Regelungsgegenstand
§ 2Begriffsbestimmungen
§ 3Unwirksame Vereinbarungen
§ 4Unentgeltlichkeit von Informationen
§ 5Anwendungsbereich
§ 6Werbung
§ 7Allgemeine Informationen
§ 8Vorvertragliche Informationspflichten
§ 9Prüfung der Kreditwürdigkeit des Verbrauchers
§ 10Vorvertragliche Informationen zur Kreditwürdigkeitsprüfung
§ 11Zugang zu Datenbanken
§ 12Verbindliche Angebote
§ 13Rücktrittsrecht
§ 14Standards für Beratungsdienstleistungen
§ 15Wohlverhaltensregeln in Bezug auf die Vergabe von Verbraucherkrediten
§ 16Tilgungsplan
§ 17Änderung des Sollzinssatzes; Kontomitteilung
§ 18Kündigungsrecht und ähnliche Rechte des Kreditgebers
§ 17aInformationen zur Änderung der Bedingungen des Kreditvertrags
§ 18Kündigungsrecht und ähnliche Rechte des Kreditgebers
§ 19Kündigung durch den Verbraucher
§ 19Kündigung durch den Verbraucher
§ 20Vorzeitige Rückzahlung
§ 21Forderungsabtretung
§ 20Vorzeitige Rückzahlung
§ 21Forderungsabtretung
§ 22Kreditverträge mit variablem Zinssatz
§ 22Kreditverträge mit variablem Zinssatz
§ 23Kopplungs- und Bündelungsgeschäfte
Dieses Bundesgesetz regelt zur Umsetzung der Richtlinie 2014/17/EU über Wohnimmobilienkreditverträge für Verbraucher und zur Änderung der Richtlinien 2008/48/EG und 2013/36/EU und der Verordnung (EU) Nr. 1093/2010, ABl. Nr. L 60 vom 28.02.2014 S. 34, in der Fassung der Berichtigung ABl. Nr. L 47 vom 20.02.2015 S. 34 und der Berichtigung ABl. Nr. L 246 vom 23.09.2015 S. 11, bestimmte Gesichtspunkte von Verbraucherkreditverträgen und anderen Formen der Kreditierung zu Gunsten von Verbrauchern, wenn diese Verträge entweder an einer Liegenschaft oder einem Superädifikat besichert werden oder für den Erwerb oder die Erhaltung von Eigentumsrechten an einer unbeweglichen Sache oder einem bestehenden oder geplanten Superädifikat bestimmt sind.
(1) Kreditgeber ist ein Unternehmer im Sinn des § 1 Abs. 1 Z 1 KSchG, der einen Kredit gewährt oder zu gewähren verspricht oder eine sonstige Kreditierung einräumt.
(2) Kreditnehmer ist ein Verbraucher im Sinn des § 1 Abs. 1 Z 2 und Abs. 3 KSchG, der einen Kredit oder eine sonstige Kreditierung in Anspruch nimmt.
(3) Verbraucherkreditvertrag (Kreditvertrag) ist ein Kreditvertrag im Sinn des § 988 ABGB, an dem ein Unternehmer als Kreditgeber und ein Verbraucher als Kreditnehmer beteiligt sind.
(4) Nebenleistung ist eine Dienstleistung, die dem Verbraucher im Zusammenhang mit dem Kreditvertrag angeboten wird.
(5) Kreditvermittler ist eine natürliche oder juristische Person, die nicht als Kreditgeber oder als Notar handelt, die nicht lediglich einen Verbraucher direkt oder indirekt mit einem Kreditgeber oder Kreditvermittler in Kontakt bringt und die in Ausübung ihrer gewerblichen oder beruflichen Tätigkeit gegen eine Vergütung, die aus einer Geldzahlung oder einem sonstigen vereinbarten wirtschaftlichen Vorteil bestehen kann,
1. Verbrauchern Kreditverträge oder sonstige Kreditierungen vorstellt oder anbietet,
2. Verbrauchern bei anderen als den in Z 1 genannten Vorarbeiten oder anderen vorvertraglichen administrativen Tätigkeiten zum Abschluss von Kreditverträgen oder sonstigen Kreditierungen behilflich ist oder
3. für den Kreditgeber Kreditverträge mit Verbrauchern abschließt oder bei sonstigen Kreditierungen für den Kreditgeber handelt.
(6) Gruppe ist eine Gruppe von Kreditgebern, die zum Zweck der Erstellung eines konsolidierten Abschlusses im Sinn der Richtlinie 2013/34/EU über den Jahresabschluss, den konsolidierten Abschluss und damit verbundene Berichte von Unternehmen bestimmter Rechtsformen und zur Änderung der Richtlinie 2006/43/EG des Europäischen Parlaments und des Rates und zur Aufhebung der Richtlinien 78/660/EWG und 83/349/EWG des Rates, ABl. Nr. L 182 vom 29.06.2013 S. 19, zuletzt geändert durch die Richtlinie 2014/102/EU, ABl. Nr. L 334 vom 21.11.2014 S. 86, zu konsolidieren sind.
(7) Gebundener Kreditvermittler ist ein Kreditvermittler, der im Namen und unter der unbeschränkten und vorbehaltlosen Verantwortung
Soweit in Vereinbarungen zum Nachteil des Verbrauchers von den Bestimmungen dieses Bundesgesetzes abgewichen wird, sind sie unwirksam.
Wenn dieses Bundesgesetz Informationen für Verbraucher vorsieht, sind diese Informationen unentgeltlich zu erteilen.
(1) Dieser Abschnitt gilt für Verbraucherkreditverträge (Kreditverträge),
1. die durch ein Pfandrecht oder ein sonstiges Recht an einer unbeweglichen Sache oder einem Superädifikat besichert werden oder
2. die für den Erwerb oder die Erhaltung von Eigentumsrechten an einer unbeweglichen Sache oder einem bestehenden oder geplanten Superädifikat bestimmt sind.
(2) Dieser Abschnitt gilt nicht für Kreditverträge,
1. die zwischen Arbeitgebern und Arbeitnehmern als Nebenleistung aus dem Arbeitsverhältnis zu einem effektiven Jahreszins unter dem marktüblichen Zins geschlossen werden,
2. die in Gestalt eines vor einem Gericht oder einer sonstigen staatlichen Einrichtung geschlossenen Vergleichs oder als dessen Ergebnis geschlossen werden,
3. die mit einem begrenzten Kundenkreis im Rahmen gesetzlicher Bestimmungen im Gemeinwohlinteresse geschlossen werden, sei es zinslos oder zu einem niedrigeren als dem marktüblichen Zinssatz oder zu anderen, für den Verbraucher günstigeren als den marktüblichen Bedingungen und zu Zinssätzen, die nicht über den marktüblichen Zinssätzen liegen,
4. die Immobilienverzehrkredite sind.
(1) Werden in einer Werbung für Kreditverträge Zinssätze oder sonstige auf die Kosten eines Kredits für den Verbraucher bezogene Zahlen genannt, so muss die Werbung klar, prägnant und auffallend folgende Standardinformationen enthalten:
1. die Identität des Kreditgebers oder gegebenenfalls des Kreditvermittlers,
2. gegebenenfalls den Hinweis, dass der Kreditvertrag durch ein Pfandrecht oder ein sonstiges Recht an einer unbeweglichen Sache oder einem Superädifikat besichert wird,
3. den Sollzinssatz und die Angabe, ob es sich um einen festen oder einen variablen Zinssatz oder eine Kombination aus beiden handelt, sowie Einzelheiten aller für den Verbraucher anfallenden, in die Gesamtkreditkosten einbezogenen Kosten,
4. den Gesamtkreditbetrag,
5. den effektiven Jahreszins, der in der Werbung mindestens genauso hervorzuheben ist wie jeder Zinssatz,
6. gegebenenfalls die Laufzeit des Kreditvertrags,
7. gegebenenfalls die Höhe der Raten,
8. gegebenenfalls den vom Verbraucher zu zahlenden Gesamtbetrag,
9. gegebenenfalls die Anzahl der Raten,
10. gegebenenfalls einen Warnhinweis, dass sich mögliche Wechselkursschwankungen auf die Höhe des vom Verbraucher zu zahlenden Betrags auswirken könnten.
Kreditgeber und gegebenenfalls gebundene Kreditvermittler haben jederzeit klare und verständliche allgemeine Informationen über Kreditverträge auf Papier oder auf einem anderen dauerhaften Datenträger oder in elektronischer Form bereitzustellen. Diese allgemeinen Informationen haben zumindest zu umfassen:
1. die Identität und Anschrift des Urhebers der Informationen;
2. die Zwecke, für die der Kredit verwendet werden kann;
3. die Formen von Sicherheiten einschließlich gegebenenfalls der Möglichkeit, dass diese in einem anderen Mitgliedstaat belegen sein dürfen;
4. die mögliche Laufzeit der Kreditverträge;
5. die Arten von angebotenen Sollzinssätzen mit Angabe, ob es sich um einen festen oder einen variablen Zinssatz oder beide handelt, mit einer kurzen Darstellung der Merkmale eines festen und eines variablen Zinssatzes, einschließlich der sich daraus ergebenden Konsequenzen für den Verbraucher;
5a. falls Verträge verfügbar sind, in denen auf einen Referenzwert im Sinn des Artikels 3 Absatz 1 Nummer 3 der Verordnung (EU) 2016/1011 über Indizes, die bei Finanzinstrumenten und Finanzkontrakten als Referenzwert oder zur Messung der Wertentwicklung eines Investmentfonds verwendet werden, und zur Änderung der Richtlinien 2008/48/EG und 2014/17/EU sowie der Verordnung (EU) Nr. 596/2014, ABl. Nr. L 171 vom 29.06.2016 S. 1, in der Fassung der Berichtigung ABl. Nr. L 306 vom 15.11.2016, S. 43, Bezug genommen wird, die Namen der Referenzwerte und ihrer Administratoren sowie die möglichen Auswirkungen auf den Verbraucher;
6. falls Fremdwährungskredite verfügbar sind, eine Angabe der ausländischen Währungen, einschließlich einer Erläuterung der Konsequenzen für den Verbraucher in Fällen, in denen der Kredit auf eine ausländische Währung lautet;
(1) Der Kreditgeber hat dem Verbraucher auf ihn zugeschnittene Informationen zu erteilen, die der Verbraucher benötigt, um die auf dem Markt verfügbaren Kreditprodukte zu vergleichen, ihre jeweiligen Auswirkungen zu prüfen und eine fundierte Entscheidung über den Abschluss eines Kreditvertrags zu treffen.
(2) Diese Informationen sind auf Papier oder einem anderen dauerhaften Datenträger mittels des ESIS-Merkblatts in Anhang II zu erteilen, und zwar
1. unverzüglich nachdem der Verbraucher die erforderlichen Angaben zu seinen Bedürfnissen, seiner finanziellen Situation und seinen Präferenzen gemäß § 9 Abs. 2 gemacht hat, und
2. rechtzeitig, bevor der Verbraucher durch einen Kreditvertrag oder ein Angebot gebunden ist.
(3) Mit der Vorlage des ESIS-Merkblatts gelten die Anforderungen in Bezug auf die Information des Verbrauchers vor Abschluss eines Fernabsatzvertrags gemäß § 5 Abs. 1 FernFinG durch den Kreditgeber als erfüllt. Die Anforderungen des § 7 Abs. 1 FernFinG gelten nur dann als erfüllt, wenn das ESIS-Merkblatt zumindest vor Abschluss des Vertrags vorgelegt worden ist.
(4) Bei Ferngesprächen im Sinn des § 6 FernFinG muss die nach § 6 Abs. 2 Z 2 FernFinG gebotene Beschreibung der Hauptmerkmale der Finanzdienstleistung zumindest die in Anhang II Teil A Abschnitte 3 bis 6 vorgesehenen Angaben enthalten.
(5) Etwaige zusätzliche Informationen, die der Kreditgeber dem Verbraucher erteilt, sind in einem gesonderten Dokument, das dem ESIS-Merkblatt beigefügt werden kann, mitzuteilen. Dies gilt auch dann, wenn der Kreditgeber zur Erteilung der zusätzlichen Informationen verpflichtet ist, wie etwa nach Abs. 7 und 8.
(6) Der Kreditgeber hat dem Verbraucher angemessene Erläuterungen zu den angebotenen Kreditverträgen und etwaigen Nebenleistungen zu geben, damit der Verbraucher in die Lage versetzt wird, zu beurteilen, ob die vorgeschlagenen Kreditverträge und die Nebenleistungen seinen Bedürfnissen und seiner finanziellen Situation gerecht werden. Die Erläuterungen müssen gegebenenfalls insbesondere Folgendes enthalten:
1. die vorvertraglichen Informationen gemäß Abs. 1 bis 5,
(1) Vor Abschluss eines Kreditvertrags hat der Kreditgeber eine eingehende Prüfung der Kreditwürdigkeit des Verbrauchers vorzunehmen. Bei der Kreditwürdigkeitsprüfung sind die Faktoren, die für die Prüfung der Aussichten relevant sind, dass der Verbraucher seinen Verpflichtungen aus dem Kreditvertrag nachkommt, in angemessener Form zu berücksichtigen.
(2) Die Kreditwürdigkeitsprüfung ist auf der Grundlage notwendiger, ausreichender und angemessener Informationen zu Einkommen, Ausgaben sowie anderen finanziellen und wirtschaftlichen Umständen des Verbrauchers vorzunehmen. Der Kreditgeber hat die Informationen aus einschlägigen internen oder externen Quellen zu ermitteln, einschließlich des Verbrauchers. Die Informationen müssen auch die Auskünfte einschließen, die dem Kreditvermittler im Zuge des Kreditantragsverfahrens erteilt wurden. Die Informationen sind in angemessener Weise zu überprüfen, erforderlichenfalls auch durch Einsichtnahme in unabhängig nachprüfbare Unterlagen. Der Kreditvermittler hat dem Kreditgeber die vom Verbraucher erhaltenen erforderlichen Angaben korrekt vorzulegen, damit die Kreditwürdigkeitsprüfung durchgeführt werden kann.
(3) Die Kreditwürdigkeitsprüfung darf sich nicht hauptsächlich darauf stützen, dass der Wert der unbeweglichen Sache oder des Superädifikats (der Sache) den Kreditbetrag übersteigt, oder auf die Annahme, dass der Wert der Sache zunimmt, es sei denn, der Kreditvertrag dient zum Bau oder zur Renovierung der Sache.
(4) Die Verfahren und Angaben, auf die sich die Bewertung stützt, hat der Kreditgeber festzulegen, zu dokumentieren und aufzubewahren.
(5) Der Kreditgeber darf dem Verbraucher den Kredit nur gewähren, wenn aus der Kreditwürdigkeitsprüfung hervorgeht, dass es wahrscheinlich ist, dass die Verpflichtungen im Zusammenhang mit dem Kreditvertrag in der gemäß diesem Vertrag vorgeschriebenen Weise erfüllt werden. Selbst wenn es – etwa im Hinblick auf das Alter des Verbrauchers oder seinen Gesundheitszustand – konkrete Anhaltspunkte dafür gibt, dass der Verbraucher während der Vertragslaufzeit versterben könnte, kann diese Möglichkeit unberücksichtigt bleiben, wenn
1. wahrscheinlich ist, dass der Verbraucher zu Lebzeiten den jeweils fälligen Verpflichtungen, die im Zusammenhang mit dem Kreditvertrag stehen, voraussichtlich vertragsgemäß nachkommen wird, und
2. der Wert der unbeweglichen Sache oder des Superädifikats oder der Wert anderer als Sicherheiten dienender Vermögenswerte des Verbrauchers hinreichende Gewähr für die Abdeckung der im Zusammenhang mit dem Kreditvertrag stehenden Verbindlichkeiten und eventuellen Verwertungskosten bietet.
