des gemäß § 3 BörseG 2018 zum Betrieb eines geregelten Marktes oder einer sonstigen Wertpapierbörse konzessionierten Börseunternehmens über die zugelassenen Instrumente einzuholen und der Kostenberechnung zugrunde zu legen, wobei Geschäfte in meldepflichtigen Finanzinstrumenten, bei denen es sich um Aktien und aktienähnliche Wertpapiere handelt, mit 100 vH, Geschäfte in allen anderen meldepflichtigen Finanzinstrumenten mit 1,2 vH zu gewichten sind.
(2) Das Börseunternehmen hat der FMA im Hinblick sowohl auf den konzessionierten Betrieb eines geregelten Marktes oder einer sonstigen Wertpapierbörse gemäß § 3 Abs. 2 BörseG 2018 als auch den bewilligten Betrieb eines MTF oder OTF gemäß § 3 Abs. 3 BörseG 2018 die entsprechenden Referenzdaten bis zum 30. Juni des Folgejahres unter Berücksichtigung von neuen erstmaligen öffentlichen Zulassungen zum amtlichen Handel (Initial Public Offerings, IPOs) sowie allfälligen zwischenzeitlich eingetretenen Veränderungen, insbesondere Änderungen der ISI-Nummern, Delistings und Kapitalmaßnahmen (insbesondere Bezugsrechte), zur Verfügung zu stellen.
(1) Die Kostenpflichtigen gemäß § 13 Abs. 1 Z 3 haben der FMA die von Abschlussprüfern geprüften Referenzdaten des vorangegangenen Geschäftsjahres bis zum 30. Juni des Folgejahres zu übermitteln. Kostenpflichtige, die im Wege der Niederlassungsfreiheit gemäß § 19 WAG 2018 oder über eine Zweigstelle gemäß § 21 WAG 2018 in Österreich tätig werden, können die Erfüllung des Erfordernisses der Prüfung der übermittelten Referenzdaten auch durch Vorlage des Jahresabschlusses der Wertpapierfirma oder der Drittlandfirma nachweisen, wenn folgende, zusammen vorliegende Voraussetzungen erfüllt sind:
1. Der vorgelegte Jahresabschluss weist die Referenzdaten gemäß Abs. 2 aus;
2. der vorgelegte Jahresabschluss ist nach dem auf diesen anwendbaren Recht von einem Abschlussprüfer geprüft, soweit dies in dem auf diesen Jahresabschluss anwendbaren Recht vorgesehen ist, oder hilfsweise erfolgt die Meldung der Referenzdaten zumindest mit einer Bestätigung der Geschäftsleitung des Kostenpflichtigen, über die Referenzdaten wahrheitsgemäß Auskunft gegeben zu haben;
3. dem vorgelegten Jahresabschluss liegt eine beglaubigte Übersetzung des Jahresabschlusses samt Prüfvermerk in deutscher Sprache hinsichtlich der Referenzdaten bei.
Bei Wertpapierdienstleistungsunternehmen gemäß § 4 WAG 2018 entfällt das Erfordernis der Prüfung der Referenzdaten.
(2) Als Referenzdaten gemäß Abs. 1 gelten Umsatzerlöse aus Wertpapierdienstleistungen und Wertpapiernebendienstleistungen für das betreffende FMA-Geschäftsjahr. Von diesen Umsatzerlösen sind jene Erlöse nicht umfasst, welche von einem Kostenpflichtigen gemäß § 13 Abs. 1 Z 3 an andere Kostenpflichtige gemäß § 13 Abs. 1 Z 3 weitergeleitet wurden und von letzteren als Referenzdaten gemäß Abs. 1 zu melden sind. Etwaige Fremdwährungsbeträge sind zum Wechselkurs, der im Zeitpunkt der Einhebung der Erlöse gültig gewesen ist, in Euro umzurechnen.
(3) Der Kostenanteil einer Wertpapierfirma, eines Wertpapierdienstleistungsunternehmens oder eines sonstigen Kostenpflichtigen gemäß § 13 Abs. 1 Z 3 für ein FMA-Geschäftsjahr ergibt sich vorbehaltlich Abs. 3a und 3b aus dem Verhältnis der gewichteten Umsatzerlöse aus Wertpapierdienstleistungen und Wertpapiernebendienstleistungen des jeweiligen Kostenpflichtigen zu den gesamten Umsatzerlösen aller Kostenpflichtiger gemäß § 13 Abs. 1 Z 3 aus diesen Dienstleistungen.
Die FMA hat die auf die Kostenpflichtigen gemäß § 13 Abs. 1 Z 8 im Einzelnen entfallenden Beiträge gerechnet nach dem Anteil der auf den einzelnen Kostenpflichtigen entfallenden Summe aus gehaltenen Kundengeldern (CMH) und verwahrten und verwalteten Vermögenswerten (ASA), die als Referenzdaten herangezogen werden, im Verhältnis zur Gesamtsumme von CMH und ASA aller abwicklungsrelevanten Wertpapierfirmen zu ermitteln, wobei die zum Jahresultimo des betreffenden FMA-Geschäftsjahres gemeldeten Referenzdaten heranzuziehen sind.
Ein Fehlbetrag, der gemäß § 94 Abs. 2 BörseG 2018, § 5 Abs. 3 ZGVG und § 11 Abs. 2 ZvVG im Subrechnungskreis 4 verbleibt, ist auf die einzelnen Rechnungskreise gemäß § 19 Abs. 1 FMABG unter Berücksichtigung der Subrechnungskreise im Verhältnis ihrer direkt zuordenbaren Kosten zueinander aufzuteilen, wobei der Subrechnungskreis 4 unberücksichtigt bleibt.
(1) Die FMA hat die auf die Kostenpflichtigen gemäß § 13 Abs. 1 Z 5 im Einzelnen entfallenden Beträge, gerechnet nach ihrem Anteil der von ihnen als Clearingmitglied bei einer oder mehreren im Inland niedergelassenen zentralen Gegenparteien in Anspruch genommenen Clearingdienstleistungen am Gesamtvolumen der von diesen zentralen Gegenparteien erbrachten Clearingdienstleistungen zu ermitteln. Der Anteil bemisst sich nach dem Verhältnis des Gesamtvolumens aller Transaktionen in Finanzinstrumenten gemäß § 1 Z 7 WAG 2018, die der einzelne Kostenpflichtige gemäß § 13 Abs. 1 Z 5 im betreffenden FMA-Geschäftsjahr von einer im Inland niedergelassenen zentralen Gegenpartei abwickeln ließ, zum Gesamtvolumen aller Transaktionen in Finanzinstrumenten gemäß § 1 Z 7 WAG 2018, die alle Kostenpflichtigen gemäß § 13 Abs. 1 Z 5 im betreffenden FMA-Geschäftsjahr von den im Inland niedergelassenen zentralen Gegenparteien abwickeln ließen.
(2) Die im Inland niedergelassenen zentralen Gegenparteien haben der FMA jeweils die Referenzdaten für jedes FMA-Geschäftsjahr
1. zu dem von ihnen abgewickelten Gesamtvolumen aller Transaktionen in Finanzinstrumenten gemäß § 1 Z 7 WAG 2018 und
2. zum absoluten Anteil jedes ihrer Clearingmitglieder an dem von ihnen gemäß Z 1 gemeldeten Gesamtvolumen aller Transaktionen in Finanzinstrumenten gemäß § 1 Z 7 WAG 2018
bis zum 30. Juni des Folgejahres zu übermitteln. Etwaige Fremdwährungsbeträge sind zum Wechselkurs, der im Zeitpunkt des Abschlusses der Transaktion gültig gewesen ist, in Euro umzurechnen.