(1) Der Kreditgeber hat in der vorvertraglichen Phase klare und einfache Angaben dazu zu machen, welche erforderlichen Informationen und unabhängig nachprüfbaren Nachweise der Verbraucher für die Kreditwürdigkeitsprüfung beizubringen hat, und den Zeitrahmen anzugeben, innerhalb dessen der Verbraucher die Informationen zu liefern hat. Dieses Auskunftsersuchen muss verhältnismäßig und auf diejenigen Auskünfte beschränkt sein, die erforderlich sind, um eine ordnungsgemäße Kreditwürdigkeitsprüfung durchzuführen. Der Kreditgeber kann um Klärung der als Antwort auf dieses Auskunftsersuchen erhaltenen Informationen nachsuchen, wo dies erforderlich ist, um eine Kreditwürdigkeitsprüfung zu ermöglichen.
(2) Der Kreditgeber oder der Kreditvermittler hat den Verbraucher darüber zu informieren, dass der Verbraucher auf Auskunftsersuchen nach Abs. 1 korrekte Angaben vorlegen muss und dass diese Angaben so vollständig sein müssen, wie dies für eine ordnungsgemäße Kreditwürdigkeitsprüfung erforderlich ist.
(3) Der Kreditgeber oder der Kreditvermittler hat den Verbraucher zu warnen, dass der Kredit nicht gewährt werden kann, wenn der Kreditgeber nicht imstande ist, eine Kreditwürdigkeitsprüfung vorzunehmen, weil sich der Verbraucher weigert, die für die Prüfung seiner Kreditwürdigkeit erforderlichen Informationen oder Nachweise vorzulegen. Die Warnung kann in standardisierter Form erfolgen.
(4) Wenn eine Datenbankabfrage vorgenommen wird, hat der Kreditgeber den Verbraucher im Einklang mit Artikel 13 der Datenschutz-Grundverordnung darüber zu informieren.
(5) Die Bestimmungen der Datenschutz-Grundverordnung bleiben unberührt.
(1) Kreditgebern aus anderen Mitgliedstaaten der Europäischen Union oder anderen Vertragsstaaten des Abkommens über den Europäischen Wirtschaftsraum ist ohne Diskriminierung der Zugang zu Datenbanken zu gewähren, die zur Bewertung der Kreditwürdigkeit des Verbrauchers verwendet werden und mit deren Verwendung ausschließlich überwacht werden soll, inwieweit Verbraucher während der Laufzeit eines Kreditvertrags ihre Kreditverpflichtungen erfüllen.
(2) Abs. 1 gilt sowohl für von privaten Kreditbüros und Kreditauskunfteien betriebene Datenbanken als auch für öffentliche Register.
(3) Die Bestimmungen der Datenschutz-Grundverordnung bleiben unberührt.
(1) Macht ein Kreditgeber dem Verbraucher ein verbindliches Angebot, so ist es auf Papier oder einem anderen dauerhaften Datenträger zu übermitteln. Der Kreditgeber oder gegebenenfalls der Kreditvermittler hat dem Verbraucher zum Zeitpunkt der Vorlage eines für den Kreditgeber verbindlichen Angebots eine Ausfertigung des Kreditvertragsentwurfs auszuhändigen. Dem Angebot ist überdies ein ESIS-Merkblatt beizufügen, wenn
1. dem Verbraucher zuvor noch kein ESIS-Merkblatt vorgelegt wurde oder
2. die Merkmale des Angebots von den Informationen abweichen, die im zuvor vorgelegten ESIS-Merkblatt enthalten sind.
(2) Ein Angebot muss für mindestens sieben Tage verbindlich bleiben. Werden allerdings der Sollzinssatz oder andere für das Angebot maßgebliche Kosten auf Basis des Verkaufs zugrunde liegender Anleihen oder anderer langfristiger Finanzierungsinstrumente festgelegt, so können der Sollzinssatz oder die anderen Kosten entsprechend dem Wert des zugrunde liegenden Wertpapiers oder des langfristigen Finanzierungsinstruments von den Angaben des Angebots abweichen.
(3) Der Verbraucher kann das Angebot auch vor Ablauf der Bindungsfrist jederzeit annehmen.
(4) Bei den nachstehend angeführten Mängeln im ESIS-Merkblatt, das dem Verbraucher bei Abgabe seiner Vertragserklärung vorliegt, gilt Folgendes:
1. Enthält das ESIS-Merkblatt keine Angaben zum Sollzinssatz, zum effektiven Jahreszins oder zu dem vom Verbraucher zu zahlenden Gesamtbetrag, so gilt der in § 1000 Abs. 1 ABGB genannte Zinssatz als vereinbarter Sollzinssatz, sofern nicht ein niedrigerer Sollzinssatz vereinbart wird. Bei einem Ratenkredit hat der Kreditgeber die dadurch verminderten Teilzahlungen zu berechnen und dem Verbraucher bekanntzugeben.
2. Ist im ESIS-Merkblatt der effektive Jahreszins zu niedrig angegeben, so gilt ein Sollzinssatz als vereinbart, der dieser Angabe unter Berücksichtigung der sonstigen Vertragsinhalte entspricht. Z 1 zweiter Satz gilt entsprechend.
(1) Gibt der Verbraucher seine Vertragserklärung innerhalb von zwei Werktagen nach Erhalt des ESIS-Merkblatts ab oder gibt er diese ab, ohne ein ESIS-Merkblatt erhalten zu haben, so kann er von seiner Vertragserklärung oder vom Vertrag innerhalb von zwei Werktagen ab Abgabe der Vertragserklärung ohne Angabe von Gründen zurücktreten. Der Samstag gilt nicht als Werktag. Die Rücktrittsfrist beginnt nicht zu laufen, bevor der Verbraucher das ESIS-Merkblatt einschließlich der Belehrung über das Rücktrittsrecht erhalten hat. Das Rücktrittsrecht erlischt spätestens einen Monat nach Zustandekommen des Vertrags.
(2) Die Frist des Abs. 1 ist jedenfalls gewahrt, wenn der Rücktritt auf Papier oder einem anderen, dem Kreditgeber zur Verfügung stehenden und zugänglichen dauerhaften Datenträger erklärt und diese Erklärung vor dem Ablauf der Frist an den Kreditgeber abgesendet wird. Der Kreditgeber muss den Rücktritt jedenfalls gegen sich gelten lassen, sofern die Rücktrittserklärung den Informationen entspricht, die er selbst dem Verbraucher gegeben hat.
(3) Nach dem Rücktritt hat der Verbraucher dem Kreditgeber unverzüglich, spätestens jedoch binnen 30 Kalendertagen nach Absendung der Rücktrittserklärung, den ausbezahlten Betrag samt den seit der Auszahlung aufgelaufenen Zinsen zurückzuzahlen. Die Zinsen sind auf der Grundlage des vereinbarten Sollzinssatzes zu berechnen. Der Kreditgeber hat überdies Anspruch auf Ersatz der Zahlungen, die er an öffentliche Stellen entrichtet hat und nicht zurückverlangen kann; sonstige Entschädigungen hat der Verbraucher nicht zu leisten.
(4) Übt der Verbraucher sein Rücktrittsrecht aus, so gilt der Rücktritt auch für eine Vereinbarung über eine Restschuldversicherung oder eine sonstige Nebenleistung, die im Zusammenhang mit dem Kreditvertrag vom Kreditgeber selbst oder auf Grund einer Vereinbarung mit dem Kreditgeber von einem Dritten erbracht wird.
(1) Unter Beratungsdienstleistungen ist die Erteilung individueller Empfehlungen an einen Verbraucher in Bezug auf ein oder mehrere Geschäfte im Zusammenhang mit Kreditverträgen zu verstehen. Beratungsdienstleistungen sind von der Gewährung eines Kredits und von der in § 2 Abs. 5 genannten Kreditvermittlungstätigkeit zu unterscheiden.
(2) Kreditgeber und Kreditvermittler haben den Verbraucher im Zusammenhang mit einem entsprechenden Geschäft ausdrücklich darüber zu informieren, ob Beratungsdienstleistungen für den Verbraucher erbracht werden oder erbracht werden können.
(3) Vor der Erbringung von Beratungsdienstleistungen oder gegebenenfalls vor dem Abschluss eines Vertrags über die Erbringung von Beratungsdienstleistungen haben Kreditvermittler dem Verbraucher folgende Informationen auf Papier oder einem anderen dauerhaften Datenträger zu erteilen:
1. ob die Empfehlung sich nur auf ihre eigene Produktpalette im Einklang mit Abs. 4 Z 2 oder eine größere Auswahl von Produkten auf dem Markt gemäß Abs. 4 Z 3 bezieht, damit der Verbraucher verstehen kann, auf welcher Grundlage die Empfehlung ergeht;
2. gegebenenfalls das vom Verbraucher für die Beratungsdienstleistungen zu zahlende Entgelt bzw. – wenn sich der Betrag zum Zeitpunkt der Offenlegung nicht feststellen lässt – die für seine Berechnung verwendete Methode.
Die in Z 1 und 2 genannten Informationen können dem Verbraucher in Form von zusätzlichen vorvertraglichen Informationen erteilt werden.
(4) Erbringen Kreditvermittler Beratungsdienstleistungen für die Verbraucher, so gilt Folgendes:
1. Kreditvermittler haben die erforderlichen Informationen über die persönliche und finanzielle Situation, Präferenzen und Ziele des Verbrauchers einzuholen, damit sie geeignete Kreditverträge empfehlen können. Die entsprechende Bewertung muss sich auf zum betreffenden Zeitpunkt aktuelle Informationen stützen und realistische Annahmen bezüglich der Risiken für die Situation des Verbrauchers während der Laufzeit des angebotenen Kreditvertrags zugrunde legen.
Kreditgeber und Kreditvermittler haben bei der Gestaltung von Kreditprodukten, bei der Gewährung und der Vermittlung von Kreditverträgen, bei der Erbringung von Beratungsdienstleistungen zu Kreditverträgen und gegebenenfalls von Nebenleistungen für Verbraucher sowie bei der Ausführung eines Kreditvertrags unter Berücksichtigung der Rechte und Interessen der Verbraucher ehrlich, redlich, transparent und professionell zu handeln.
(1) Bei einem Kreditvertrag mit fester Laufzeit hat der Kreditgeber dem Verbraucher auf dessen Verlangen kostenlos und zu jedem beliebigen Zeitpunkt während der Gesamtlaufzeit des Kreditvertrags eine Aufstellung in Form eines Tilgungsplans zur Verfügung zu stellen.
(2) Aus dem Tilgungsplan muss hervorgehen, welche Zahlungen in welchen Zeitabständen zu leisten sind und welche Bedingungen für diese Zahlungen gelten. In dem Plan sind die einzelnen periodischen Rückzahlungen nach der Kredittilgung, den nach dem Sollzinssatz berechneten Zinsen und allfälligen zusätzlichen Kosten aufzuschlüsseln. Im Fall eines Kreditvertrags, bei dem kein fester Zinssatz vereinbart wurde oder die zusätzlichen Kosten geändert werden können, ist im Tilgungsplan klar und prägnant anzugeben, dass die Daten im Tilgungsplan nur bis zur nächsten Änderung des Sollzinssatzes oder der zusätzlichen Kosten gemäß dem Kreditvertrag Gültigkeit haben.
(1) Bevor eine Änderung des Sollzinssatzes wirksam wird, hat der Kreditgeber den Verbraucher auf Papier oder einem anderen dauerhaften Datenträger über den angepassten Sollzinssatz, die angepasste Höhe der Teilzahlungen sowie über allfällige Änderungen in der Anzahl oder der Fälligkeit der Teilzahlungen zu informieren. Eine Änderung des Sollzinssatzes zum Nachteil des Verbrauchers wird diesem gegenüber erst wirksam, wenn ihm der Kreditgeber die vorgenannten Informationen zur Verfügung gestellt hat.
(2) Geht die Änderung des Sollzinssatzes auf die Änderung eines Referenzzinssatzes zurück und wird der neue Referenzzinssatz auf geeigneten Wegen öffentlich zugänglich gemacht, so können die Vertragsparteien einen von Abs. 1 abweichenden Zeitpunkt für die Wirksamkeit der Änderung des Sollzinssatzes vereinbaren. In diesen Fällen muss der Vertrag eine Pflicht des Kreditgebers vorsehen, dem Verbraucher die Information nach Abs. 1 in regelmäßigen Zeitabständen zu übermitteln. Die Höhe des Referenzzinssatzes muss dem Verbraucher zusammen mit diesen Informationen mitgeteilt werden. Außerdem muss der Verbraucher die Höhe des Referenzzinssatzes in den Geschäftsräumen des Kreditgebers einsehen können.
(3) Die periodische Zahlungspflicht des Verbrauchers ist bei einer Änderung des Sollzinssatzes so anzupassen, dass der vom Verbraucher zu zahlende Gesamtbetrag innerhalb der ursprünglich vereinbarten Laufzeit zur Gänze beglichen ist. Eine abweichende Vereinbarung ist zulässig, wenn sie im Einzelnen ausgehandelt wird.
(4) Der Kreditgeber hat dem Verbraucher in jedem ersten Vierteljahr eines Kalenderjahres eine Kontomitteilung auszuhändigen, in der zum Stichtag 31. Dezember des jeweiligen Vorjahres zumindest die einzelnen vom Verbraucher geleisteten Zahlungen, die einzelnen Belastungen sowie die aushaftenden Salden enthalten sind.
(1) Der Kreditgeber kann einen auf unbestimmte Zeit geschlossenen Kreditvertrag abweichend von § 986 Abs. 2 ABGB nur kündigen, wenn eine zumindest zweimonatige Kündigungsfrist eingehalten wird. Die Kündigung muss dem Verbraucher auf Papier oder einem anderen dauerhaften Datenträger zugehen.
(2) Dem Kreditgeber kommt das gesetzliche Auszahlungsverweigerungsrecht nach § 991 ABGB nicht zu; er kann sich aber vertraglich das Recht vorbehalten, die Auszahlung von Kreditbeträgen, die der Verbraucher noch nicht in Anspruch genommen hat, aus sachlich gerechtfertigten Gründen zu verweigern. Beabsichtigt er, von diesem Recht Gebrauch zu machen, so hat er dies dem Verbraucher unverzüglich auf Papier oder einem anderen dauerhaften Datenträger unter Angabe der Gründe mitzuteilen. Die Angabe der Gründe hat zu unterbleiben, soweit dadurch die öffentliche Sicherheit oder Ordnung gefährdet würde.
(3) Hat der Verbraucher seine Schuld in Raten zu zahlen und hat sich der Kreditgeber für den Fall der Nichtzahlung von Teilbeträgen oder Nebenforderungen das Recht vorbehalten, die sofortige Entrichtung der gesamten noch offenen Schuld zu fordern (Terminsverlust), so darf er dieses Recht nur ausüben, wenn er selbst seine Leistungen bereits erbracht hat, zumindest eine rückständige Leistung des Verbrauchers seit mindestens sechs Wochen fällig ist sowie der Kreditgeber den Verbraucher unter Androhung des Terminsverlustes und unter Setzung einer Nachfrist von mindestens zwei Wochen erfolglos gemahnt hat.