(1) Die Kostenpflichtigen gemäß § 13 Abs. 1 Z 6 haben der FMA die von Abschlussprüfern geprüften Referenzdaten des vorangegangenen Geschäftsjahres bis zum 30. Juni des Folgejahres zu übermitteln. Kostenpflichtige, die über eine Zweigstelle gemäß § 36 InvFG 2011 oder § 33 AIFMG im Inland tätig werden oder Nicht-EU-AIFM gemäß § 39 Abs. 3 AIFMG sind, können die Erfüllung des Erfordernisses der Prüfung der übermittelten Referenzdaten unter Heranziehung des Jahresabschlusses der Verwaltungsgesellschaft, des EU-AIFM oder des Nicht-EU-AIFM nachweisen, wenn folgende, zusammen vorliegende Voraussetzungen erfüllt sind:
1. Der Jahresabschluss weist die Referenzdaten der inländischen Zweigstelle aus;
2. der Jahresabschluss ist nach dem auf diesen anwendbaren Recht von einem Abschlussprüfer geprüft;
3. dem vorgelegten Jahresabschluss liegt eine beglaubigte Übersetzung des Jahresabschlusses samt Prüfvermerk in deutscher Sprache hinsichtlich der Referenzdaten bei.
(2) Als Referenzdaten gemäß Abs. 1 gelten für Kostenpflichtige gemäß § 13 Abs. 1 Z 6 die eingehobenen Verwaltungskosten der Betrieblichen Vorsorgekassen, die eingehobenen Provisionserträge der Verwaltungsgesellschaften und Kapitalanlagegesellschaften für Immobilien und die Umsatzerlöse der AIFM aus der Verwaltung von AIF für das betreffende FMA-Geschäftsjahr. Von diesen Erlösen sind jeweils jene Erlöse nicht umfasst, welche von einem Kostenpflichtigen gemäß § 13 Abs. 1 Z 6 an andere Kostenpflichtige gemäß § 13 Abs. 1 Z 6 weitergeleitet wurden und von letzteren als Referenzdaten gemäß Abs. 1 zu melden sind. Etwaige Fremdwährungsbeträge sind zum Wechselkurs, der im Zeitpunkt der Einhebung der Verwaltungskosten, Provisionserträge oder Umsatzerlöse gültig gewesen ist, in Euro umzurechnen.
(3) Die FMA hat die auf die Kostenpflichtigen gemäß § 13 Abs. 1 Z 6 im Einzelnen entfallenden Beträge, gerechnet nach ihrem Anteil am Gesamtvolumen der eingehobenen Verwaltungskosten der Betrieblichen Vorsorgekassen, der eingehobenen Provisionserträge der Verwaltungsgesellschaften und Kapitalanlagegesellschaften für Immobilien und der Umsatzerlöse der AIFM aus der Verwaltung von AIF zu ermitteln. Der Anteil bemisst sich nach dem Verhältnis des Gesamtvolumens aller Verwaltungskosten, Provisionserträge oder Umsatzerlöse, die der einzelne Kostenpflichtige gemäß § 13 Abs. 1 Z 6 im betreffenden FMA-Geschäftsjahr eingehoben hat, abzüglich jener Erlöse, die nach § 17 Abs. 1 zu melden sind, zum Gesamtvolumen aller eingehobenen Verwaltungskosten, Provisionserträge und Umsatzerlöse, die alle Kostenpflichtigen gemäß § 13 Abs. 1 Z 6 im betreffenden FMA-Geschäftsjahr eingehoben haben. Bei registrierten AIFM sind hierbei nur 50 vH der eingehobenen Umsatzerträge zu berücksichtigen.
(1) Die FMA hat die auf die Kostenpflichtigen gemäß § 13 Abs. 1 Z 7 im Einzelnen entfallenden Beträge gerechnet nach ihrem Anteil an der Gesamtanzahl der von allen Kostenpflichtigen gemäß § 13 Abs. 1 Z 7 bereitgestellten Referenzwerte zu ermitteln. Dabei sind sowohl hinsichtlich des Anteils des Kostenpflichtigen als auch hinsichtlich der Gesamtanzahl auch allein unterjährig bereitgestellte Referenzwerte zu berücksichtigen und nach der Art des bereitgestellten Referenzwertes zu gewichten: Ein Rohstoff-Referenzwert, der Anhang II zur BMR unterliegt, ein EU-Referenzwert für den klimabedingten Wandel oder ein Paris-abgestimmter EU-Referenzwert ist mit dem Faktor 1,0 zu gewichten, ein signifikanter Referenzwert mit dem Faktor 1,1 und ein kritischer Referenzwert gemäß Art. 20 Abs. 1 Buchstabe b in Verbindung mit Abs. 2 bis 5 BMR mit dem Faktor 2,0.
(2) Maßgeblich für die Gewichtung gemäß Abs. 1 sind die Referenzwerte nach der Art, wie sie die FMA ihrer Aufsicht am 30. September des jeweiligen FMA-Geschäftsjahres zugrunde zu legen hat. Bei Referenzwerten, die im Laufe des jeweiligen FMA-Geschäftsjahres bereits vor dem 30. September eingestellt worden sind, ist für die Gewichtung ihre Art zum Zeitpunkt der Einstellung maßgeblich.
(1) Die Kostenpflichtigen gemäß § 13 Abs. 1 Z 9 haben der FMA die von Wirtschaftsprüfern oder gesetzmäßigen Prüfverbänden geprüfte Referenzdatengrundlage des vorangegangenen Geschäftsjahres bis zum 30. Juni des Folgejahres zu übermitteln.
(2) Als Referenzdatengrundlage gemäß Abs. 1 gilt für Kostenpflichtige gemäß § 13 Abs. 1 Z 9 die Bilanzsumme. Davon abweichend gilt als Referenzdatengrundlage bei den Kostenpflichtigen, die zu mehr als einem Fünftel Geschäfte betreiben, die nicht unter die MiCAR fallen, der dem Verhältnis der unter die MiCAR fallenden Geschäfte zum Gesamtgeschäft entsprechende Bruchteil der Bilanzsumme, wenn der Kostenpflichtige dies bis zum 30. Juni des Folgejahres der FMA anzeigt und das Vorliegen der Voraussetzungen durch Vorlage geeigneter Unterlagen nachgewiesen hat. Zum Nachweis kann auf aufsichtliche Finanzdatenmeldungen verwiesen werden. Tatsachen, die verspätet vorgetragen oder nachgewiesen werden, bleiben unberücksichtigt.
(3) Die FMA hat die auf die Kostenpflichtigen gemäß § 13 Abs. 1 Z 9 im Einzelnen entfallenden Beträge gerechnet nach ihrem Anteil am Gesamtbetrag aller gemäß Abs. 2 zu berücksichtigenden Bilanzsummen zu ermitteln. Der Anteil bemisst sich nach dem Verhältnis der gemäß Abs. 2 zu berücksichtigenden Bilanzsumme des jeweiligen Kostenpflichtigen zum Gesamtbetrag aller gemäß Abs. 2 zu berücksichtigenden Bilanzsummen der Kostenpflichtigen gemäß § 13 Abs. 1 Z 9.