Vor der Änderung der Bedingungen des Kreditvertrags hat der Kreditgeber dem Verbraucher folgende Informationen mitzuteilen:
1. eine klare Beschreibung der vorgeschlagenen Änderungen und gegebenenfalls des Erfordernisses des Einverständnisses des Verbrauchers oder der gesetzlich eingeführten Änderungen;
2. den zeitlichen Rahmen für die Umsetzung der in Z 1 genannten Änderungen;
3. die Beschwerdemöglichkeiten, die dem Verbraucher gegen die in Z 1 genannten Änderungen zur Verfügung stehen;
4. die Frist, innerhalb derer eine solche Beschwerde eingelegt werden kann;
5. die Bezeichnung und die Anschrift der zuständigen Behörde, bei der der Verbraucher diese Beschwerde einreichen kann.
(1) Der Kreditgeber kann einen auf unbestimmte Zeit geschlossenen Kreditvertrag abweichend von § 986 Abs. 2 ABGB nur kündigen, wenn eine zumindest zweimonatige Kündigungsfrist eingehalten wird. Die Kündigung muss dem Verbraucher auf Papier oder einem anderen dauerhaften Datenträger zugehen.
(2) Dem Kreditgeber kommt das gesetzliche Auszahlungsverweigerungsrecht nach § 991 ABGB nicht zu; er kann sich aber vertraglich das Recht vorbehalten, die Auszahlung von Kreditbeträgen, die der Verbraucher noch nicht in Anspruch genommen hat, aus sachlich gerechtfertigten Gründen zu verweigern. Beabsichtigt er, von diesem Recht Gebrauch zu machen, so hat er dies dem Verbraucher unverzüglich auf Papier oder einem anderen dauerhaften Datenträger unter Angabe der Gründe mitzuteilen. Die Angabe der Gründe hat zu unterbleiben, soweit dadurch die öffentliche Sicherheit oder Ordnung gefährdet würde.
(3) Hat der Verbraucher seine Schuld in Raten zu zahlen und hat sich der Kreditgeber für den Fall der Nichtzahlung von Teilbeträgen oder Nebenforderungen das Recht vorbehalten, die sofortige Entrichtung der gesamten noch offenen Schuld zu fordern (Terminsverlust), so darf er dieses Recht nur ausüben, wenn er selbst seine Leistungen bereits erbracht hat, zumindest eine rückständige Leistung des Verbrauchers seit mindestens sechs Wochen fällig ist sowie der Kreditgeber den Verbraucher unter Androhung des Terminsverlustes und unter Setzung einer Nachfrist von mindestens zwei Wochen erfolglos gemahnt hat.
Der Verbraucher kann einen auf unbestimmte Zeit geschlossenen Kreditvertrag jederzeit kündigen. Für die Kündigung dürfen ihm keine Kosten verrechnet werden. Eine Kündigungsfrist ist abweichend von § 986 Abs. 2 ABGB nur dann einzuhalten, wenn sie im Vertrag vereinbart wurde und einen Monat nicht übersteigt.
Der Verbraucher kann einen auf unbestimmte Zeit geschlossenen Kreditvertrag jederzeit kündigen. Für die Kündigung dürfen ihm keine Kosten verrechnet werden. Eine Kündigungsfrist ist abweichend von § 986 Abs. 2 ABGB nur dann einzuhalten, wenn sie im Vertrag vereinbart wurde und einen Monat nicht übersteigt.
(1) Der Kreditnehmer hat das jederzeit ausübbare Recht, den Kreditbetrag vor Ablauf der bedungenen Zeit zum Teil oder zur Gänze zurückzuzahlen. Die vorzeitige Rückzahlung des gesamten Kreditbetrags samt Zinsen gilt als Kündigung des Kreditvertrags. Die vom Kreditnehmer zu zahlenden Zinsen verringern sich bei vorzeitiger Kreditrückzahlung entsprechend dem dadurch verminderten Außenstand und gegebenenfalls entsprechend der dadurch verkürzten Vertragsdauer; die Kosten verringern sich verhältnismäßig.
(2) Der Kreditgeber kann vom Kreditnehmer eine angemessene und objektiv gerechtfertigte Entschädigung für den ihm aus der vorzeitigen Rückzahlung voraussichtlich unmittelbar entstehenden Vermögensnachteil verlangen. Dies gilt nicht, wenn
1. die vorzeitige Rückzahlung mit einer Versicherungsleistung aus einem Versicherungsvertrag getätigt wird, der vereinbarungsgemäß die Rückzahlung des Kredits gewährleisten soll,
2. die Rückzahlung in einen Zeitraum fällt, für den kein fester Sollzinssatz vereinbart wurde,
3. der vorzeitig zurückgezahlte Betrag 10 000 Euro innerhalb eines Zeitraums von zwölf Monaten nicht übersteigt oder
4. der Kredit in Gestalt einer Überziehungsmöglichkeit gewährt worden ist.
(3) Die Entschädigung darf die Zinsen, die der Verbraucher bis zum Ende der Laufzeit des Kreditvertrags für den betreffenden Kreditbetrag hätte zahlen müssen, nicht übersteigen. Sie darf überdies höchstens
1. 0,5% des vorzeitig zurückgezahlten Kreditbetrags, wenn der Zeitraum zwischen der vorzeitigen Rückzahlung und dem vereinbarten Ablauf des Kreditvertrags ein Jahr nicht überschreitet, und
2. 1% in allen anderen Fällen
Werden die Ansprüche des Kreditgebers aus einem Kreditvertrag abgetreten oder der Kreditvertrag selbst zulässigerweise auf einen Dritten übertragen, so ist der Verbraucher darüber zu unterrichten, es sei denn, der ursprüngliche Kreditgeber tritt mit dem Einverständnis des Zessionars oder des Vertragsübernehmers dem Verbraucher gegenüber nach wie vor als Kreditgeber auf. Von § 1396 ABGB kann nicht zum Nachteil des Verbrauchers durch Vereinbarung abgewichen werden.
(1) Der Kreditnehmer hat das jederzeit ausübbare Recht, den Kreditbetrag vor Ablauf der bedungenen Zeit zum Teil oder zur Gänze zurückzuzahlen. Die vorzeitige Rückzahlung des gesamten Kreditbetrags samt Zinsen gilt als Kündigung des Kreditvertrags. Die vom Kreditnehmer zu zahlenden Zinsen verringern sich bei vorzeitiger Kreditrückzahlung entsprechend dem dadurch verminderten Außenstand und gegebenenfalls entsprechend der dadurch verkürzten Vertragsdauer; die Kosten verringern sich verhältnismäßig.
(2) Der Kreditgeber kann vom Kreditnehmer eine angemessene und objektiv gerechtfertigte Entschädigung für den ihm aus der vorzeitigen Rückzahlung voraussichtlich unmittelbar entstehenden Vermögensnachteil verlangen. Dies gilt nicht, wenn
1. die vorzeitige Rückzahlung mit einer Versicherungsleistung aus einem Versicherungsvertrag getätigt wird, der vereinbarungsgemäß die Rückzahlung des Kredits gewährleisten soll,
2. die Rückzahlung in einen Zeitraum fällt, für den kein fester Sollzinssatz vereinbart wurde,
3. der vorzeitig zurückgezahlte Betrag 10 000 Euro innerhalb eines Zeitraums von zwölf Monaten nicht übersteigt oder
4. der Kredit in Gestalt einer Überziehungsmöglichkeit gewährt worden ist.
(3) Die Entschädigung darf die Zinsen, die der Verbraucher bis zum Ende der Laufzeit des Kreditvertrags für den betreffenden Kreditbetrag hätte zahlen müssen, nicht übersteigen. Sie darf überdies höchstens
1. 0,5% des vorzeitig zurückgezahlten Kreditbetrags, wenn der Zeitraum zwischen der vorzeitigen Rückzahlung und dem vereinbarten Ablauf des Kreditvertrags ein Jahr nicht überschreitet, und
2. 1% in allen anderen Fällen
Werden die Ansprüche des Kreditgebers aus einem Kreditvertrag abgetreten oder der Kreditvertrag selbst zulässigerweise auf einen Dritten übertragen, so ist der Verbraucher darüber zu unterrichten, es sei denn, der ursprüngliche Kreditgeber tritt mit dem Einverständnis des Zessionars oder des Vertragsübernehmers dem Verbraucher gegenüber nach wie vor als Kreditgeber auf. Von § 1396 ABGB kann nicht zum Nachteil des Verbrauchers durch Vereinbarung abgewichen werden.
(1) Der Kreditgeber hat zur Berechnung des Sollzinssatzes für Kreditverträge mit variablem Zinssatz ausschließlich Indizes oder Referenzzinssätze heranzuziehen, die klar, verfügbar, objektiv und von den Vertragsparteien des Kreditvertrags und der Finanzmarktaufsichtsbehörde überprüfbar sind.
(2) Frühere Aufzeichnungen der Indizes oder Referenzzinssätze zur Berechnung des Sollzinssatzes hat der Kreditgeber aufzubewahren, es sei denn, sie werden von den Stellen aufbewahrt, die diese Indizes oder Referenzzinssätze zur Verfügung stellen.
(1) Der Kreditgeber hat zur Berechnung des Sollzinssatzes für Kreditverträge mit variablem Zinssatz ausschließlich Indizes oder Referenzzinssätze heranzuziehen, die klar, verfügbar, objektiv und von den Vertragsparteien des Kreditvertrags und der Finanzmarktaufsichtsbehörde überprüfbar sind.
(2) Frühere Aufzeichnungen der Indizes oder Referenzzinssätze zur Berechnung des Sollzinssatzes hat der Kreditgeber aufzubewahren, es sei denn, sie werden von den Stellen aufbewahrt, die diese Indizes oder Referenzzinssätze zur Verfügung stellen.
(1) Ein Kopplungsgeschäft ist das Angebot oder der Abschluss eines Kreditvertrags in einem Paket gemeinsam mit anderen gesonderten Finanzprodukten oder -dienstleistungen, bei dem der Kreditvertrag nicht separat von dem Verbraucher abgeschlossen werden kann.
(2) Kopplungsgeschäfte sind außer in den in Abs. 3 und 4 genannten Fällen unzulässig.
(3) Der Kreditgeber kann vom Verbraucher oder einem Familienangehörigen oder einem nahen Verwandten des Verbrauchers verlangen,
1. ein Zahlungs- oder ein Sparkonto zu eröffnen, dessen einziger Zweck die Ansammlung von Kapital ist, um den Kredit zurückzuzahlen oder zu bedienen, Mittel zusammenzulegen, um den Kredit zu erhalten, oder eine zusätzliche Sicherheit für den Kreditgeber für den Fall eines Zahlungsausfalls zu leisten;
2. ein Anlageprodukt oder ein privates Rentenprodukt zu erwerben oder zu behalten, wenn dieses Produkt, das dem Investor in erster Linie ein Ruhestandseinkommen bietet, auch als zusätzliche Sicherheit für den Kreditgeber im Fall eines Zahlungsausfalls oder zur Ansammlung von Kapital dient, um den Kredit zurückzuzahlen oder zu bedienen oder Mittel zusammenzulegen, um den Kredit zu erhalten;
3. einen gesonderten Kreditvertrag in Verbindung mit einem Kreditvertrag mit Wertbeteiligung abzuschließen, um den Kredit zu erhalten.
(4) Der Kreditgeber kann vom Verbraucher verlangen, eine einschlägige Versicherung im Zusammenhang mit dem Kreditvertrag abzuschließen, muss aber die Versicherungspolice eines anderen als seines bevorzugten Anbieters akzeptieren, wenn diese eine gleichwertige Garantieleistung wie die vom Kreditgeber angebotene Versicherungspolice bietet.
(5) Abs. 1 bis 4 berühren die Zulässigkeit von Bündelungsgeschäften nicht. Ein Bündelungsgeschäft ist das Angebot oder der Abschluss eines Kreditvertrags in einem Paket gemeinsam mit anderen gesonderten Finanzprodukten oder -dienstleistungen, bei dem der Kreditvertrag separat von dem Verbraucher abgeschlossen werden kann, jedoch nicht zwangsläufig zu den gleichen Bedingungen, zu denen er mit den Nebenleistungen gebündelt angeboten wird.
(1) Ein Kopplungsgeschäft ist das Angebot oder der Abschluss eines Kreditvertrags in einem Paket gemeinsam mit anderen gesonderten Finanzprodukten oder -dienstleistungen, bei dem der Kreditvertrag nicht separat von dem Verbraucher abgeschlossen werden kann.
(2) Kopplungsgeschäfte sind außer in den in Abs. 3 und 4 genannten Fällen unzulässig.
(3) Der Kreditgeber kann vom Verbraucher oder einem Familienangehörigen oder einem nahen Verwandten des Verbrauchers verlangen,
1. ein Zahlungs- oder ein Sparkonto zu eröffnen, dessen einziger Zweck die Ansammlung von Kapital ist, um den Kredit zurückzuzahlen oder zu bedienen, Mittel zusammenzulegen, um den Kredit zu erhalten, oder eine zusätzliche Sicherheit für den Kreditgeber für den Fall eines Zahlungsausfalls zu leisten;
2. ein Anlageprodukt oder ein privates Rentenprodukt zu erwerben oder zu behalten, wenn dieses Produkt, das dem Investor in erster Linie ein Ruhestandseinkommen bietet, auch als zusätzliche Sicherheit für den Kreditgeber im Fall eines Zahlungsausfalls oder zur Ansammlung von Kapital dient, um den Kredit zurückzuzahlen oder zu bedienen oder Mittel zusammenzulegen, um den Kredit zu erhalten;
3. einen gesonderten Kreditvertrag in Verbindung mit einem Kreditvertrag mit Wertbeteiligung abzuschließen, um den Kredit zu erhalten.
(4) Der Kreditgeber kann vom Verbraucher verlangen, eine einschlägige Versicherung im Zusammenhang mit dem Kreditvertrag abzuschließen, muss aber die Versicherungspolice eines anderen als seines bevorzugten Anbieters akzeptieren, wenn diese eine gleichwertige Garantieleistung wie die vom Kreditgeber angebotene Versicherungspolice bietet.
(5) Abs. 1 bis 4 berühren die Zulässigkeit von Bündelungsgeschäften nicht. Ein Bündelungsgeschäft ist das Angebot oder der Abschluss eines Kreditvertrags in einem Paket gemeinsam mit anderen gesonderten Finanzprodukten oder -dienstleistungen, bei dem der Kreditvertrag separat von dem Verbraucher abgeschlossen werden kann, jedoch nicht zwangsläufig zu den gleichen Bedingungen, zu denen er mit den Nebenleistungen gebündelt angeboten wird.
(1) Ein Fremdwährungskredit ist ein Kreditvertrag, bei dem der Kredit
1. auf eine andere Währung lautet als die, in der der Verbraucher sein Einkommen bezieht oder die Vermögenswerte hält, aus denen der Kredit zurückgezahlt werden soll, oder
2. auf eine andere Währung als die Währung des Mitgliedstaats lautet, in welchem der Verbraucher seinen Wohnsitz hat.
(2) Bei einem Fremdwährungskredit hat der Verbraucher das Recht, den Kreditvertrag jeweils zum Quartalsende unter Einhaltung einer Frist von vierzehn Tagen auf eine alternative Währung umzustellen. Im Kreditvertrag können andere Umstellungstermine in zumindest gleicher Anzahl festgelegt werden, sofern dies etwa durch abweichende Zinsanpassungstermine gerechtfertigt ist.