(1) Für Verweise auf Bundesgesetze in dieser Verordnung gilt Folgendes:
1. Soweit auf Bestimmungen des Finanzmarktaufsichtsbehördengesetzes – FMABG, BGBl. I Nr. 97/2001, verwiesen wird, ist dieses in der Fassung des Bundesgesetzes BGBl. I Nr. 50/2025 anzuwenden;
2. soweit auf Bestimmungen des Bankwesengesetzes – BWG, BGBl. Nr. 532/1993, verwiesen wird, ist dieses in der Fassung des Bundesgesetzes BGBl. I Nr. 37/2025 anzuwenden;
3. soweit auf Bestimmungen des Zahlungsdienstegesetzes 2018 – ZaDiG 2018, BGBl. I Nr. 17/2018, verwiesen wird, ist dieses in der Fassung des Bundesgesetzes BGBl. I Nr. 112/2024 anzuwenden;
4. soweit auf Bestimmungen des E-Geldgesetzes 2010, BGBl. I Nr. 107/2010, verwiesen wird, ist dieses in der Fassung des Bundesgesetzes BGBl. I Nr. 5/2025 anzuwenden;
5. soweit auf Bestimmungen des Sanierungs- und Abwicklungsgesetzes – BaSAG, BGBl. I Nr. 98/2014, verwiesen wird, ist dieses in der Fassung des Bundesgesetzes BGBl. I Nr. 34/2025 anzuwenden;
6. soweit auf Bestimmungen des Einlagensicherungs- und Anlegerentschädigungsgesetzes – ESAEG, BGBl. I Nr. 117/2015, verwiesen wird, ist dieses in der Fassung des Bundesgesetzes BGBl. I Nr. 237/2022 anzuwenden;
7. soweit auf Bestimmungen des Versicherungsaufsichtsgesetzes 2016 – VAG 2016, BGBl. I Nr. 34/2015, verwiesen wird, ist dieses in der Fassung des Bundesgesetzes BGBl. I Nr. 112/2024 anzuwenden;
(1) Diese Verordnung tritt mit 1. Jänner 2016 in Kraft.
(2) Die Verordnung der Finanzmarktaufsichtsbehörde (FMA) über die Kosten der Finanzmarktaufsicht (FMA-Kostenverordnung – FMA-KVO), BGBl. II Nr. 340/2003, in der Fassung der Verordnung BGBl. II Nr. 265/2015 tritt mit Ablauf des 31. Dezember 2015 außer Kraft.
(3) Für die Ist-Kostenverrechnung für ein FMA-Geschäftsjahr, das vor dem 1. Jänner 2016 endet, gilt Folgendes: Anstelle von § 3 Abs. 1 Z 2 und § 6 Abs. 1 Z 2 dieser Verordnung sind § 3 Abs. 1 Z 2 und § 6 Abs. 1 Z 2 der in Abs. 2 bezeichneten Verordnung anzuwenden; § 12 Abs. 1 dieser Verordnung ist nur auf Kostenpflichtige im Sinne von § 3 Abs. 1 Z 2 der in Abs. 2 bezeichneten Verordnung anzuwenden; § 12 Abs. 2 dieser Verordnung ist nicht anzuwenden.
(4) § 3 Abs. 1 Z 1 lit. c, § 6 Abs. 1 Z 1 lit. a und Abs. 2 letzter Satz, § 7 Abs. 6, § 10 Z 3 und § 12 Abs. 1 und 3 in der Fassung der Verordnung BGBl. II Nr. 223/2017 treten mit 1. September 2017 in Kraft und sind auf Vorschreibungen von Ist-Kosten für FMA-Geschäftsjahre, die nach dem 31. Dezember 2015 beginnen, sowie von Vorauszahlungen für FMA-Geschäftsjahre, die nach dem 31. Dezember 2017 beginnen, anzuwenden. § 1 Z 3, § 3 Abs. 1 Z 3 lit. a bis d und g, § 6 Abs. 1 Z 3 lit. a, b und e, § 7 Abs. 4 Z 12 und Abs. 5, § 9 Abs. 1 letzter Satz, § 13 Z 4 und 7, § 15 Abs. 1 bis 3, § 16 Abs. 1 und 2, § 17 Abs. 3 erster Satz, § 18 samt Überschrift, § 19 und § 21 samt Überschrift in der Fassung der Verordnung BGBl. II Nr. 223/2017 treten mit 3. Jänner 2018 in Kraft und sind auf FMA-Geschäftsjahre anzuwenden, die nach dem 31. Dezember 2017 beginnen.
(5) § 6 Abs. 1 Z 3 lit. d, § 7 Abs. 4 Z 8 und 11 und § 14 Abs. 3 Z 4 und 8 in der Fassung der Verordnung BGBl. Nr. II Nr. 419/2015 treten mit Ablauf des 31. Dezember 2019 außer Kraft und sind auf Geschäftsjahre, die nach dem 31. Dezember 2017 beginnen, nicht mehr anzuwenden.
(6) (zu § 3 Abs. 1 Z 1 lit. c): Bis zur Einrichtung einer einheitlichen Sicherungseinrichtung ist § 3 Abs. 1 Z 1 lit. c mit der Maßgabe anzuwenden, dass die bei den Fachverbänden gemäß § 59 Z 3 ESAEG eingerichteten Sicherungseinrichtungen kostenpflichtig sind. Die Vorschreibungen der Ist-Kosten für das Geschäftsjahr 2017 sowie der Vorauszahlungen für das Geschäftsjahr 2019 haben bis zum 31. März 2019 zu erfolgen.
(7) § 3 Abs. 1 Z 1 lit. a sublit. cc und Abs. 1 Z 3 lit. c, § 6 Abs. 1 Z 1 lit. b, § 7 Abs. 4 Z 2 und 3, § 17 Abs. 4 und § 22 in der Fassung der Verordnung BGBl. II Nr. 218/2018 treten mit 1. September 2018 in Kraft.
(8) § 3 Abs. 1 Z 3 lit. a, § 6 Abs. 1 Z 1 lit. c, § 17 Abs. 1 und § 22 in der Fassung der Verordnung BGBl. II Nr. 241/2019 treten mit 1. September 2019 in Kraft.
Diese Verordnung regelt
1. die Durchführung der Vorauszahlungen und der Erstattung der Kosten der Finanzmarktaufsichtsbehörde (FMA),
2. einzelne weitere Aspekte zur Ist-Kostenverrechnung und zur Verrechnung von Vorauszahlungen im Rechnungskreis 1 (Bankenaufsicht) und im Rechnungskreis 2 (Versicherungsaufsicht) und im Hinblick auf Dienstleister in Bezug auf virtuelle Währungen sowie
3. die Aufteilung der Kosten des Rechnungskreises 3 (Wertpapieraufsicht) auf die Kostenpflichtigen gemäß § 94 Abs. 2 BörseG 2018, § 89 Abs. 1 WAG 2018, § 5 Abs. 2 und 3 ZGVG, § 11 Abs. 2 ZvVG, § 144 Abs. 1 InvFG 2011, § 56 Abs. 5 AIFMG, § 2 Abs. 12 ImmoInvFG, § 45a Abs. 1 BMSVG, § 12 Abs. 1 RW-VG, § 15 Abs. 1 des Schwarmfinanzierung-VG, § 3 Abs. 2, 3 und 4 DLT-VVG, § 160 Abs. 1a BaSAG und § 22 Abs. 2 MiCA-VVG.
dd) gemäß § 22 Abs. 2 des E-Geldgesetzes 2010, die
– E-Geld-Institute gemäß § 3 Abs. 2 des E-Geldgesetzes 2010 sind oder
– Zweigstellen gemäß § 9 des E-Geldgesetzes 2010 sind,
ee) gemäß § 23 KKG,
– die Kreditdienstleister gemäß § 3 Z 8 KKG sind und nach diesem Bundesgesetz zur Erbringung von Kreditdienstleistungen berechtigt sind, oder
– die Kreditdienstleistungserbringer gemäß § 3 Z 7 KKG, an die gemäß § 12 KKG Kreditdienstleistungen ausgelagert wurden;
b) gemäß § 160 Abs. 1 Z 1 bis 3 BaSAG, die
aa) Institute gemäß § 2 Z 23 in Verbindung mit § 2 Z 2 BaSAG sind und aufgrund § 4 BWG Bankgeschäfte betreiben,
bb) Finanzholdinggesellschaften gemäß § 2 Z 9 BaSAG oder gemischte Finanzholdinggesellschaften gemäß § 2 Z 10 BaSAG sind, sofern sie Teil einer Kreditinstitutsgruppe gemäß § 30 BWG sind,
cc) EU-Zweigstellen gemäß § 2 Z 88 BaSAG sind, die nicht von abwicklungsrelevanten Wertpapierfirmen gemäß Z 3 lit. i eingerichtet sind;
c) gemäß § 56 ESAEG, die
– eine gemäß § 1 Abs. 2 ESAEG eingerichtete einheitliche Sicherungseinrichtung sind oder
– eine gemäß § 3 Abs. 1 Z 2 ESAEG betriebene Sicherungseinrichtung eines institutsbezogenen Sicherungssystems sind;
2. Kostenpflichtige gemäß § 271 Abs. 1 VAG 2016, die
a) über eine Konzession
aa) gemäß § 6 Abs. 1 VAG 2016 als Versicherungsunternehmen oder Rückversicherungsunternehmen mit Sitz im Inland gemäß § 1 Abs. 1 Z 1 VAG 2016,
bb) gemäß § 6 Abs. 1 in Verbindung mit § 83 Abs. 1 VAG 2016 als kleines Versicherungsunternehmen gemäß § 1 Abs. 1 Z 2 VAG 2016,
cc) gemäß § 6 Abs. 1 in Verbindung mit § 69 Abs. 2 VAG 2016 als kleiner Versicherungsverein gemäß § 1 Abs. 1 Z 3 VAG 2016,
dd) gemäß § 13 Abs. 1 VAG 2016 als Zweigniederlassung eines Drittland-Versicherungsunternehmens oder Drittland-Rückversicherungsunternehmens gemäß § 1 Abs. 1 Z 4 VAG 2016
verfügen; ferner die
b) gemäß § 20 VAG 2016 eine Zweigniederlassung im Inland errichtet haben und EWR-Versicherungsunternehmen oder EWR-Rückversicherungsunternehmen gemäß § 1 Abs. 1 Z 5 VAG 2016 sind;
c) Versicherungsholdinggesellschaften gemäß § 1 Abs. 1 Z 6 in Verbindung mit § 195 Abs. 1 Z 6 VAG 2016 oder gemischte Finanzholdinggesellschaften gemäß § 1 Abs. 1 Z 6 in Verbindung mit § 195 Abs. 1 Z 8 VAG 2016 sind;
d) vermögensverwaltende Versicherungsvereine gemäß § 1 Abs. 1 Z 7 VAG 2016 sind;
e) Privatstiftungen gemäß § 1 Abs. 1 Z 8 VAG 2016 sind;
f) Zweckgesellschaften gemäß § 1 Abs. 1 Z 9 VAG 2016 sind;
3. Kostenpflichtige gemäß den in § 1 Z 3 genannten Bestimmungen,
a) die als Rechtsträger gemäß § 26 Abs. 1 WAG 2018 mit Sitz im Inland oder über eine Zweigstelle gemäß § 9 BWG oder § 19 WAG 2018 Geschäfte mit gegenüber der FMA meldepflichtigen Instrumenten gemäß Art. 26 Abs. 1 und 2 MiFIR getätigt haben (meldepflichtige Institute);
b) deren meldepflichtige Instrumente gemäß Art. 26 Abs. 2 MiFIR an einem geregelten Markt oder einer sonstigen Wertpapierbörse gemäß § 3 Abs. 2 BörseG 2018 zugelassen oder mit Zustimmung des Emittenten in den Handel an einem multilateralen Handelssystem (MTF) oder einem organisierten Handelssystem (OTF) einbezogen waren, jedoch mit Ausnahme des Bundes (Emittenten);
c) die über eine Konzession als Wertpapierfirma gemäß § 3 Abs. 1 WAG 2018 oder als Wertpapierdienstleistungsunternehmen gemäß § 4 Abs. 1 WAG 2018 verfügen, oder über eine Zweigstelle gemäß § 19 WAG 2018 im Inland tätige Wertpapierfirmen oder über eine Zweigstelle gemäß § 21 WAG 2018 im Inland tätige Drittlandfirmen, ferner Unternehmen der Vertragsversicherung, die Vermittlungsgeschäfte im Sinne von § 6 Abs. 3 VAG 2016 und fallweise in Verbindung mit § 69 Abs. 2 oder § 83 Abs. 1 VAG 2016 durchgeführt haben, Verwaltungsgesellschaften gemäß § 5 Abs. 1 InvFG 2011, die Dienstleistungen gemäß § 5 Abs. 2 Z 3 oder 4 InvFG 2011 erbracht haben, AIFM gemäß § 4 AIFMG, die Dienstleistungen gemäß § 4 Abs. 4 Z 1 oder Z 2 lit. a oder c AIFMG erbracht haben, und Zentralverwahrer, die Dienstleistungen erlaubterweise gemäß Art. 17 Abs. 5 in Verbindung mit Art. 18 CSDR erbracht haben, einschließlich Wertpapierfirmen gemäß Art. 12 Abs. 1 DLT-Pilot-Verordnung (Erbringer von Wertpapierdienstleistungen);
d) die als Betreiber von Marktinfrastrukturen
aa) eine von der FMA beaufsichtigte Wertpapierbörse gemäß § 1 Z 1 BörseG 2018 betreiben, insbesondere Börseunternehmen, die über eine Konzession zum Betrieb einer Wertpapierbörse gemäß § 3 Abs. 1 BörseG 2018 oder den Vorgängerbestimmungen verfügen, einschließlich Marktbetreiber gemäß Art. 12 Abs. 2 DLT-Pilot-Verordnung (Wertpapierbörsen);
bb) als zentrale Gegenpartei gemäß Art. 2 Nr. 1 EMIR im Inland niedergelassen sind (zentrale Gegenpartei);
cc) als Zentralverwahrer gemäß Art. 2 Abs. 1 Nr. 1 CSDR im Inland niedergelassen sind, einschließlich Zentralverwahrer gemäß Art. 12 Abs. 3 DLT-Pilot-Verordnung (Zentralverwahrer);
e) die als Clearingmitglied gemäß Art. 2 Nr. 14 EMIR an einer in lit. d genannten zentralen Gegenpartei teilnehmen (Clearingmitglieder);
f) die über eine Konzession als Betriebliche Vorsorgekasse gemäß § 18 Abs. 1 BMSVG, als Verwaltungsgesellschaft gemäß § 5 Abs. 1 InvFG 2011, als Kapitalanlagegesellschaft für Immobilien gemäß § 2 Abs. 1 ImmoInvFG oder als AIFM gemäß § 4 Abs. 1 AIFMG verfügen oder als AIFM gemäß § 1 Abs. 5 Z 1 AIFMG registriert sind, ferner gemäß § 36 Abs. 2 InvFG 2011 oder gemäß § 33 AIFMG errichtete Zweigstellen und Nicht-EU-AIFM gemäß § 39 Abs. 3 AIFMG (Verwalter kollektiver Portfolios);
g) die im Inland bei der FMA über eine Zulassung oder Registrierung als Administrator gemäß Art. 34 BMR verfügen (Administratoren);
h) die über eine Zulassung als Schwarmfinanzierungsdienstleister gemäß Art. 12 ECSPR verfügen (Schwarmfinanzierungsdienstleister);
i) die Wertpapierfirmen gemäß § 2 Z 3 BaSAG sind oder über eine EU-Zweigstelle gemäß § 2 Z 88 BaSAG tätige Drittlandsinstitute, die im Inland Wertpapierdienstleistungen und wertpapierbezogene Nebendienstleistungen erbringen (abwicklungsrelevante Wertpapierfirmen);
j) die Emittenten vermögenswertereferenzierter Token gemäß Art. 16 oder 17 MiCAR (Asset-referenced Token – ART), die Emittenten von E-Geld-Token gemäß Art. 48 MiCAR (E-Money Token – EMT), die Anbieter von Kryptowerte-Dienstleistungen gemäß Art. 59 und 60 MiCAR (Crypto-Asset Service Provider – CASP) oder mehreres davon nach Maßgabe von § 22 Abs. 2 MiCa-VVG sind (ART- und EMT-Emittenten sowie CASP);
4. Kostenpflichtige gemäß § 35 PKG, die über eine Konzession zum Betrieb einer Pensionskasse gemäß § 8 PKG verfügen.
(Anm.: Z 5 aufgehoben durch Z 2, BGBl. II Nr. 387/2024)
(2) Die Erstattungspflicht besteht auch dann, wenn die Voraussetzungen nach Abs. 1 nicht während des ganzen FMA-Geschäftsjahres vorlagen.