(3) Die in Abs. 2 genannte alternative Währung ist entweder
1. die Währung, in der der Verbraucher überwiegend sein Einkommen bezieht oder Vermögenswerte hält, aus denen der Kredit zurückgezahlt werden soll, wie zum Zeitpunkt der jüngsten Kreditwürdigkeitsprüfung, die im Zusammenhang mit dem Kreditvertrag durchgeführt wurde, angegeben, oder
2. die Währung des Mitgliedstaats, in welchem der Verbraucher seinen Wohnsitz hat oder in welchem er bei Abschluss des Kreditvertrags seinen Wohnsitz hatte.
(4) Die in Abs. 2 genannte alternative Währung kann vertraglich auf die in Abs. 3 Z 1 oder die in Abs. 3 Z 2 genannte Währung eingeschränkt werden.
(5) Der für die Umstellung verwendete Wechselkurs hat dem am Tag des Antrags auf Umstellung geltenden Marktwechselkurs zu entsprechen. Im Kreditvertrag kann ein anderer Tag festgelegt werden, der aber nicht mehr als vierzehn Tage nach dem Tag des Antrags auf Umstellung liegen darf.
(6) Der Kreditgeber hat einen Verbraucher, der einen Fremdwährungskredit aufgenommen hat, auf Papier oder einem anderen dauerhaften Datenträger regelmäßig zumindest dann zu warnen, wenn der Wert des vom Verbraucher noch zu zahlenden Gesamtbetrags oder der regelmäßigen Raten um mehr als 20 % von dem Wert abweicht, der gegeben wäre, wenn der Wechselkurs zwischen der Währung des Kreditvertrags und der Währung des Mitgliedstaats zum Zeitpunkt des Abschlusses des Kreditvertrags angewandt würde. Mit dieser Warnung ist der Verbraucher über einen Anstieg des vom Verbraucher zu zahlenden Gesamtbetrags sowie gegebenenfalls über sein Recht auf Umstellung in eine andere Währung und die dafür geltenden Bedingungen zu informieren. Der Kreditgeber hat auch andere anwendbare Mechanismen zu erläutern, um das Wechselkursrisiko für den Verbraucher zu begrenzen.
(1) Ein Fremdwährungskredit ist ein Kreditvertrag, bei dem der Kredit
1. auf eine andere Währung lautet als die, in der der Verbraucher sein Einkommen bezieht oder die Vermögenswerte hält, aus denen der Kredit zurückgezahlt werden soll, oder
2. auf eine andere Währung als die Währung des Mitgliedstaats lautet, in welchem der Verbraucher seinen Wohnsitz hat.
(2) Bei einem Fremdwährungskredit hat der Verbraucher das Recht, den Kreditvertrag jeweils zum Quartalsende unter Einhaltung einer Frist von vierzehn Tagen auf eine alternative Währung umzustellen. Im Kreditvertrag können andere Umstellungstermine in zumindest gleicher Anzahl festgelegt werden, sofern dies etwa durch abweichende Zinsanpassungstermine gerechtfertigt ist.
(3) Die in Abs. 2 genannte alternative Währung ist entweder
1. die Währung, in der der Verbraucher überwiegend sein Einkommen bezieht oder Vermögenswerte hält, aus denen der Kredit zurückgezahlt werden soll, wie zum Zeitpunkt der jüngsten Kreditwürdigkeitsprüfung, die im Zusammenhang mit dem Kreditvertrag durchgeführt wurde, angegeben, oder
2. die Währung des Mitgliedstaats, in welchem der Verbraucher seinen Wohnsitz hat oder in welchem er bei Abschluss des Kreditvertrags seinen Wohnsitz hatte.
(4) Die in Abs. 2 genannte alternative Währung kann vertraglich auf die in Abs. 3 Z 1 oder die in Abs. 3 Z 2 genannte Währung eingeschränkt werden.
(5) Der für die Umstellung verwendete Wechselkurs hat dem am Tag des Antrags auf Umstellung geltenden Marktwechselkurs zu entsprechen. Im Kreditvertrag kann ein anderer Tag festgelegt werden, der aber nicht mehr als vierzehn Tage nach dem Tag des Antrags auf Umstellung liegen darf.
(6) Der Kreditgeber hat einen Verbraucher, der einen Fremdwährungskredit aufgenommen hat, auf Papier oder einem anderen dauerhaften Datenträger regelmäßig zumindest dann zu warnen, wenn der Wert des vom Verbraucher noch zu zahlenden Gesamtbetrags oder der regelmäßigen Raten um mehr als 20 % von dem Wert abweicht, der gegeben wäre, wenn der Wechselkurs zwischen der Währung des Kreditvertrags und der Währung des Mitgliedstaats zum Zeitpunkt des Abschlusses des Kreditvertrags angewandt würde. Mit dieser Warnung ist der Verbraucher über einen Anstieg des vom Verbraucher zu zahlenden Gesamtbetrags sowie gegebenenfalls über sein Recht auf Umstellung in eine andere Währung und die dafür geltenden Bedingungen zu informieren. Der Kreditgeber hat auch andere anwendbare Mechanismen zu erläutern, um das Wechselkursrisiko für den Verbraucher zu begrenzen.
Soweit in diesem Abschnitt auf Kreditvermittler Bezug genommen wird, gelten diese Bestimmungen auch für benannte Vertreter. Ein benannter Vertreter ist eine natürliche oder juristische Person, die Kreditvermittlungstätigkeiten (§ 2 Abs. 5) ausübt und die im Namen und unter der unbeschränkten und vorbehaltlosen Verantwortung nur eines einzigen Kreditvermittlers handelt.
Soweit in diesem Abschnitt auf Kreditvermittler Bezug genommen wird, gelten diese Bestimmungen auch für benannte Vertreter. Ein benannter Vertreter ist eine natürliche oder juristische Person, die Kreditvermittlungstätigkeiten (§ 2 Abs. 5) ausübt und die im Namen und unter der unbeschränkten und vorbehaltlosen Verantwortung nur eines einzigen Kreditvermittlers handelt.
Der 2. Abschnitt ist auch auf Verträge anzuwenden, mit denen ein Unternehmer gegenüber einem Verbraucher eine entgeltliche Finanzierungshilfe, etwa einen entgeltlichen Zahlungsaufschub, gewährt,
1. die durch ein Pfandrecht oder ein sonstiges Recht an einer unbeweglichen Sache oder einem Superädifikat besichert werden oder
2. die für den Erwerb oder die Erhaltung von Eigentumsrechten an einer unbeweglichen Sache oder einem bestehenden oder geplanten Superädifikat bestimmt ist.
Der 2. Abschnitt ist auch auf Verträge anzuwenden, mit denen ein Unternehmer gegenüber einem Verbraucher eine entgeltliche Finanzierungshilfe, etwa einen entgeltlichen Zahlungsaufschub, gewährt,
1. die durch ein Pfandrecht oder ein sonstiges Recht an einer unbeweglichen Sache oder einem Superädifikat besichert werden oder
2. die für den Erwerb oder die Erhaltung von Eigentumsrechten an einer unbeweglichen Sache oder einem bestehenden oder geplanten Superädifikat bestimmt ist.
Werden in § 5 Abs. 1 genannte Verbraucherkreditverträge oder in § 26 genannte Finanzierungshilfen im Rahmen gesetzlicher Bestimmungen im Gemeinwohlinteresse mit einem begrenzten Kundenkreis geschlossen oder diesem gewährt, sei es zinslos oder zu einem niedrigeren als dem marktüblichen Zinssatz oder zu anderen, für den Verbraucher günstigeren als den marktüblichen Bedingungen und zu Zinssätzen, die nicht über den marktüblichen Zinssätzen liegen, so gilt Folgendes:
1. Der Kreditgeber hat den Verbraucher in der vorvertraglichen Phase rechtzeitig auf Papier oder einem anderen dauerhaften Datenträger über die Hauptmerkmale, Risiken und Kosten solcher Kreditverträge oder Finanzierungshilfen zu informieren.
2. Die Werbung für solche Kreditverträge und Finanzierungshilfen hat den Kriterien der Redlichkeit und Eindeutigkeit zu genügen und darf nicht irreführend sein.
Werden in § 5 Abs. 1 genannte Verbraucherkreditverträge oder in § 26 genannte Finanzierungshilfen in Form von Immobilienverzehrkrediten geschlossen oder gewährt, so gelten die in § 27 Z 1 und 2 genannten Anforderungen entsprechend.
Werden in § 5 Abs. 1 genannte Verbraucherkreditverträge oder in § 26 genannte Finanzierungshilfen im Rahmen gesetzlicher Bestimmungen im Gemeinwohlinteresse mit einem begrenzten Kundenkreis geschlossen oder diesem gewährt, sei es zinslos oder zu einem niedrigeren als dem marktüblichen Zinssatz oder zu anderen, für den Verbraucher günstigeren als den marktüblichen Bedingungen und zu Zinssätzen, die nicht über den marktüblichen Zinssätzen liegen, so gilt Folgendes:
1. Der Kreditgeber hat den Verbraucher in der vorvertraglichen Phase rechtzeitig auf Papier oder einem anderen dauerhaften Datenträger über die Hauptmerkmale, Risiken und Kosten solcher Kreditverträge oder Finanzierungshilfen zu informieren.
2. Die Werbung für solche Kreditverträge und Finanzierungshilfen hat den Kriterien der Redlichkeit und Eindeutigkeit zu genügen und darf nicht irreführend sein.
Werden in § 5 Abs. 1 genannte Verbraucherkreditverträge oder in § 26 genannte Finanzierungshilfen in Form von Immobilienverzehrkrediten geschlossen oder gewährt, so gelten die in § 27 Z 1 und 2 genannten Anforderungen entsprechend.
(1) Der effektive Jahreszins ist anhand der mathematischen Formel in Anhang I zu berechnen.
(2) Die Kosten für die Eröffnung und Führung eines spezifischen Kontos, die Kosten für die Verwendung eines Zahlungsmittels, mit dem sowohl Geschäfte auf diesem Konto getätigt als auch Kreditbeträge in Anspruch genommen werden können, sowie sonstige Kosten für Zahlungsgeschäfte sind im Rahmen der Gesamtkosten des Kredits für den Verbraucher zu berücksichtigen, wenn die Eröffnung oder Führung eines Kontos Voraussetzung dafür ist, dass der Kredit überhaupt oder nach den vorgesehenen Vertragsbedingungen gewährt wird.
(3) Bei der Berechnung des effektiven Jahreszinses ist von der Annahme auszugehen, dass der Kreditvertrag für den vereinbarten Zeitraum gilt und dass Kreditgeber und Verbraucher ihren Verpflichtungen zu den im Kreditvertrag niedergelegten Bedingungen und Terminen nachkommen.
(4) In Kreditverträgen mit Klauseln, nach denen der Sollzinssatz und gegebenenfalls die Entgelte, die im effektiven Jahreszins enthalten sind, deren Quantifizierung zum Zeitpunkt seiner Berechnung aber nicht möglich ist, geändert werden können, ist bei der Berechnung des effektiven Jahreszinses von der Annahme auszugehen, dass der Sollzinssatz und die sonstigen Kosten gemessen an der bei Abschluss des Vertrags festgesetzten Höhe unverändert bleiben werden.
(5) Bei Kreditverträgen, bei denen ein fester Sollzinssatz für einen Anfangszeitraum von mindestens fünf Jahren vereinbart wurde, nach dessen Ablauf ein neuer fester Sollzinssatz für einen weiteren Zeitraum von mehreren Jahren ausgehandelt wird, hat sich die Berechnung des zusätzlichen, als Beispiel dienenden effektiven Jahreszinses, der im ESIS-Merkblatt angegeben wird, nur auf die anfängliche Festzinsperiode zu beziehen, wobei von der Annahme auszugehen ist, dass das Restkapital am Ende des Zinsfestschreibungszeitraums zurückgezahlt wird.
(6) Sieht der Kreditvertrag die Möglichkeit von Änderungen des Zinssatzes vor, so ist der Verbraucher zumindest mittels des ESIS-Merkblatts über die möglichen Auswirkungen der Änderungen auf die zu zahlenden Beträge und den effektiven Jahreszins zu informieren. Dem Verbraucher sind zu diesem Zweck mittels eines zusätzlichen effektiven Jahreszinses die möglichen Risiken zu veranschaulichen, die mit einer signifikanten Erhöhung des Zinssatzes verbunden sind. Ist der Zinssatz nicht gedeckelt, so ist dieser Information ein Warnhinweis beizufügen, mit dem darauf hingewiesen wird, dass sich die Gesamtkosten des Kredits für den Verbraucher, die aus dem effektiven Jahreszins deutlich werden, ändern können. Diese Bestimmung gilt nicht für Kreditverträge, bei denen der Zinssatz für einen Anfangszeitraum von mindestens fünf Jahren festgeschrieben wird, nach dessen Ablauf ein neuer fester Sollzinssatz für einen weiteren Zeitraum von mehreren Jahren ausgehandelt wird, für den ein zusätzlicher, als Beispiel dienender effektiver Jahreszins im ESIS-Merkblatt angegeben wird.
(1) Der effektive Jahreszins ist anhand der mathematischen Formel in Anhang I zu berechnen.
(2) Die Kosten für die Eröffnung und Führung eines spezifischen Kontos, die Kosten für die Verwendung eines Zahlungsmittels, mit dem sowohl Geschäfte auf diesem Konto getätigt als auch Kreditbeträge in Anspruch genommen werden können, sowie sonstige Kosten für Zahlungsgeschäfte sind im Rahmen der Gesamtkosten des Kredits für den Verbraucher zu berücksichtigen, wenn die Eröffnung oder Führung eines Kontos Voraussetzung dafür ist, dass der Kredit überhaupt oder nach den vorgesehenen Vertragsbedingungen gewährt wird.
(3) Bei der Berechnung des effektiven Jahreszinses ist von der Annahme auszugehen, dass der Kreditvertrag für den vereinbarten Zeitraum gilt und dass Kreditgeber und Verbraucher ihren Verpflichtungen zu den im Kreditvertrag niedergelegten Bedingungen und Terminen nachkommen.
(4) In Kreditverträgen mit Klauseln, nach denen der Sollzinssatz und gegebenenfalls die Entgelte, die im effektiven Jahreszins enthalten sind, deren Quantifizierung zum Zeitpunkt seiner Berechnung aber nicht möglich ist, geändert werden können, ist bei der Berechnung des effektiven Jahreszinses von der Annahme auszugehen, dass der Sollzinssatz und die sonstigen Kosten gemessen an der bei Abschluss des Vertrags festgesetzten Höhe unverändert bleiben werden.
(5) Bei Kreditverträgen, bei denen ein fester Sollzinssatz für einen Anfangszeitraum von mindestens fünf Jahren vereinbart wurde, nach dessen Ablauf ein neuer fester Sollzinssatz für einen weiteren Zeitraum von mehreren Jahren ausgehandelt wird, hat sich die Berechnung des zusätzlichen, als Beispiel dienenden effektiven Jahreszinses, der im ESIS-Merkblatt angegeben wird, nur auf die anfängliche Festzinsperiode zu beziehen, wobei von der Annahme auszugehen ist, dass das Restkapital am Ende des Zinsfestschreibungszeitraums zurückgezahlt wird.