(3) Fehlbeträge und Forderungen aus der Ist-Kostenverrechnung vorangegangener FMA-Geschäftsjahre, die auf Grund teilweiser oder vollständiger Uneinbringlichkeit im Jahresabschluss der FMA abgeschrieben werden müssen, sind den Kosten des jeweiligen Rechnungskreises (§ 19 Abs. 1 Z 1 bis 4 FMABG) bzw. des jeweiligen Subrechnungskreises (§ 10 Z 1 bis 3, § 13 Abs. 1 Z 1 bis 7) für das Folgejahr hinzuzurechnen.
(4) Kosten in neu eingerichteten Rechnungskreisen und Subrechnungskreisen, die in Quartalen verbucht werden, in denen es zu Beginn des Quartals noch keine Kostenpflichtigen gibt, sind als Kosten zu behandeln, die nicht direkt zugeordnet werden können (§ 19 Abs. 1 dritter Satz FMABG).
b) § 5 Abs. 2 ZGVG in Verbindung mit § 19 Abs. 2,
c) § 56 Abs. 6 AIFMG, § 45a Abs. 2 BMSVG, § 144 Abs. 2 InvFG 2011 und § 2 Abs. 13 ImmoInvFG jeweils in Verbindung mit § 20 Abs. 1 und 2,
d) § 12 Abs. 2 RW-VG in Verbindung mit § 21 Abs. 2,
e) § 15 Abs. 3 Schwarmfinanzierung-VG in Verbindung mit § 14a Abs. 1,
f) § 160 Abs. 1a BaSAG in Verbindung mit § 89 WAG 2018, § 17a und Art. 54 IFR,
g) § 22 Abs. 4 MiCA-VVG in Verbindung mit § 21a Abs. 1,
4. für den Rechnungskreis 4: § 35 Abs. 1 in Verbindung mit § 30a Abs. 1 PKG.
(Anm.: Z 5 aufgehoben durch Z 3, BGBl. II Nr. 387/2024)
(2) Die von den Kostenpflichtigen gemäß § 3 Abs. 1 Z 1 bis 4 zu erstattenden Datenmeldungen gemäß Abs. 1 oder den entsprechenden Vorgängerbestimmungen für das vorangegangene Geschäftsjahr zur Berechnung der Kosten gemäß § 4 und der Vorauszahlungsbeträge gemäß § 9 sind der FMA spätestens bis zum 30. Juni des Folgejahres zu übermitteln. Im Übrigen gelten die Fristen für die in Abs. 1 aufgeführten Meldungen.
(3) Weicht das Geschäftsjahr des Kostenpflichtigen vom Kalenderjahr ab, so ist jenes Geschäftsjahr des Kostenpflichtigen das vorangegangene Geschäftsjahr, das bis zum 31. Dezember jenes FMA-Geschäftsjahres, für das die Ist-Kostenverrechnung durchgeführt wird, endet; enden mehrere Geschäftsjahre des Kostenpflichtigen bis zum 31. Dezember jenes FMA-Geschäftsjahres, für das die Ist-Kostenverrechnung durchgeführt wird, so gelten diese als vorangegangenes Geschäftsjahr im Sinne des Abs. 2.
(4) Korrekturmeldungen von meldepflichtigen Instituten betreffend Daten des vorangegangenen Geschäftsjahres hat die FMA zu berücksichtigen, sofern sie bis längstens 10. Juni des Folgejahres bei der FMA einlangen.
1. eines Kreditinstituts oder sonstigen Kostenpflichtigen gemäß § 3 Abs. 1 Z 1 mit dem Mindestbetrag gemäß § 69a Abs. 4 BWG,
2. eines Zahlungsinstitutes mit dem Mindestbetrag gemäß § 89 Abs. 4 ZaDiG 2018,
3. eines E-Geldinstitutes mit dem Mindestbetrag gemäß § 22 Abs. 2 E-Geldgesetz 2010 in Verbindung mit § 89 Abs. 4 ZaDiG 2018,
4. eines Kostenpflichtigen gemäß § 3 Abs. 1 Z 2 mit den betraglichen Mindestkosten gemäß § 12 Abs. 1,
5. einer Pensionskasse mit dem sich aus § 35 Abs. 1 Z 1 PKG ergebenden Betrag,
6. eines meldepflichtigen Instituts mit der Mindestpauschale gemäß § 14 Abs. 3 Z 1,
7. eines Emittenten mit der Mindestpauschale gemäß § 14 Abs. 3 Z 2,
8. eines Clearingmitgliedes mit der Mindestpauschale gemäß § 14 Abs. 3 Z 4,
9. eines der in § 3 Abs. 1 Z 3 lit. f genannten Kostenpflichtigen mit der Mindestpauschale gemäß § 14 Abs. 3 Z 5, soweit es sich aber um einen registrierten AIFM gemäß § 3 Abs. 1 Z 3 lit. f handelt, mit der Mindestpauschale gemäß § 14 Abs. 3 Z 6,
10. eines Administrators mit der Mindestpauschale gemäß § 14 Abs. 3 Z 7,
(Anm.: Z 11 aufgehoben durch Z 5, BGBl. II Nr. 387/2024)
12. einer abwicklungsrelevanten Wertpapierfirma (§ 3 Abs. 1 Z 3 lit. i) mit der Mindestpauschale gemäß § 14 Abs. 3 Z 8 und
13. eines ART- oder EMT-Emittenten oder CASP gemäß § 3 Abs. 1 Z 3 lit. j mit der Mindestpauschale gemäß § 14 Abs. 3 Z 9
festzusetzen.
(5) Im Falle des Abs. 4 ist die FMA berechtigt, den Kostenanteil eines Kostenpflichtigen gemäß § 13 Abs. 1 Z 3, dem eine Konzession zur Erbringung von Wertpapierdienstleistungen gemäß § 3 Abs. 2 WAG 2018 erteilt wurde, auf Grundlage der im Rahmen der Konzessionierung gemäß § 3 Abs. 8 WAG 2018 in Verbindung mit § 4 Abs. 3 Z 3 BWG vorzulegenden Budgetrechnung festzusetzen. § 17 bleibt hierbei unberührt.
(6) Liegen für ein Mitgliedinstitut einer Sicherungseinrichtung (§ 3 Abs. 1 Z 1 lit. c) keine Datenmeldungen vor, so wird dieses Mitgliedinstitut bei der gemäß § 56 Abs. 2 ESAEG vorgesehenen Bildung der Summe der nach § 69a Abs. 2 BWG festgestellten Kostenzahlen der dieser Sicherungseinrichtung zugehörigen Mitgliedsinstitute unter Anwendung der Bestimmungen über die behördliche Kostenfestsetzung gemäß Abs. 1 bis 3 berücksichtigt.
(2) Schwarmfinanzierungsdienstleister gemäß § 3 Abs. 1 Z 3 lit. h bilden keinen eigenen Subrechnungskreis und sind direkt dem Rechnungskreis 3 zugeordnet.
(3) Kosten eines Subrechnungskreises gemäß Abs. 1, dem Aufsichtsaufwand nach den in § 2 Abs. 3 FMABG genannten Aufsichtsgesetzen zugeordnet ist, für den jedoch im abzurechnenden FMA-Geschäftsjahr niemand die Voraussetzungen der Kostenpflicht erfüllt, sind als nicht direkt zurechenbare Kosten des Rechnungskreises Wertpapieraufsicht (§ 19 Abs. 1 Z 3 FMABG) zu behandeln. Der jeweilige Subrechnungskreis nimmt an der Verteilung dieser nicht direkt zurechenbaren Kosten nach Verhältniszahlen nicht teil.