(6) Sieht der Kreditvertrag die Möglichkeit von Änderungen des Zinssatzes vor, so ist der Verbraucher zumindest mittels des ESIS-Merkblatts über die möglichen Auswirkungen der Änderungen auf die zu zahlenden Beträge und den effektiven Jahreszins zu informieren. Dem Verbraucher sind zu diesem Zweck mittels eines zusätzlichen effektiven Jahreszinses die möglichen Risiken zu veranschaulichen, die mit einer signifikanten Erhöhung des Zinssatzes verbunden sind. Ist der Zinssatz nicht gedeckelt, so ist dieser Information ein Warnhinweis beizufügen, mit dem darauf hingewiesen wird, dass sich die Gesamtkosten des Kredits für den Verbraucher, die aus dem effektiven Jahreszins deutlich werden, ändern können. Diese Bestimmung gilt nicht für Kreditverträge, bei denen der Zinssatz für einen Anfangszeitraum von mindestens fünf Jahren festgeschrieben wird, nach dessen Ablauf ein neuer fester Sollzinssatz für einen weiteren Zeitraum von mehreren Jahren ausgehandelt wird, für den ein zusätzlicher, als Beispiel dienender effektiver Jahreszins im ESIS-Merkblatt angegeben wird.
Sofern die Tat nicht den Tatbestand einer gerichtlich strafbaren Handlung bildet oder nach anderen Verwaltungsstrafbestimmungen mit strengerer Strafe bedroht ist, begeht eine Verwaltungsübertretung und ist mit einer Geldstrafe bis zu 10 000 Euro zu bestrafen, wer
1. Kredite ohne die gemäß § 6 erforderlichen oder mit falschen Angaben bewirbt;
2. die in § 7 vorgesehenen allgemeinen Informationen nicht oder nicht vollständig bereitstellt;
3. in die gemäß § 8 gebotenen vorvertraglichen Informationen falsche Angaben aufnimmt, die Informationspflichten gemäß § 8, § 10 oder § 14 Abs. 2 und 3 nicht oder nicht vollständig erfüllt oder bei einem verbindlichen Angebot die in § 12 Abs. 1 enthaltenen Formpflichten verletzt;
4. die Kreditwürdigkeit des Verbrauchers nicht entsprechend § 9 Abs. 1 bis 3 und § 9 Abs. 6 bewertet, die Festlegungs-, Dokumentations- oder Aufbewahrungspflichten nach § 9 Abs. 4 verletzt, einen Kredit trotz Fehlens der Voraussetzungen des § 9 Abs. 5 gewährt oder den Verbraucher nicht gemäß § 9 Abs. 7 über die Ablehnung oder die Datenbankabfrage informiert;
5. die Ausübungsregeln des § 14 Abs. 4 oder des § 15 missachtet;
6. nicht entsprechend § 17 über eine Änderung des Sollzinssatzes informiert;
7. Indizes oder Referenzzinssätze heranzieht, die den Anforderungen des § 22 Abs. 1 widersprechen, oder die Aufbewahrungspflichten des § 22 Abs. 2 verletzt;
8. Kopplungsgeschäfte anbietet oder abschließt, die nach § 23 unzulässig sind;
(1) Dieses Bundesgesetz tritt mit 21. März 2016 in Kraft.
(2) Es ist nur auf Kreditverträge und Kreditierungen anzuwenden, die nach dem 20. März 2016 geschlossen beziehungsweise gewährt werden. Auf Kreditverträge und Kreditierungen, die vor dem 21. März 2016 geschlossen beziehungsweise gewährt wurden, sind die bisherigen Bestimmungen weiter anzuwenden.
(3) Bis zum 21. März 2019 kann anstelle des nach diesem Bundesgesetz vorgesehenen ESIS-Merkblatts (Anhang II) das Informationsformular nach Anhang II des Verbraucherkreditgesetzes verwendet werden.
(4) § 1, § 7 und Anhang II in der Fassung des Bundesgesetzes BGBl. I Nr. 93/2017 treten mit 1. Juli 2018 in Kraft.
(5) §§ 5, 9, 10, 11, 20 und 27 sowie die Bezeichnung des 4. Abschnitts in der Fassung des Bundesgesetzes BGBl. I Nr. 1/2021 treten mit 1. Jänner 2021 in Kraft und sind auf Kreditverträge und Kreditierungen anzuwenden, die nach dem 31. Dezember 2020 geschlossen beziehungsweise gewährt werden.
(6) § 20 Abs. 4 in der Fassung des Bundesgesetzes BGBl. I Nr. 199/2021 tritt mit 8. Juli 2022 in Kraft.
(7) § 9 Abs. 5 in der Fassung des Bundesgesetzes BGBl. I Nr. 39/2023 tritt mit 1. Mai 2023 in Kraft.
Sofern die Tat nicht den Tatbestand einer gerichtlich strafbaren Handlung bildet oder nach anderen Verwaltungsstrafbestimmungen mit strengerer Strafe bedroht ist, begeht eine Verwaltungsübertretung und ist mit einer Geldstrafe bis zu 10 000 Euro zu bestrafen, wer
1. Kredite ohne die gemäß § 6 erforderlichen oder mit falschen Angaben bewirbt;
2. die in § 7 vorgesehenen allgemeinen Informationen nicht oder nicht vollständig bereitstellt;
3. in die gemäß § 8 gebotenen vorvertraglichen Informationen falsche Angaben aufnimmt, die Informationspflichten gemäß § 8, § 10, § 14 Abs. 2 und 3 oder § 17a nicht oder nicht vollständig erfüllt oder bei einem verbindlichen Angebot die in § 12 Abs. 1 enthaltenen Formpflichten verletzt;
4. die Kreditwürdigkeit des Verbrauchers nicht entsprechend § 9 Abs. 1 bis 3 und § 9 Abs. 6 bewertet, die Festlegungs-, Dokumentations- oder Aufbewahrungspflichten nach § 9 Abs. 4 verletzt, einen Kredit trotz Fehlens der Voraussetzungen des § 9 Abs. 5 gewährt oder den Verbraucher nicht gemäß § 9 Abs. 7 über die Ablehnung oder die Datenbankabfrage informiert;
5. die Ausübungsregeln des § 14 Abs. 4 oder des § 15 missachtet;
6. nicht entsprechend § 17 über eine Änderung des Sollzinssatzes informiert;
7. Indizes oder Referenzzinssätze heranzieht, die den Anforderungen des § 22 Abs. 1 widersprechen, oder die Aufbewahrungspflichten des § 22 Abs. 2 verletzt;
8. Kopplungsgeschäfte anbietet oder abschließt, die nach § 23 unzulässig sind;
Mit der Vollziehung dieses Bundesgesetzes ist hinsichtlich des § 11 Abs. 3 und des § 30 der Bundeskanzler und im Übrigen der Bundesminister für Justiz betraut.
(1) Dieses Bundesgesetz tritt mit 21. März 2016 in Kraft.
(2) Es ist nur auf Kreditverträge und Kreditierungen anzuwenden, die nach dem 20. März 2016 geschlossen beziehungsweise gewährt werden. Auf Kreditverträge und Kreditierungen, die vor dem 21. März 2016 geschlossen beziehungsweise gewährt wurden, sind die bisherigen Bestimmungen weiter anzuwenden.
(3) Bis zum 21. März 2019 kann anstelle des nach diesem Bundesgesetz vorgesehenen ESIS-Merkblatts (Anhang II) das Informationsformular nach Anhang II des Verbraucherkreditgesetzes verwendet werden.
(4) § 1, § 7 und Anhang II in der Fassung des Bundesgesetzes BGBl. I Nr. 93/2017 treten mit 1. Juli 2018 in Kraft.
(5) §§ 5, 9, 10, 11, 20 und 27 sowie die Bezeichnung des 4. Abschnitts in der Fassung des Bundesgesetzes BGBl. I Nr. 1/2021 treten mit 1. Jänner 2021 in Kraft und sind auf Kreditverträge und Kreditierungen anzuwenden, die nach dem 31. Dezember 2020 geschlossen beziehungsweise gewährt werden.
(6) § 20 Abs. 4 in der Fassung des Bundesgesetzes BGBl. I Nr. 199/2021 tritt mit 8. Juli 2022 in Kraft.
(7) § 9 Abs. 5 in der Fassung des Bundesgesetzes BGBl. I Nr. 39/2023 tritt mit 1. Mai 2023 in Kraft.
(8) § 17a und § 30 in der Fassung des Bundesgesetzes BGBl. I Nr. 6/2025 treten mit Ablauf des Tages der Kundmachung in Kraft.
Mit der Vollziehung dieses Bundesgesetzes ist hinsichtlich des § 11 Abs. 3 und des § 30 der Bundeskanzler und im Übrigen der Bundesminister für Justiz betraut.
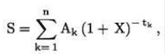
(1) Die nachstehende Gleichung zur Ermittlung des effektiven Jahreszinses drückt auf jährlicher Basis die rechnerische Gleichheit zwischen der Summe der Gegenwartswerte der in Anspruch genommenen Kredit-Auszahlungsbeträge einerseits und der Summe der Gegenwartswerte der Rückzahlungen (Tilgung und Kreditkosten) andererseits aus:

Hierbei ist
— X der effektive Jahreszins;
— m die laufende Nummer des letzten Kredit-Auszahlungsbetrags;
— k die laufende Nummer eines Kredit-Auszahlungsbetrags, wobei 1 ≤ k ≤ m;
— C k die Höhe des Kredit-Auszahlungsbetrags mit der Nummer k;
— t k der in Jahren oder Jahresbruchteilen ausgedrückte Zeitraum zwischen der ersten Darlehensvergabe und dem Zeitpunkt der einzelnen nachfolgenden in Anspruch genommenen Kredit-Auszahlungsbeträge, wobei t 1 = 0;
— m‘ die laufende Nummer der letzten Tilgungs- oder Kostenzahlung;
— l die laufende Nummer einer Tilgungs- oder Kostenzahlung;
(1) Die nachstehende Gleichung zur Ermittlung des effektiven Jahreszinses drückt auf jährlicher Basis die rechnerische Gleichheit zwischen der Summe der Gegenwartswerte der in Anspruch genommenen Kredit-Auszahlungsbeträge einerseits und der Summe der Gegenwartswerte der Rückzahlungen (Tilgung und Kreditkosten) andererseits aus:

Hierbei ist
— X der effektive Jahreszins;
— m die laufende Nummer des letzten Kredit-Auszahlungsbetrags;
— k die laufende Nummer eines Kredit-Auszahlungsbetrags, wobei 1 ≤ k ≤ m;
— C k die Höhe des Kredit-Auszahlungsbetrags mit der Nummer k;
— t k der in Jahren oder Jahresbruchteilen ausgedrückte Zeitraum zwischen der ersten Darlehensvergabe und dem Zeitpunkt der einzelnen nachfolgenden in Anspruch genommenen Kredit-Auszahlungsbeträge, wobei t 1 = 0;
— m‘ die laufende Nummer der letzten Tilgungs- oder Kostenzahlung;
— l die laufende Nummer einer Tilgungs- oder Kostenzahlung;
Das folgende Muster ist im selben Wortlaut in das ESIS-Merkblatt zu übernehmen. Text in eckigen Klammern ist durch die entsprechende Angabe zu ersetzen. Hinweise für den Kreditgeber oder gegebenenfalls den Kreditvermittler zum Ausfüllen des ESIS-Merkblatts finden sich in Teil B.
Bei Angaben, denen der Text „falls zutreffend“ vorangestellt ist, hat der Kreditgeber die erforderlichen Angaben zu machen, wenn sie für den Kreditvertrag relevant sind. Ist die betreffende Information nicht relevant, ist die entsprechende Rubrik bzw. der gesamte Abschnitt vom Kreditgeber zu streichen (beispielsweise wenn der Abschnitt nicht anwendbar ist). Wird der gesamte Abschnitt gestrichen, so ist die Nummerierung der einzelnen Abschnitte des ESIS-Merkblatts entsprechend anzupassen.
Die nachstehenden Informationen müssen in einem einzigen Dokument enthalten sein. Es ist eine gut lesbare Schriftgröße zu wählen. Zur Hervorhebung sind Fettdruck, Schattierung oder eine größere Schriftgröße zu verwenden. Sämtliche Warnhinweise sind optisch hervorzuheben.
Muster für das ESIS-Merkblatt
| (Vorbemerkungen) |
| Dieses Dokument wurde am [Datum] für [Name des Verbrauchers] erstellt. Das Dokument wurde auf der Grundlage der bereits von Ihnen gemachten Angaben sowie der aktuellen Bedingungen am Finanzmarkt erstellt. Die nachstehenden Informationen bleiben bis [Gültigkeitsdatum] gültig, (falls zutreffend) mit Ausnahme des Zinssatzes und anderer Kosten. Danach können sie sich je nach Marktbedingungen ändern. (falls zutreffend) Die Ausfertigung dieses Dokuments begründet für [Name des Kreditgebers] keinerlei Verpflichtung zur Gewährung eines Kredits. |
| 1. Kreditgeber |
| [Name] [Telefon] [Anschrift] (Fakultativ) [E-Mail] |
Das folgende Muster ist im selben Wortlaut in das ESIS-Merkblatt zu übernehmen. Text in eckigen Klammern ist durch die entsprechende Angabe zu ersetzen. Hinweise für den Kreditgeber oder gegebenenfalls den Kreditvermittler zum Ausfüllen des ESIS-Merkblatts finden sich in Teil B.
Bei Angaben, denen der Text „falls zutreffend“ vorangestellt ist, hat der Kreditgeber die erforderlichen Angaben zu machen, wenn sie für den Kreditvertrag relevant sind. Ist die betreffende Information nicht relevant, ist die entsprechende Rubrik bzw. der gesamte Abschnitt vom Kreditgeber zu streichen (beispielsweise wenn der Abschnitt nicht anwendbar ist). Wird der gesamte Abschnitt gestrichen, so ist die Nummerierung der einzelnen Abschnitte des ESIS-Merkblatts entsprechend anzupassen.
Die nachstehenden Informationen müssen in einem einzigen Dokument enthalten sein. Es ist eine gut lesbare Schriftgröße zu wählen. Zur Hervorhebung sind Fettdruck, Schattierung oder eine größere Schriftgröße zu verwenden. Sämtliche Warnhinweise sind optisch hervorzuheben.
Muster für das ESIS-Merkblatt
| (Vorbemerkungen) |
| Dieses Dokument wurde am [Datum] für [Name des Verbrauchers] erstellt. Das Dokument wurde auf der Grundlage der bereits von Ihnen gemachten Angaben sowie der aktuellen Bedingungen am Finanzmarkt erstellt. Die nachstehenden Informationen bleiben bis [Gültigkeitsdatum] gültig, (falls zutreffend) mit Ausnahme des Zinssatzes und anderer Kosten. Danach können sie sich je nach Marktbedingungen ändern. (falls zutreffend) Die Ausfertigung dieses Dokuments begründet für [Name des Kreditgebers] keinerlei Verpflichtung zur Gewährung eines Kredits. |
| 1. Kreditgeber |
| [Name] [Telefon] [Anschrift] (Fakultativ) [E-Mail] |
1. nur eines Kreditgebers,
2. nur einer Gruppe oder
3. mehrerer Kreditgeber oder Gruppen, die auf dem Markt zusammen keine Mehrheit bilden, handelt.
(8) Gesamtkreditbetrag ist die Obergrenze oder die Summe aller Beträge, die auf Grund eines Kreditvertrags zur Verfügung gestellt werden.
(9) Gesamtkosten des Kredits für den Verbraucher sind sämtliche Kosten einschließlich der Zinsen, Provisionen etwa für die Vermittlung des Kredits, Abgaben und Kosten jeder Art — ausgenommen Notariatsgebühren —, die der Verbraucher im Zusammenhang mit dem Kreditvertrag zu zahlen hat und die dem Kreditgeber bekannt sind. Dazu zählen auch Kosten für Nebenleistungen im Zusammenhang mit dem Kreditvertrag, insbesondere Versicherungsprämien, wenn der Abschluss des Vertrags über diese Nebenleistung eine vom Kreditgeber geforderte Voraussetzung dafür ist, dass der Kredit überhaupt oder nach den vorgesehenen Vertragsbedingungen gewährt wird, sowie die Kosten für die Liegenschaftsbewertung, sofern eine solche Bewertung für die Gewährung des Kredits erforderlich ist, jedoch nicht die Gebühren für die Eintragung der Eigentumsübertragung in das Grundbuch, außerdem nicht Entgelte, die der Verbraucher für die Nichteinhaltung der im Kreditvertrag festgelegten Verpflichtungen zahlen muss.
(10) Der vom Verbraucher zu zahlende Gesamtbetrag ist die Summe des Gesamtkreditbetrags und der Gesamtkosten des Kredits für den Verbraucher.
(11) Der effektive Jahreszins drückt die Gesamtkosten des Kredits für den Verbraucher als jährlichen Prozentsatz des Gesamtkreditbetrags aus (§ 29).
(12) Sollzinssatz ist der als fester oder variabler periodischer Prozentsatz ausgedrückte Zinssatz, der auf jährlicher Basis auf die in Anspruch genommenen Kreditauszahlungsbeträge angewandt wird.
(13) Kreditwürdigkeitsprüfung ist die Bewertung der Aussicht, dass den Verpflichtungen aus dem Kreditvertrag nachgekommen wird.
(14) Dauerhafter Datenträger ist jedes Medium, das es dem Verbraucher gestattet, an ihn persönlich gerichtete Informationen derart zu speichern, dass er sie in der Folge für eine den Zwecken der Informationen angemessene Dauer einsehen kann, und das die unveränderte Wiedergabe der gespeicherten Informationen ermöglicht.
(15) Immobilienverzehrkredite sind Kreditverträge, bei denen der Kreditgeber
1. pauschale oder regelmäßige Zahlungen leistet oder andere Formen der Kreditauszahlung vornimmt und im Gegenzug einen Betrag aus dem künftigen Erlös des Verkaufs einer Wohnimmobilie erhält oder ein Recht an einer Wohnimmobilie erwirbt, und
2. erst nach dem Tod des Verbrauchers oder dem endgültigen Auszug des Verbrauchers aus der Wohnimmobilie eine Rückzahlung fordern kann, außer der Verbraucher verstößt gegen die Vertragsbestimmungen, was dem Kreditgeber erlaubt, den Kreditvertrag zu kündigen.
(16) Kredit mit Tilgungsträger ist ein Kredit, bei dem die Zahlungen des Verbrauchers zunächst nicht der Tilgung des Kreditbetrags, sondern der Bildung von Kapital auf einem Tilgungsträger dienen und vorgesehen ist, dass der Kredit später zumindest teilweise mit Hilfe des Tilgungsträgers zurückgezahlt wird. Tilgungsträger können Wertpapiere, Kapitallebensversicherungen oder sonstige Finanzprodukte sein.
(2) Die in Abs. 1 angeführten Informationen mit Ausnahme der Angaben nach Z 1, 2 und 10 sind durch ein repräsentatives Beispiel zu veranschaulichen und richten sich durchwegs nach diesem repräsentativen Beispiel. Der Gesamtkreditbetrag, die Laufzeit und die Ratenanzahl des repräsentativen Beispiels müssen dem beworbenen Vertragstyp entsprechen, insbesondere gegebenenfalls dem aus der Werbung erkennbaren Finanzierungszweck. Bei der Auswahl des Beispiels muss der Kreditgeber von einem effektiven Jahreszins ausgehen, von dem er erwarten darf, dass er den überwiegenden Teil der auf Grund der Werbung zustande kommenden Verträge zu dem angegebenen oder einem niedrigeren effektiven Jahreszins abschließen wird.
(3) Ist der Abschluss eines Vertrags über die Inanspruchnahme einer Nebenleistung, insbesondere eines Versicherungsvertrags, zwingende Voraussetzung dafür, dass der Kredit überhaupt oder nach den vorgesehenen Vertragsbedingungen gewährt wird, und können die Kosten der Nebenleistung nicht im Voraus bestimmt werden, so ist auf die Verpflichtung zum Abschluss jenes Vertrags klar, prägnant und auffallend zusammen mit dem effektiven Jahreszins hinzuweisen.
(4) Die Informationen nach den Abs. 1 und 3 müssen je nach dem für die Werbung verwendeten Medium gut lesbar beziehungsweise akustisch gut verständlich sein.
(5) Wenn Kommunikation für Werbe- und Marketingzwecke, die Kreditverträge betrifft, nicht redlich und eindeutig ist, insbesondere wenn sie beim Verbraucher falsche Erwartungen in Bezug auf die Zugänglichkeit oder die Kosten eines Kredits weckt oder irreführend ist, gilt sie als unlautere Geschäftspraktik im Sinn des § 1 UWG.
7. ein repräsentatives Beispiel des Gesamtkreditbetrags, der Gesamtkosten des Kredits für den Verbraucher, des vom Verbraucher zu zahlenden Gesamtbetrags und des effektiven Jahreszinses;
8. einen Hinweis auf mögliche weitere im Zusammenhang mit einem Kreditvertrag anfallende Kosten, die nicht in den Gesamtkosten des Kredits für den Verbraucher enthalten sind;
9. das Spektrum der verschiedenen möglichen Optionen zur Rückzahlung des Kredits an den Kreditgeber einschließlich Anzahl, Häufigkeit und Höhe der regelmäßigen Rückzahlungsraten;
10. gegebenenfalls einen klaren und prägnanten Hinweis darauf, dass die Einhaltung der Bedingungen des Kreditvertrags die Rückzahlung des aufgrund des Kreditvertrags in Anspruch genommenen Gesamtkreditbetrags nicht garantiert;
11. eine Beschreibung der für eine vorzeitige Rückzahlung unmittelbar geltenden Bedingungen;
12. die Angabe, ob eine Bewertung der Immobilie erforderlich ist und, falls ja, wer verantwortlich dafür ist, dass die Bewertung durchgeführt wird, sowie Angaben dazu, ob dem Verbraucher dadurch Kosten entstehen;
13. Angaben zu den Nebenleistungen, die der Verbraucher als Voraussetzung dafür erwerben muss, dass der Kredit überhaupt oder nach den vorgesehenen Vertragsbedingungen gewährt wird, und gegebenenfalls eine Präzisierung, dass die Nebenleistungen von einem anderen Anbieter als dem Kreditgeber erworben werden können, und
14. einen allgemeinen Warnhinweis bezüglich möglicher Konsequenzen der Nichteinhaltung der mit dem Kreditvertrag eingegangenen Verpflichtungen.
2. die Hauptmerkmale der angebotenen Produkte,
3. die möglichen spezifischen Auswirkungen der angebotenen Produkte auf den Verbraucher, einschließlich der Konsequenzen bei Zahlungsverzug des Verbrauchers, und
4. wenn Nebenleistungen mit einem Kreditvertrag gebündelt werden, ob jeder einzelne Bestandteil des Pakets einzeln beendet werden kann und welche Folgen dies für den Verbraucher hätte.
(7) Bei einem Kredit mit Tilgungsträger muss aus den nach Abs. 1 zur Verfügung gestellten vorvertraglichen Informationen klar und prägnant hervorgehen, welche Risiken mit einem solchen Kredit im Vergleich mit einem Ratenkredit verbunden sind und dass im Besonderen der Kreditvertrag oder der Vertrag über den Tilgungsträger keine Garantie für die Rückzahlung des auf Grund des Kreditvertrags in Anspruch genommenen Gesamtbetrags vorsieht, es sei denn, eine solche Garantie wird gegeben. Wird der Vertrag über den Tilgungsträger mit dem Kreditgeber selbst abgeschlossen oder von diesem vermittelt, so müssen diese Informationen überdies eine grafische Darstellung der bisherigen Wertentwicklung des Tilgungsträgers über einen Zeitraum, der das vom Verbraucher zu tragende Veranlagungsrisiko anschaulich verdeutlicht, sowie eine tabellarische prozentmäßige und – sofern möglich – auch betragsmäßige Darstellung sämtlicher Kosten des Tilgungsträgers enthalten.
(8) Bei einem Kredit, der dem Verbraucher ganz oder teilweise in einer anderen Währung als in Euro gewährt wird, müssen aus den nach Abs. 1 zur Verfügung gestellten vorvertraglichen Informationen das mit der anderen Währung verbundene Wechselkurs- und Zinsänderungsrisiko sowie alle gegenüber einem gleichartigen Kredit in Euro zusätzlich anfallenden Kosten klar und prägnant hervorgehen. Die Information über das Wechselkurs- und Zinsänderungsrisiko muss auch eine grafische Darstellung der Entwicklung des Wechselkurses im Verhältnis zum Euro seit dessen Bestehen, höchstens aber für die letzten zehn Jahre, bei einem Kredit ohne festen Sollzinssatz eine grafische Darstellung der Entwicklung des für Änderungen des Sollzinssatzes maßgeblichen Referenzzinssatzes seit dessen Veröffentlichung, höchstens aber für die letzten zehn Jahre, sowie ein Rechenbeispiel enthalten, in dem unter Zugrundelegung der Schwankungsneigung der anderen Währung die Risiken des Fremdwährungskredits anschaulich verdeutlicht werden.
(9) Die in den Abs. 1 bis 8 vorgesehenen Informationspflichten gelten auch für den Kreditvermittler.
(10) Wenn ein Kreditvertrag nicht für den Erwerb oder die Erhaltung von Eigentumsrechten an einer unbeweglichen Sache oder einem bestehenden oder geplanten Superädifikat bestimmt ist, gelten die in Abs. 1 bis 9 vorgesehenen Informationspflichten auch dann als erfüllt, wenn die Informationspflichten des § 6 VKrG eingehalten werden, insbesondere das Informationsformular nach Anhang II des VKrG verwendet wird. Soweit in § 12 und in § 13 auf das ESIS-Merkblatt Bezug genommen wird, kann bei solchen Kreditverträgen auch das Informationsformular nach Anhang II des VKrG verwendet werden.
(11) Wird ein Kreditvertrag in Form einer Überziehungsmöglichkeit gewährt, bei der der Kredit binnen eines Monats zurückzuzahlen ist, so gelten die in Abs. 1 bis 9 vorgesehenen Informationspflichten auch dann als erfüllt, wenn die Informationspflichten des § 19 Abs. 1, 2, 3 und 5 VKrG eingehalten werden. Soweit in § 12 und in § 13 auf das ESIS-Merkblatt Bezug genommen wird, ist bei solchen Kreditverträgen die Einhaltung der in § 19 Abs. 1 VKrG vorgesehenen Informationspflichten ausreichend.
(6) Vor einer deutlichen Erhöhung des Gesamtkreditbetrags nach dem Abschluss des Kreditvertrags hat der Kreditgeber die Kreditwürdigkeit des Verbrauchers auf der Grundlage von aktualisierten Angaben erneut zu prüfen, es sei denn, ein derartiger zusätzlicher Kredit war bereits im Rahmen der ursprünglichen Kreditwürdigkeitsprüfung vorgesehen und enthalten.
(7) Wird ein Kreditantrag abgelehnt, so hat der Kreditgeber den Verbraucher unverzüglich über die Ablehnung zu unterrichten und gegebenenfalls darüber, dass die Entscheidung auf einer automatisierten Verarbeitung von Daten beruht. Beruht die Ablehnung auf dem Ergebnis einer Datenbankabfrage, so hat der Kreditgeber den Verbraucher über das Ergebnis dieser Abfrage und über die Einzelheiten der betreffenden Datenbank zu unterrichten.
(8) Ein von einem Kreditgeber mit einem Verbraucher abgeschlossener Kreditvertrag kann vom Kreditgeber nicht nachträglich mit der Begründung aufgehoben, beendet oder zum Nachteil des Verbrauchers geändert werden, dass die Prüfung der Kreditwürdigkeit nicht ordnungsgemäß durchgeführt wurde oder die vor Abschluss des Kreditvertrags vom Verbraucher erhaltenen Angaben unvollständig waren, es sei denn, der Verbraucher hat Informationen im Sinn des Abs. 2 wissentlich vorenthalten oder gefälscht.
(9) Die Bestimmungen der Verordnung (EU) 2016/679 zum Schutz natürlicher Personen bei der Verarbeitung personenbezogener Daten, zum freien Datenverkehr und zur Aufhebung der Richtlinie 95/46/EG (Datenschutz-Grundverordnung), ABl. Nr. L 119 vom 4.5.2016 S. 1, in der Fassung der Berichtigung ABl. Nr. L 127 vom 23.5.2018 S. 2, bleiben unberührt.
4. Enthält das ESIS-Merkblatt keine Angaben zum Recht auf vorzeitige Rückzahlung oder zum Anspruch auf Entschädigung, so kann der Kreditgeber keine Entschädigung verlangen.
2. Gebundene Kreditvermittler haben eine ausreichende Zahl von Kreditverträgen aus ihrer Produktpalette einzubeziehen und unter Berücksichtigung der Bedürfnisse, der finanziellen Situation und der persönlichen Umstände des Verbrauchers einen geeigneten Kreditvertrag oder mehrere geeignete Kreditverträge aus ihrer Produktpalette zu empfehlen.
3. Nicht gebundene Kreditvermittler haben eine ausreichende Zahl von auf dem Markt verfügbaren Kreditverträgen einzubeziehen und unter Berücksichtigung der Bedürfnisse, der finanziellen Situation und der persönlichen Umstände des Verbrauchers einen auf dem Markt verfügbaren geeigneten Kreditvertrag oder mehrere auf dem Markt verfügbare geeignete Kreditverträge zu empfehlen.
4. Kreditvermittler haben im besten Interesse der Verbraucher zu handeln, indem sie
a) sich über die Bedürfnisse und Umstände des Verbrauchers informieren und
b) geeignete Kreditverträge im Einklang mit Z 1 bis 3 empfehlen.
5. Kreditvermittler haben dem Verbraucher eine Aufzeichnung der abgegebenen Empfehlung auf Papier oder einem anderen dauerhaften Datenträger zur Verfügung zu stellen.
(5) Erbringen Kreditgeber Beratungsdienstleistungen für die Verbraucher, so gelten Abs. 3 und Abs. 4 Z 1, 2, 4 und 5 entsprechend.
(4) Bei einem hypothekarisch gesicherten Kredit kann für die vorzeitige Rückzahlung eine Kündigungsfrist von höchstens sechs Monaten oder bis zum Ablauf einer allfällig vereinbarten Periode mit festem Sollzinssatz vereinbart werden. Hält der Kreditnehmer die vereinbarte Kündigungsfrist nicht ein, so kann der Kreditgeber für den nicht eingehaltenen Teil der Kündigungsfrist eine Entschädigung nach Abs. 2 erster Satz verlangen; auf diese ist Abs. 2 zweiter Satz nicht anzuwenden. Für die Höhe der Entschädigung gilt Abs. 3.