7. Administratoren gemäß § 13 Abs. 1 Z 7 500 Euro;
8. abwicklungsrelevante Wertpapierfirmen gemäß § 13 Abs. 1 Z 8 500 Euro;
9. ART- und EMT-Emittenten sowie CASP gemäß § 13 Abs. 1 Z 9 500 Euro;
Maßgeblich für die Zuordnung zu Z 3 oder Z 3a ist grundsätzlich der jeweilige Berechtigungsumfang zum 31. Dezember des zweitvorangegangenen Kalenderjahres zu dem FMA-Geschäftsjahr, für das die Vorauszahlung zu leisten ist, ohne damalige Berechtigung zur Erbringung von Wertpapierdienstleistungen jedoch 500 Euro.
(4) Die Mindestpauschale für kostenpflichtige Schwarmfinanzierungsdienstleister gemäß § 13 Abs. 2 entspricht dem Parameter F gemäß § 14a Abs. 2.
5. der fixkostenbezogene Einzelbetrag F beträgt 500 Euro;
(3) Ergibt bei der gemäß Abs. 2 durchgeführten Berechnung das aufwandbezogene Produkt aus den Parametern E und N einen Betrag in Höhe von mehr als 2 vH der umsatzbezogenen aggregierten Relationsgröße U gesamt , so ist abweichend von Abs. 2 für das Produkt aus den Parametern E und N ein Betrag in Höhe von 2 vH von U gesamt zugrunde zu legen.
(4) § 7 ist auf Kostenpflichtige gemäß § 13 Abs. 2 mit den folgenden Maßgaben anzuwenden:
1. Für die Bemessungsgrundlage b gemäß § 7 Abs. 3 ist der letzte anhand von Referenzwerten berechenbare Pauschalbetrag P gemäß Abs. 2 aus Vorperioden zugrunde zu legen;
2. der Kostenanteil gemäß § 7 Abs. 4 entspricht dem Parameter F gemäß Abs. 2 Z 5.
Das Gewicht ist
1. 50 vH bei Wertpapierdienstleistungsunternehmen,
2. 80 vH bei inländischen Wertpapierfirmen gemäß Art. 1 Abs. 2 zweiter Unterabsatz oder Art. 12 IFR sowie bei über eine Zweigstelle gemäß § 21 WAG 2018 im Inland tätigen Drittlandfirmen,
3. 100 vH bei inländischen Wertpapierfirmen, die zur Erbringung von Wertpapierdienstleistungen gemäß § 3 Abs. 2 Z 1 bis 3, 6 oder 9 WAG 2018 berechtigt sind, ohne unter Z 2 oder 4 zu fallen, sowie bei Zentralverwahrern,
4. 125 vH bei inländischen Wertpapierfirmen, die zur Erbringung von Wertpapierdienstleistungen gemäß § 3 Abs. 2 Z 4, 5, 7 oder 8 WAG 2018 berechtigt sind, ohne unter Z 2 zu fallen, einschließlich Wertpapierfirmen gemäß Art. 12 Abs. 1 DLT-Pilot-Verordnung,
5. 67 vH bei Unternehmen der Vertragsversicherung, Verwaltungsgesellschaften und AIFM sowie bei über eine Zweigstelle gemäß § 19 WAG 2018 im Inland tätigen Wertpapierfirmen.
Maßgeblich für die Gewichtung ist der jeweilige Berechtigungsumfang zum 31. Dezember des jeweiligen FMA-Geschäftsjahres.
(3a) Bei Unternehmen der Vertragsversicherung sind im Rahmen der Gewichtung nur Erlöse aus Vermittlungsgeschäften gemäß § 6 Abs. 3 VAG 2016 zu berücksichtigen, bei Verwaltungsgesellschaften nur solche aus Dienstleistungen gemäß § 5 Abs. 2 Z 3 und 4 InvFG 2011 und bei AIFM nur solche aus Dienstleistungen gemäß § 4 Abs. 4 Z 1 und 2 lit. a und c AIFMG. Bei Zentralverwahrern sind die Erlöse aus Dienstleistungen zu berücksichtigen, die erlaubterweise gemäß Art. 17 Abs. 5 in Verbindung mit Art. 18 CSDR erbracht worden sind.
(3b) Bei Wertpapierfirmen gemäß Art. 12 Abs. 1 DLT-Pilot-Verordnung sind neben Umsatzerlösen aus Wertpapierdienstleistungsgeschäften auch Umsatzerlöse aus Abwicklungsdienstleistungen aufgrund des Betriebs eines DLT-Handels- und Abwicklungssystems zu berücksichtigen.
(4) Bei einem Kostenpflichtigen im Ausland, der über eine Zweigstelle im Inland tätig wird, treten an die Stelle seiner Umsatzerlöse die Umsatzerlöse, die seiner Zweigstelle zuzurechnen wären, wenn sie ein hundertprozentiges Tochterunternehmen des Kostenpflichtigen wäre. Unabhängig von einer bestehenden Zweigstelle gehören hierzu auch Umsatzerlöse, die im Wege der Niederlassungsfreiheit gemäß § 19 WAG 2018 in Österreich durch Heranziehung vertraglich gebundener Vermittler in Österreich erwirtschaftet werden.
8. soweit auf Bestimmungen des Wertpapieraufsichtsgesetzes 2018 – WAG 2018, BGBl. I Nr. 107/2017, verwiesen wird, ist dieses in der Fassung des Bundesgesetzes BGBl. I Nr. 50/2025 anzuwenden;
9. soweit auf Bestimmungen des Börsegesetzes 2018 – BörseG 2018, BGBl. I Nr. 107/2017, verwiesen wird, ist dieses in der Fassung des Bundesgesetzes BGBl. I Nr. 50/2025 anzuwenden;
10. soweit auf Bestimmungen des Zentralen Gegenparteien-Vollzugsgesetzes – ZGVG, BGBl. I Nr. 97/2012, verwiesen wird, ist dieses in der Fassung des Bundesgesetzes BGBl. I Nr. 49/2025 anzuwenden;
11. soweit auf Bestimmungen des Zentralverwahrer-Vollzugsgesetzes – ZvVG, BGBl. I Nr. 69/2015, verwiesen wird, ist dieses in der Fassung des Bundesgesetzes BGBl. I Nr. 49/2025 anzuwenden;
12. soweit auf Bestimmungen des Investmentfondsgesetzes 2011 – InvFG 2011, BGBl. I Nr. 77/2011, verwiesen wird, ist dieses in der Fassung des Bundesgesetzes BGBl. I Nr. 50/2025 anzuwenden;
13. soweit auf Bestimmungen des Alternative Investmentfonds Manager-Gesetzes – AIFMG, BGBl. I Nr. 135/2013, verwiesen wird, ist dieses in der Fassung des Bundesgesetzes BGBl. I Nr. 49/2025 anzuwenden;
14. soweit auf Bestimmungen des Immobilien-Investmentfondsgesetzes – ImmoInvFG, BGBl. I Nr. 80/2003, verwiesen wird, ist dieses in der Fassung des Bundesgesetzes BGBl. I Nr. 34/2025 anzuwenden;
15. soweit auf Bestimmungen des Betrieblichen Mitarbeiter- und Selbständigenvorsorgegesetzes – BMSVG, BGBl. I Nr. 100/2002, verwiesen wird, ist dieses in der Fassung des Bundesgesetzes BGBl. I Nr. 47/2025 anzuwenden;
16. soweit auf Bestimmungen des Pensionskassengesetzes – PKG, BGBl. Nr. 281/1990, verwiesen wird, ist dieses in der Fassung des Bundesgesetzes BGBl. I Nr. 112/2024 anzuwenden;
17. soweit auf Bestimmungen des Finanzkonglomerategesetzes – FKG, BGBl. I Nr. 70/2004, verwiesen wird, ist dieses in der Fassung des Bundesgesetzes BGBl. I Nr. 237/2022 anzuwenden;
18. soweit auf Bestimmungen des Finanzmarkt-Geldwäschegesetzes – FM-GwG, BGBl. I Nr. 118/2016, verwiesen wird, ist dieses in der Fassung des Bundesgesetzes BGBl. I Nr. 151/2024 anzuwenden;
19. soweit auf Bestimmungen des Referenzwerte-Vollzugsgesetzes – RW-VG, BGBl. I Nr. 93/2017, verwiesen wird, ist dieses in der Fassung des Bundesgesetzes BGBl. I Nr. 198/2021 anzuwenden;
20. soweit auf Bestimmungen des Schwarmfinanzierung-Vollzugsgesetzes, BGBl. I Nr. 225/2021, verwiesen wird, in dieser Verordnung Schwarmfinanzierung-VG genannt, ist dieses in der Fassung des Bundesgesetzes BGBl. I Nr. 50/2025 anzuwenden;
21. soweit auf Bestimmungen des DLT-Verordnung-Vollzugsgesetzes – DLT-VVG, BGBl. I Nr. 63/2023, verwiesen wird, ist dieses in seiner Stammfassung anzuwenden;
22. soweit auf Bestimmungen des MiCA-Verordnung-Vollzugsgesetzes – MiCA-VVG, BGBl. I Nr. 111/2024, verwiesen wird, ist dieses in seiner Stammfassung anzuwenden;
23. soweit auf Bestimmungen des Kreditdienstleister- und Kreditkäufergesetzes – KKG, BGBl. I Nr. 6/2025, verwiesen wird, ist dieses in seiner Stammfassung anzuwenden.