(5) Bei einem Kredit mit Tilgungsträger muss der Kreditgeber auf Verlangen des Kreditnehmers auf ein vertragliches Recht hinsichtlich der auf den Tilgungsträger zu leistenden Zahlungen insoweit verzichten, als der Kreditnehmer den Kredit vorzeitig zurückzahlt.
(6) Wenn der Verbraucher eine vorzeitige Rückzahlung beabsichtigt und dies dem Kreditgeber mitteilt, so hat ihm der Kreditgeber auf Papier oder einem anderen dauerhaften Datenträger unverzüglich die Informationen zu erteilen, die für die Prüfung dieser Möglichkeit erforderlich sind. Diese Informationen müssen zumindest die Auswirkungen der vorzeitigen Rückzahlung für den Verbraucher quantifizieren und etwaige herangezogene Annahmen klar angeben. Alle herangezogenen Annahmen müssen vernünftig und zu rechtfertigen sein.
(4) Bei einem hypothekarisch gesicherten Kredit kann für die vorzeitige Rückzahlung eine Kündigungsfrist von höchstens sechs Monaten oder bis zum Ablauf einer allfällig vereinbarten Periode mit festem Sollzinssatz vereinbart werden. Hält der Kreditnehmer die vereinbarte Kündigungsfrist nicht ein, so kann der Kreditgeber für den nicht eingehaltenen Teil der Kündigungsfrist eine Entschädigung nach Abs. 2 erster Satz verlangen; auf diese ist Abs. 2 zweiter Satz nicht anzuwenden. Für die Höhe der Entschädigung gilt Abs. 3.
(5) Bei einem Kredit mit Tilgungsträger muss der Kreditgeber auf Verlangen des Kreditnehmers auf ein vertragliches Recht hinsichtlich der auf den Tilgungsträger zu leistenden Zahlungen insoweit verzichten, als der Kreditnehmer den Kredit vorzeitig zurückzahlt.
(6) Wenn der Verbraucher eine vorzeitige Rückzahlung beabsichtigt und dies dem Kreditgeber mitteilt, so hat ihm der Kreditgeber auf Papier oder einem anderen dauerhaften Datenträger unverzüglich die Informationen zu erteilen, die für die Prüfung dieser Möglichkeit erforderlich sind. Diese Informationen müssen zumindest die Auswirkungen der vorzeitigen Rückzahlung für den Verbraucher quantifizieren und etwaige herangezogene Annahmen klar angeben. Alle herangezogenen Annahmen müssen vernünftig und zu rechtfertigen sein.
(7) Der Verbraucher ist im ESIS-Merkblatt und im Kreditvertrag über die nach Abs. 2 bis 6 geltenden Regelungen zu unterrichten. Ist im Kreditvertrag keine Bestimmung vorgesehen, wonach das Wechselkursrisiko für den Verbraucher auf eine Wechselkursschwankung von weniger als 20 % begrenzt wird, so ist im ESIS-Merkblatt ein Beispiel anzugeben, das die Auswirkungen einer Wechselkursschwankung von 20 % deutlich macht.
(7) Der Verbraucher ist im ESIS-Merkblatt und im Kreditvertrag über die nach Abs. 2 bis 6 geltenden Regelungen zu unterrichten. Ist im Kreditvertrag keine Bestimmung vorgesehen, wonach das Wechselkursrisiko für den Verbraucher auf eine Wechselkursschwankung von weniger als 20 % begrenzt wird, so ist im ESIS-Merkblatt ein Beispiel anzugeben, das die Auswirkungen einer Wechselkursschwankung von 20 % deutlich macht.
(7) Falls zutreffend, ist für die Berechnung des effektiven Jahreszinses von den in Anhang I genannten zusätzlichen Annahmen auszugehen.
(7) Falls zutreffend, ist für die Berechnung des effektiven Jahreszinses von den in Anhang I genannten zusätzlichen Annahmen auszugehen.
10. die Informationspflichten gemäß § 27 Z 1 oder § 28 nicht oder nicht vollständig erfüllt oder die Anforderungen an die Werbung in § 27 Z 2 oder § 28 missachtet.
10. die Informationspflichten gemäß § 27 Z 1 oder § 28 nicht oder nicht vollständig erfüllt oder die Anforderungen an die Werbung in § 27 Z 2 oder § 28 missachtet.
— s l der in Jahren oder Jahresbruchteilen ausgedrückte Zeitraum zwischen dem Zeitpunkt der Inanspruchnahme des ersten Kredit-Auszahlungsbetrags und dem Zeitpunkt jeder einzelnen Tilgungs- oder Kostenzahlung.
(2) Anmerkungen:
a) Die von beiden Seiten zu unterschiedlichen Zeitpunkten gezahlten Beträge sind nicht notwendigerweise gleich groß und werden nicht notwendigerweise in gleichen Zeitabständen entrichtet.
b) Anfangszeitpunkt ist der Tag der Auszahlung des ersten Kreditbetrags.
c) Der Zeitraum zwischen diesen Zeitpunkten wird in Jahren oder Jahresbruchteilen ausgedrückt. Zugrunde gelegt werden für ein Jahr 365 Tage (bzw. für ein Schaltjahr 366 Tage), 52 Wochen oder 12 Standardmonate. Ein Standardmonat hat 30,41666 Tage (d. h. 365/12), unabhängig davon, ob es sich um ein Schaltjahr handelt oder nicht.
Können die Zeiträume zwischen den in den Berechnungen verwendeten Zeitpunkten nicht als ganze Zahl von Wochen, Monaten oder Jahren ausgedrückt werden, so sind sie als ganze Zahl eines dieser Zeitabschnitte in Kombination mit einer Anzahl von Tagen auszudrücken. Bei der Verwendung von Tagen
i) werden alle Tage einschließlich Wochenenden und Feiertagen gezählt;
ii) werden gleich lange Zeitabschnitte und dann Tage bis zur Inanspruchnahme des ersten Kreditbetrags zurückgezählt;
iii) wird die Länge des in Tagen bemessenen Zeitabschnitts ohne den ersten und einschließlich des letzten Tages berechnet und in Jahren ausgedrückt, indem dieser Zeitabschnitt durch die Anzahl von Tagen des gesamten Jahres (365 oder 366 Tage), zurückgezählt ab dem letzten Tag bis zum gleichen Tag des Vorjahres, geteilt wird.
d) Das Rechenergebnis wird auf mindestens eine Dezimalstelle genau angegeben. Ist die Ziffer der darauf folgenden Dezimalstelle größer als oder gleich 5, so erhöht sich die Ziffer der vorangehenden Dezimalstelle um den Wert 1.
e) Mathematisch darstellen lässt sich diese Gleichung durch eine einzige Summation unter Verwendung des Faktors „Ströme“ (Ak), die entweder positiv oder negativ sind, je nachdem, ob sie für Auszahlungen oder für Rückzahlungen innerhalb der Perioden 1 bis n, ausgedrückt in Jahren, stehen:

dabei ist S der Saldo der Gegenwartswerte aller „Ströme“, deren Wert gleich Null sein muss, damit die Gleichheit zwischen den „Strömen“ gewahrt bleibt.
a) Ist es dem Verbraucher nach dem Kreditvertrag freigestellt, wann er den Kredit in Anspruch nehmen will, so gilt der gesamte Kredit als sofort in voller Höhe in Anspruch genommen.
b) Sieht der Kreditvertrag verschiedene Arten der Inanspruchnahme mit unterschiedlichen Kosten oder Sollzinssätzen vor, so gilt der gesamte Kredit als zu den höchsten Kosten und zum höchsten Sollzinssatz in Anspruch genommen, wie sie für die Kategorie von Geschäften gelten, die bei dieser Kreditvertragsart am häufigsten vorkommt.
c) Ist es dem Verbraucher nach dem Kreditvertrag generell freigestellt, wann er den Kredit in Anspruch nehmen will, sind jedoch je nach Art der Inanspruchnahme Beschränkungen in Bezug auf Kreditbetrag und Zeitraum vorgesehen, so gilt der gesamte Kredit als zu dem im Kreditvertrag vorgesehenen frühestmöglichen Zeitpunkt mit den entsprechenden Beschränkungen in Anspruch genommen.
d) Werden für einen begrenzten Zeitraum oder Betrag verschiedene Sollzinssätze und Kosten angeboten, so werden als Sollzinssatz oder als Kosten während der gesamten Laufzeit des Kreditvertrags der höchste Sollzinssatz bzw. die höchsten Kosten angenommen.
e) Bei Kreditverträgen, bei denen für den Anfangszeitraum ein fester Sollzinssatz vereinbart wurde, nach dessen Ablauf ein neuer Sollzinssatz festgelegt wird, der anschließend in regelmäßigen Abständen nach einem vereinbarten Indikator oder einem internen Referenzzinssatz angepasst wird, wird bei der Berechnung des effektiven Jahreszinses von der Annahme ausgegangen, dass der Sollzinssatz ab dem Ende der Festzinsperiode dem Sollzinssatz entspricht, der sich aus dem Wert des vereinbarten Indikators oder des internen Referenzzinssatzes zum Zeitpunkt der Berechnung des effektiven Jahreszinses ergibt, die Höhe des festen Sollzinssatzes jedoch nicht unterschreitet.
f) Wurde noch keine Kreditobergrenze vereinbart, so wird eine Obergrenze in Höhe von 170 000 Euro angenommen. Bei Kreditverträgen, die weder Eventualverpflichtungen noch Garantien sind und die nicht für den Erwerb oder die Erhaltung eines Rechts an Wohnimmobilien oder Grundstücken bestimmt sind, bei Überziehungsmöglichkeiten, Debit-Karten mit Zahlungsaufschub oder Kreditkarten wird eine Obergrenze von 1 500 Euro angenommen.
g) Bei Kreditverträgen, die weder Überziehungsmöglichkeiten noch Überbrückungsdarlehen, Kreditverträge mit Wertbeteiligung, Eventualverpflichtungen oder Garantien sind, und bei unbefristeten Kreditverträgen (siehe die Annahmen unter den Buchstaben i, j, k, l und m) gilt Folgendes:
i) Lassen sich der Zeitpunkt oder die Höhe einer vom Verbraucher zu leistenden Tilgungszahlung nicht feststellen, so wird angenommen, dass die Rückzahlung zu dem im Kreditvertrag genannten frühestmöglichen Zeitpunkt und in der darin festgelegten geringsten Höhe erfolgt.
ii) Lässt sich der Zeitraum zwischen der ersten Inanspruchnahme und der ersten vom Verbraucher zu leistenden Zahlung nicht feststellen, so wird der kürzestmögliche Zeitraum angenommen.
h) Lassen sich der Zeitpunkt oder die Höhe einer vom Verbraucher zu leistenden Zahlung nicht anhand des Kreditvertrags oder der Annahmen nach den Buchstaben g, i, j, k, l und m feststellen, so wird angenommen, dass die Zahlung in Übereinstimmung mit den vom Kreditgeber bestimmten Fristen und Bedingungen erfolgt, und dass, falls diese nicht bekannt sind,
i) die Zinszahlungen zusammen mit den Tilgungszahlungen erfolgen,
ii) Zahlungen für Kosten, die keine Zinsen sind und die als Einmalbetrag ausgedrückt sind, bei Abschluss des Kreditvertrags erfolgen,
iii) Zahlungen für Kosten, die keine Zinsen sind und die als Mehrfachzahlungen ausgedrückt sind, beginnend mit der ersten Tilgungszahlung in regelmäßigen Abständen erfolgen, und es sich, falls die Höhe dieser Zahlungen nicht bekannt ist, um jeweils gleich hohe Beträge handelt,
iv) mit der letzten Zahlung der Saldo, die Zinsen und etwaige sonstige Kosten ausgeglichen sind.
i) Bei einer Überziehungsmöglichkeit gilt der gesamte Kredit als in voller Höhe und für die gesamte Laufzeit des Kreditvertrags in Anspruch genommen. Ist die Dauer der Überziehungsmöglichkeit nicht bekannt, so wird bei der Berechnung des effektiven Jahreszinses von der Annahme ausgegangen, dass die Laufzeit des Kreditvertrags drei Monate beträgt.
j) Bei einem Überbrückungsdarlehen gilt der gesamte Kredit als in voller Höhe und für die gesamte Laufzeit des Kreditvertrags in Anspruch genommen. Ist die Laufzeit des Kreditvertrags nicht bekannt, so wird bei der Berechnung des effektiven Jahreszinses von der Annahme ausgegangen, dass sie 12 Monate beträgt.
k) Bei einem unbefristeten Kreditvertrag, der weder eine Überziehungsmöglichkeit noch ein Überbrückungsdarlehen ist, wird angenommen, dass
i) bei Kreditverträgen, die für den Erwerb oder die Erhaltung von Rechten an Immobilien bestimmt sind, der Kredit für einen Zeitraum von 20 Jahren ab der ersten Inanspruchnahme gewährt wird und dass mit der letzten Zahlung des Verbrauchers der Saldo, die Zinsen und etwaige sonstige Kosten ausgeglichen sind; bei Kreditverträgen, die nicht für den Erwerb oder die Erhaltung von Rechten an Immobilien bestimmt sind oder bei denen der Kredit im Rahmen von Debit-Karten mit Zahlungsaufschub oder Kreditkarten in Anspruch genommen wird, beträgt dieser Zeitraum ein Jahr;
ii) der Kreditbetrag in gleich hohen monatlichen Zahlungen, beginnend einen Monat nach dem Zeitpunkt der ersten Inanspruchnahme, zurückgezahlt wird. Muss der Kreditbetrag jedoch vollständig, in Form einer einmaligen Zahlung, innerhalb jedes Zahlungszeitraums zurückgezahlt werden, so wird angenommen, dass spätere Inanspruchnahmen und Rückzahlungen des gesamten Kreditbetrags durch den Verbraucher innerhalb eines Jahres stattfinden. Zinsen und sonstige Kosten werden entsprechend diesen Inanspruchnahmen und Tilgungszahlungen und nach den Bestimmungen des Kreditvertrags festgelegt.
Als unbefristete Kreditverträge gelten für die Zwecke dieses Punkts Kreditverträge ohne feste Laufzeit, einschließlich solcher Kredite, bei denen der Kreditbetrag innerhalb oder nach Ablauf eines Zeitraums vollständig zurückgezahlt werden muss, dann aber erneut in Anspruch genommen werden kann.
l) Bei Eventualverpflichtungen oder Garantien wird angenommen, dass der gesamte Kredit zum früheren der beiden folgenden Zeitpunkte als einmaliger Betrag vollständig in Anspruch genommen wird:
a) dem letztzulässigen Zeitpunkt nach dem Kreditvertrag, welcher die potenzielle Quelle der Eventualverbindlichkeit oder Garantie ist; oder
b) bei einem Roll-over-Kreditvertrag am Ende der ersten Zinsperiode vor der Erneuerung der Vereinbarung.
m) Bei Kreditverträgen mit Wertbeteiligung wird angenommen, dass
i) die Zahlungen der Verbraucher zu den letzten nach dem Kreditvertrag möglichen Zeitpunkten geleistet werden;
ii) die prozentuale Wertsteigerung der Immobilie, die die Sicherheit für den Vertrag darstellt, und ein in dem Vertrag genannter Inflationsindex ein Prozentsatz ist, der — je nachdem, welcher Satz höher ist — dem aktuellen Inflationsziel der Zentralbank oder der Höhe der Inflation in dem Mitgliedstaat, in dem die Immobilie belegen ist, zum Zeitpunkt des Abschlusses des Kreditvertrags oder dem Wert 0 %, falls diese Prozentsätze negativ sind, entspricht.