(2) Für Verweise auf Unionsrecht in dieser Verordnung gilt Folgendes:
1. Soweit auf Bestimmungen der Verordnung (EU) Nr. 575/2013, in dieser Verordnung CRR genannt, verwiesen wird, ist die Verordnung (EU) Nr. 575/2013 über Aufsichtsanforderungen an Kreditinstitute und zur Änderung der Verordnung (EU) Nr. 648/2012, ABl. Nr. L 176 vom 27.06.2013 S. 1, in der Fassung der Verordnung (EU) 2025/1215, ABl. Nr. L 2025/1215 vom 25.06.2025 anzuwenden;
2. soweit auf Bestimmungen der Verordnung (EU) Nr. 909/2014, in dieser Verordnung CSDR genannt, verwiesen wird, ist die Verordnung (EU) Nr. 909/2014 zur Verbesserung der Wertpapierlieferungen und -abrechnungen in der Europäischen Union und über Zentralverwahrer sowie zur Änderung der Richtlinien 98/26/EG und 2014/65/EU und der Verordnung (EU) Nr. 236/2012, ABl. Nr. L 257 vom 28.08.2014 S. 1, in der Fassung der Verordnung (EU) 2023/2845, ABl. Nr. L 2023/2845 vom 27.12.2023 anzuwenden;
3. soweit auf Bestimmungen der Verordnung (EU) Nr. 648/2012, in dieser Verordnung EMIR genannt, verwiesen wird, ist die Verordnung (EU) Nr. 648/2012 über OTC-Derivate, zentrale Gegenparteien und Transaktionsregister, ABl. Nr. L 201 vom 27.07.2012 S. 1, in der Fassung der Verordnung (EU) 2025/1, ABl. Nr. L 2025/1 vom 08.01.2025, anzuwenden;
4. soweit auf Bestimmungen der Verordnung (EU) Nr. 600/2014, in dieser Verordnung MiFIR genannt, verwiesen wird, ist die Verordnung (EU) Nr. 600/2014 über Märkte für Finanzinstrumente und zur Änderung der Verordnung (EU) Nr. 648/2012, ABl. Nr. L 173 vom 12.06.2014 S. 84, in der Fassung der Verordnung (EU) 2024/2809, ABl. Nr. L 2024/2809 vom 14.11.2024, anzuwenden;
5. soweit auf Bestimmungen der Richtlinie 2014/65/EU, in dieser Verordnung MiFID II genannt, verwiesen wird, ist die Richtlinie 2014/65/EU über Märkte für Finanzinstrumente sowie zur Änderung der Richtlinien 2002/92/EG und 2011/61/EU, ABl. Nr. L 173 vom 12.06.2014 S. 349, in der Fassung der Richtlinie (EU) 2024/2811, ABl. Nr. L 2024/2811 vom 14.11.2024, anzuwenden;
6. soweit auf Bestimmungen der Delegierten Verordnung (EU) 2017/590, in dieser Verordnung Melde-RTS genannt, verwiesen wird, ist die Delegierte Verordnung (EU) 2017/590 zur Ergänzung der Verordnung (EU) Nr. 600/2014 durch technische Regulierungsstandards für die Meldung von Geschäften an die zuständigen Behörden, ABl. Nr. L 87 vom 31.03.2017 S. 449, in der Fassung der Berichtigung ABl. Nr. L 250 vom 28.09.2017 S. 76, anzuwenden;
7. soweit auf Bestimmungen der Verordnung (EU) 2016/1011, in dieser Verordnung BMR genannt, verwiesen wird, ist die Verordnung (EU) 2016/1011 über Indizes, die bei Finanzinstrumenten und Finanzkontrakten als Referenzwert oder zur Messung der Wertentwicklung eines Investmentfonds verwendet werden, und zur Änderung der Richtlinien 2008/48/EG und 2014/17/EU sowie der Verordnung (EU) Nr. 596/2014, ABl. Nr. L 171 vom 29.06.2016 S. 1, in der Fassung der Verordnung (EU) 2025/914, ABl. Nr. L 2025/914 vom 19.05.2025, anzuwenden;
8. soweit auf Bestimmungen der Verordnung (EU) 2020/1503, in dieser Verordnung ECSPR genannt, verwiesen wird, ist die Verordnung (EU) 2020/1503 über Europäische Schwarmfinanzierungsdienstleister für Unternehmen und zur Änderung der Verordnung (EU) 2017/1129 und der Richtlinie (EU) 2019/1937, ABl. Nr. L 347 vom 20.10.2020 S. 1, in ihrer Stammfassung anzuwenden;
9. soweit auf Bestimmungen der Verordnung (EU) 2019/2033, in dieser Verordnung IFR genannt, verwiesen wird, ist die Verordnung (EU) 2019/2033 über Aufsichtsanforderungen an Wertpapierfirmen und zur Änderung der Verordnungen (EU) Nr. 1093/2010, (EU) Nr. 575/2013, (EU) Nr. 600/2014 und (EU) Nr. 806/2014, ABl. Nr. L 314 vom 05.12.2019 S. 1, in der Fassung der Verordnung (EU) 2023/2869, ABl. Nr. L 2023/2869 vom 20.12.2023, anzuwenden;
10. soweit auf Bestimmungen der Verordnung (EU) 2022/858, in dieser Verordnung DLT-Pilot-Verordnung genannt, verwiesen wird, ist die Verordnung (EU) 2022/858 über eine Pilotregelung für auf Distributed-Ledger-Technologie basierende Marktinfrastrukturen und zur Änderung der Verordnungen (EU) Nr. 600/2014 und (EU) Nr. 909/2014 sowie der Richtlinie 2014/65/EU, ABl. Nr. L 151 vom 02.06.2022 S. 1, in ihrer Stammfassung anzuwenden;
11. soweit auf Bestimmungen der Verordnung (EU) 2023/1114, in dieser Verordnung MiCAR genannt, verwiesen wird, ist die Verordnung (EU) 2023/1114 über Märkte für Kryptowerte und zur Änderung der Verordnungen (EU) Nr. 1093/2010 und (EU) Nr. 1095/2010 sowie der Richtlinien 2013/36/EU und (EU) 2019/1937, ABl. Nr. L 150 vom 09.06.2023 S. 40, in der Fassung der Verordnung (EU) 2023/2869, ABl. Nr. L 2023/2869 vom 20.12.2023 anzuwenden.
1. Darf eine der in § 6 Abs. 1 Z 1 genannten Meldungen unter Ausnutzung einer Fristverlängerung gemäß § 2 Abs. 1 FMA-FriVerV 2020 bis zu vier Monate später gemeldet werden, so verlängert sich die Frist für Korrekturmeldungen betreffend die Kostengrundlage gemäß § 6 Abs. 4 dementsprechend;
2. darf die in § 6 Abs. 1 Z 2 lit. a genannte Meldung unter Ausnutzung einer Fristverlängerung gemäß § 3 Abs. 2 Z 1 FMA-FriVerV 2020 mehr als einen Monat und bis zu zwei Monate später gemeldet werden, so verlängert sich die Frist für die Datenmeldung betreffend die Kostengrundlage gemäß § 6 Abs. 2 um den über einen Monat hinausgehenden Zeitraum entsprechend;
3. darf die in § 6 Abs. 1 Z 2 lit. b genannte Meldung unter Ausnutzung einer Fristverlängerung gemäß § 3 Abs. 4 Z 2 FMA-FriVerV 2020 bis spätestens zum 31. Juli 2020 gemeldet werden, so verlängert sich die Frist für die Datenmeldung betreffend die Kostengrundlage gemäß § 6 Abs. 2 entsprechend;
4. darf die in § 6 Abs. 1 Z 4 genannte Meldung unter Ausnutzung einer Fristverlängerung gemäß § 4 Abs. 2 FMA-FriVerV 2020 bis zu einen Monat später gemeldet werden, so verlängert sich die Frist für die Datenmeldung betreffend die Kostengrundlage gemäß § 6 Abs. 2 dementsprechend.
(10) § 1 Z 2, § 3 Abs. 1 Z 3 lit. a sowie Z 4 und 5, § 4 Abs. 1 und 2, § 6 Abs. 1 Z 3 bis 5 und Abs. 2, § 7 Abs. 4 Z 11 und 12, § 9 Abs. 1, § 17 Abs. 1 und 4, § 20 Abs. 1, § 21a samt Überschriften und § 22 in der Fassung der Verordnung BGBl. II Nr. 368/2020 treten mit 30. September 2020 in Kraft. Unbeschadet bescheidmäßig aufgegebener Meldepflichten gemäß § 28 Abs. 6 letzter Satz FM-GwG sind Referenzdaten gemäß § 21a Abs. 2 erstmalig für den Zeitraum vom 2. Halbjahr 2020 bis zum 1. Halbjahr 2021 gemäß § 21a Abs. 1 bis zum 10. August 2021 zu melden.
(11) (zu § 21a): Für das FMA-Geschäftsjahr 2020 haben Kostenpflichtige gemäß § 3 Abs. 1 Z 5 einheitlich einen pauschalen Kostenbeitrag in Höhe von 500 Euro und für das FMA-Geschäftsjahr 2021 eine pauschale Vorauszahlung in Höhe von 500 Euro zu leisten.
(12) § 21a Abs. 3 und 5 und § 22 in der Fassung der Verordnung BGBl. II Nr. 408/2021 treten mit 30. September 2021 in Kraft.
(13) § 1 Z 3, § 3 Abs. 1 Z 3 lit. h, § 3 Abs. 3, § 6 Abs. 1 Z 3 lit. e, § 7 Abs. 4, § 9 Abs. 1, § 13, § 14 Abs. 1, 3 und 4, § 14a samt Überschrift, § 15 Abs. 5, § 16 Abs. 1, § 17 Abs. 1, 2 und 3, § 19 Abs. 1, § 20 Abs. 1, 2 und 3, § 21 Abs. 1 und Abs. 2 zweiter Satz und § 22 in der Fassung der Verordnung BGBl. II Nr. 339/2022 treten mit 15. September 2022 in Kraft.
(14) § 1 Z 3, § 3 Abs. 1 Z 1 lit. a sublit. aa Einleitungssatz sowie dritter und vierter Anstrich, lit. b, Z 3 lit. c und d sublit. aa und cc, lit. h und i, Abs. 3 und 4, § 6 Abs. 1 Z 1 lit. a und Z 3 lit. f, § 7 Abs. 4 Z 10 bis 12, Abs. 5 erster Satz, § 13 Abs. 1 Z 7 und 8, § 14 Abs. 3 Z 3, 3a, 7 und 8, § 17 Abs. 2 erster Satz, Abs. 3, 3a und 3b, § 17a samt Überschrift und § 22 in der Fassung der Verordnung BGBl. II Nr. 219/2023 treten mit 1. September 2023 in Kraft und sind auf FMA-Geschäftsjahre anzuwenden, die nach dem 31. Dezember 2022 beginnen.
(15) § 1 Z 3, § 3 Abs. 1 Z 3 lit. j, § 6 Abs. 1 Z 3 lit. g und § 6 Abs. 1 Z 5, § 7 Abs. 4 Z 11 bis 13, § 13 Abs. 1 Z 8 und 9, § 14 Abs. 3 Z 8 und 9 sowie der Schlussteil des § 14 Abs. 3, § 14a Abs. 1, Abs. 2 Z 1 und Abs. 3, § 17 Abs. 3 zweiter und dritter Satz, § 21a samt Überschrift, § 21b und § 22 in der Fassung der Verordnung BGBl. II Nr. 264/2024 treten mit 30. September 2024 in Kraft.
(16) (Zum Entfall von § 3 Abs. 1 Z 5, § 6 Abs. 1 Z 5, § 7 Abs. 4 Z 11 und § 21b): Auf FMA-Geschäftsjahre, die vor dem 31. Dezember 2024 beginnen, sind § 3 Abs. 1 Z 5, § 6 Abs. 1 Z 5 und Abs. 2, § 7 Abs. 4 Z 11 und § 21b in der Fassung der Verordnung BGBl. II Nr. 264/2024 weiterhin anzuwenden. Für das FMA-Geschäftsjahr 2025 gelten Dienstleister, welche vor dem 30. Dezember 2024 als Dienstleister in Bezug auf virtuelle Währungen gemäß § 32a FM-GwG in der Fassung des Bundesgesetzes BGBl. I Nr. 98/2021 registriert wurden, in dieser Verordnung als CASP. Die für das FMA-Geschäftsjahr 2025 vorgeschriebenen Vorauszahlungen dieser Dienstleister in Bezug auf virtuelle Währungen sind als Vorausleistungen auf ihre Kostenpflicht im Subrechnungskreis gemäß § 13 Abs. 1 Z 9 zu behandeln.
(17) § 3 Abs. 1 Z 4 und § 6 Abs. 1 Z 4 und Abs. 2 in der Fassung der Verordnung BGBl. II Nr. 387/2024 treten mit 30. Dezember 2024 in Kraft. § 1 Z 2 in der Fassung der Verordnung BGBl. II Nr. 387/2024 tritt mit 1. Jänner 2026 in Kraft. § 3 Abs. 1 Z 5, § 6 Abs. 1 Z 5, § 7 Abs. 4 Z 11 und 2. Hauptstück 4. Abschnitt treten mit Ablauf des 29. Dezember 2024 außer Kraft.
(18) § 3 Abs. 1 Z 1 lit. a sublit. dd zweiter Anstrich und sublit. ee, Z 3 lit. g, § 13 Abs. 3, § 17a, § 21 und § 22 in der Fassung der Verordnung BGBl. II Nr. 201/2025 treten mit 30. September 2025 in Kraft. Auf FMA-Geschäftsjahre, die vor dem 31. Dezember 2025 beginnen, sind § 3 Abs. 1 Z 3 lit. g und § 21 in der Fassung der Verordnung BGBl. II Nr. 387/2024 weiterhin anzuwenden.