— s l der in Jahren oder Jahresbruchteilen ausgedrückte Zeitraum zwischen dem Zeitpunkt der Inanspruchnahme des ersten Kredit-Auszahlungsbetrags und dem Zeitpunkt jeder einzelnen Tilgungs- oder Kostenzahlung.
(2) Anmerkungen:
a) Die von beiden Seiten zu unterschiedlichen Zeitpunkten gezahlten Beträge sind nicht notwendigerweise gleich groß und werden nicht notwendigerweise in gleichen Zeitabständen entrichtet.
b) Anfangszeitpunkt ist der Tag der Auszahlung des ersten Kreditbetrags.
c) Der Zeitraum zwischen diesen Zeitpunkten wird in Jahren oder Jahresbruchteilen ausgedrückt. Zugrunde gelegt werden für ein Jahr 365 Tage (bzw. für ein Schaltjahr 366 Tage), 52 Wochen oder 12 Standardmonate. Ein Standardmonat hat 30,41666 Tage (d. h. 365/12), unabhängig davon, ob es sich um ein Schaltjahr handelt oder nicht.
Können die Zeiträume zwischen den in den Berechnungen verwendeten Zeitpunkten nicht als ganze Zahl von Wochen, Monaten oder Jahren ausgedrückt werden, so sind sie als ganze Zahl eines dieser Zeitabschnitte in Kombination mit einer Anzahl von Tagen auszudrücken. Bei der Verwendung von Tagen
i) werden alle Tage einschließlich Wochenenden und Feiertagen gezählt;
ii) werden gleich lange Zeitabschnitte und dann Tage bis zur Inanspruchnahme des ersten Kreditbetrags zurückgezählt;
iii) wird die Länge des in Tagen bemessenen Zeitabschnitts ohne den ersten und einschließlich des letzten Tages berechnet und in Jahren ausgedrückt, indem dieser Zeitabschnitt durch die Anzahl von Tagen des gesamten Jahres (365 oder 366 Tage), zurückgezählt ab dem letzten Tag bis zum gleichen Tag des Vorjahres, geteilt wird.
d) Das Rechenergebnis wird auf mindestens eine Dezimalstelle genau angegeben. Ist die Ziffer der darauf folgenden Dezimalstelle größer als oder gleich 5, so erhöht sich die Ziffer der vorangehenden Dezimalstelle um den Wert 1.
e) Mathematisch darstellen lässt sich diese Gleichung durch eine einzige Summation unter Verwendung des Faktors „Ströme“ (Ak), die entweder positiv oder negativ sind, je nachdem, ob sie für Auszahlungen oder für Rückzahlungen innerhalb der Perioden 1 bis n, ausgedrückt in Jahren, stehen:

dabei ist S der Saldo der Gegenwartswerte aller „Ströme“, deren Wert gleich Null sein muss, damit die Gleichheit zwischen den „Strömen“ gewahrt bleibt.
a) Ist es dem Verbraucher nach dem Kreditvertrag freigestellt, wann er den Kredit in Anspruch nehmen will, so gilt der gesamte Kredit als sofort in voller Höhe in Anspruch genommen.
b) Sieht der Kreditvertrag verschiedene Arten der Inanspruchnahme mit unterschiedlichen Kosten oder Sollzinssätzen vor, so gilt der gesamte Kredit als zu den höchsten Kosten und zum höchsten Sollzinssatz in Anspruch genommen, wie sie für die Kategorie von Geschäften gelten, die bei dieser Kreditvertragsart am häufigsten vorkommt.
c) Ist es dem Verbraucher nach dem Kreditvertrag generell freigestellt, wann er den Kredit in Anspruch nehmen will, sind jedoch je nach Art der Inanspruchnahme Beschränkungen in Bezug auf Kreditbetrag und Zeitraum vorgesehen, so gilt der gesamte Kredit als zu dem im Kreditvertrag vorgesehenen frühestmöglichen Zeitpunkt mit den entsprechenden Beschränkungen in Anspruch genommen.
d) Werden für einen begrenzten Zeitraum oder Betrag verschiedene Sollzinssätze und Kosten angeboten, so werden als Sollzinssatz oder als Kosten während der gesamten Laufzeit des Kreditvertrags der höchste Sollzinssatz bzw. die höchsten Kosten angenommen.
e) Bei Kreditverträgen, bei denen für den Anfangszeitraum ein fester Sollzinssatz vereinbart wurde, nach dessen Ablauf ein neuer Sollzinssatz festgelegt wird, der anschließend in regelmäßigen Abständen nach einem vereinbarten Indikator oder einem internen Referenzzinssatz angepasst wird, wird bei der Berechnung des effektiven Jahreszinses von der Annahme ausgegangen, dass der Sollzinssatz ab dem Ende der Festzinsperiode dem Sollzinssatz entspricht, der sich aus dem Wert des vereinbarten Indikators oder des internen Referenzzinssatzes zum Zeitpunkt der Berechnung des effektiven Jahreszinses ergibt, die Höhe des festen Sollzinssatzes jedoch nicht unterschreitet.
f) Wurde noch keine Kreditobergrenze vereinbart, so wird eine Obergrenze in Höhe von 170 000 Euro angenommen. Bei Kreditverträgen, die weder Eventualverpflichtungen noch Garantien sind und die nicht für den Erwerb oder die Erhaltung eines Rechts an Wohnimmobilien oder Grundstücken bestimmt sind, bei Überziehungsmöglichkeiten, Debit-Karten mit Zahlungsaufschub oder Kreditkarten wird eine Obergrenze von 1 500 Euro angenommen.
g) Bei Kreditverträgen, die weder Überziehungsmöglichkeiten noch Überbrückungsdarlehen, Kreditverträge mit Wertbeteiligung, Eventualverpflichtungen oder Garantien sind, und bei unbefristeten Kreditverträgen (siehe die Annahmen unter den Buchstaben i, j, k, l und m) gilt Folgendes:
i) Lassen sich der Zeitpunkt oder die Höhe einer vom Verbraucher zu leistenden Tilgungszahlung nicht feststellen, so wird angenommen, dass die Rückzahlung zu dem im Kreditvertrag genannten frühestmöglichen Zeitpunkt und in der darin festgelegten geringsten Höhe erfolgt.
ii) Lässt sich der Zeitraum zwischen der ersten Inanspruchnahme und der ersten vom Verbraucher zu leistenden Zahlung nicht feststellen, so wird der kürzestmögliche Zeitraum angenommen.
h) Lassen sich der Zeitpunkt oder die Höhe einer vom Verbraucher zu leistenden Zahlung nicht anhand des Kreditvertrags oder der Annahmen nach den Buchstaben g, i, j, k, l und m feststellen, so wird angenommen, dass die Zahlung in Übereinstimmung mit den vom Kreditgeber bestimmten Fristen und Bedingungen erfolgt, und dass, falls diese nicht bekannt sind,
i) die Zinszahlungen zusammen mit den Tilgungszahlungen erfolgen,
ii) Zahlungen für Kosten, die keine Zinsen sind und die als Einmalbetrag ausgedrückt sind, bei Abschluss des Kreditvertrags erfolgen,
iii) Zahlungen für Kosten, die keine Zinsen sind und die als Mehrfachzahlungen ausgedrückt sind, beginnend mit der ersten Tilgungszahlung in regelmäßigen Abständen erfolgen, und es sich, falls die Höhe dieser Zahlungen nicht bekannt ist, um jeweils gleich hohe Beträge handelt,
iv) mit der letzten Zahlung der Saldo, die Zinsen und etwaige sonstige Kosten ausgeglichen sind.
i) Bei einer Überziehungsmöglichkeit gilt der gesamte Kredit als in voller Höhe und für die gesamte Laufzeit des Kreditvertrags in Anspruch genommen. Ist die Dauer der Überziehungsmöglichkeit nicht bekannt, so wird bei der Berechnung des effektiven Jahreszinses von der Annahme ausgegangen, dass die Laufzeit des Kreditvertrags drei Monate beträgt.
j) Bei einem Überbrückungsdarlehen gilt der gesamte Kredit als in voller Höhe und für die gesamte Laufzeit des Kreditvertrags in Anspruch genommen. Ist die Laufzeit des Kreditvertrags nicht bekannt, so wird bei der Berechnung des effektiven Jahreszinses von der Annahme ausgegangen, dass sie 12 Monate beträgt.
k) Bei einem unbefristeten Kreditvertrag, der weder eine Überziehungsmöglichkeit noch ein Überbrückungsdarlehen ist, wird angenommen, dass
i) bei Kreditverträgen, die für den Erwerb oder die Erhaltung von Rechten an Immobilien bestimmt sind, der Kredit für einen Zeitraum von 20 Jahren ab der ersten Inanspruchnahme gewährt wird und dass mit der letzten Zahlung des Verbrauchers der Saldo, die Zinsen und etwaige sonstige Kosten ausgeglichen sind; bei Kreditverträgen, die nicht für den Erwerb oder die Erhaltung von Rechten an Immobilien bestimmt sind oder bei denen der Kredit im Rahmen von Debit-Karten mit Zahlungsaufschub oder Kreditkarten in Anspruch genommen wird, beträgt dieser Zeitraum ein Jahr;
ii) der Kreditbetrag in gleich hohen monatlichen Zahlungen, beginnend einen Monat nach dem Zeitpunkt der ersten Inanspruchnahme, zurückgezahlt wird. Muss der Kreditbetrag jedoch vollständig, in Form einer einmaligen Zahlung, innerhalb jedes Zahlungszeitraums zurückgezahlt werden, so wird angenommen, dass spätere Inanspruchnahmen und Rückzahlungen des gesamten Kreditbetrags durch den Verbraucher innerhalb eines Jahres stattfinden. Zinsen und sonstige Kosten werden entsprechend diesen Inanspruchnahmen und Tilgungszahlungen und nach den Bestimmungen des Kreditvertrags festgelegt.
Als unbefristete Kreditverträge gelten für die Zwecke dieses Punkts Kreditverträge ohne feste Laufzeit, einschließlich solcher Kredite, bei denen der Kreditbetrag innerhalb oder nach Ablauf eines Zeitraums vollständig zurückgezahlt werden muss, dann aber erneut in Anspruch genommen werden kann.
l) Bei Eventualverpflichtungen oder Garantien wird angenommen, dass der gesamte Kredit zum früheren der beiden folgenden Zeitpunkte als einmaliger Betrag vollständig in Anspruch genommen wird:
a) dem letztzulässigen Zeitpunkt nach dem Kreditvertrag, welcher die potenzielle Quelle der Eventualverbindlichkeit oder Garantie ist; oder
b) bei einem Roll-over-Kreditvertrag am Ende der ersten Zinsperiode vor der Erneuerung der Vereinbarung.
m) Bei Kreditverträgen mit Wertbeteiligung wird angenommen, dass
i) die Zahlungen der Verbraucher zu den letzten nach dem Kreditvertrag möglichen Zeitpunkten geleistet werden;
ii) die prozentuale Wertsteigerung der Immobilie, die die Sicherheit für den Vertrag darstellt, und ein in dem Vertrag genannter Inflationsindex ein Prozentsatz ist, der — je nachdem, welcher Satz höher ist — dem aktuellen Inflationsziel der Zentralbank oder der Höhe der Inflation in dem Mitgliedstaat, in dem die Immobilie belegen ist, zum Zeitpunkt des Abschlusses des Kreditvertrags oder dem Wert 0 %, falls diese Prozentsätze negativ sind, entspricht.
| 2. (falls zutreffend) Kreditvermittler |
| [Name] [Telefon] [Anschrift] (Fakultativ) [E-Mail] (Fakultativ)[Faxnummer] (Fakultativ)[Internetadresse] (Fakultativ) [Kontaktperson/-stelle] (Falls zutreffend, Informationen darüber, ob Beratungsdienstleistungen erbracht werden:])[(Wir empfehlen nach Analyse Ihres Bedarfs und Ihrer Situation, dass Sie diesen Kredit aufnehmen./Wir empfehlen Ihnen keinen bestimmten Kredit. Aufgrund Ihrer Antworten auf einige der Fragen erhalten Sie von uns jedoch Informationen zu diesem Kredit, damit Sie Ihre eigene Entscheidung treffen können.)]. [Vergütung] |
| 3. Hauptmerkmale des Kredits |
| Kreditbetrag und Währung: [Wert] [Währung] (falls zutreffend) Dieser Kredit lautet nicht auf [Landeswährung des Kreditnehmers]. (falls zutreffend) Der Wert Ihres Kredits in [Landeswährung des Kreditnehmers] kann sich ändern. (falls zutreffend) Wenn beispielsweise [Landeswährung des Kreditnehmers] gegenüber [Kreditwährung] um 20 % an Wert verliert, würde sich der Wert Ihres Kredits um [Betrag in der Landeswährung des Kreditnehmers] erhöhen. Allerdings könnte es sich auch um einen höheren Betrag handeln, falls [Landeswährung des Kreditnehmers] um mehr als 20 % an Wert verliert. (falls zutreffend) Der Wert Ihres Kredits beläuft sich auf maximal [Betrag in der Landeswährung des Kreditnehmers]. (falls zutreffend) Sie erhalten einen Warnhinweis, falls der Kreditbetrag [Betrag in der Landeswährung des Kreditnehmers] erreicht. (falls zutreffend) Sie haben die Möglichkeit, [Recht auf Neuverhandlung eines Fremdwährungskreditvertrags oder Recht, den Kredit in [einschlägige Währung] umzuwandeln, und Bedingungen]. Laufzeit des Kredits: [Laufzeit] [Kreditart] [Art des anwendbaren Zinssatzes] Zurückzuzahlender Gesamtbetrag: Dies bedeutet, dass Sie [Betrag] je geliehene(n) [Währungseinheit] zurückzuzahlen haben. (falls zutreffend) Bei dem gewährten Kredit/einem Teil des gewährten Kredits handelt es sich um einen endfälligen Kredit. Ihre Schuld nach Ablauf der Laufzeit des Kredits beträgt [Kreditbetrag nach Endfälligkeit]. (falls zutreffend) Für dieses Merkblatt zugrunde gelegter Schätzwert der Immobilie [Betrag] (falls zutreffend] Beleihungsgrenze (maximale Höhe des Kredits im Verhältnis zum Wert der Immobilie) [Verhältnis] oder Mindestwert der Immobilie als Voraussetzung für die Aufnahme eines Kredits in der angegebenen Höhe [Betrag] (falls zutreffend) [Sicherheit] |
| 4. Zinssatz und andere Kosten |
| Der effektive Jahreszins entspricht den Gesamtkosten des Kredits, ausgedrückt als jährlicher Prozentsatz. Der effektive Jahreszins erleichtert den Vergleich verschiedener Angebote. Der für Ihren Kredit geltende effektive Jahreszins beträgt [effektiver Jahreszins]. Er setzt sich zusammen aus: Zinssatz: [Wert in Prozent oder, falls zutreffend, Angabe eines Referenzzinssatzes und Prozentwerts der Zinsmarge des Kreditgebers] [sonstige Komponenten des effektiven Jahreszinses] Einmalige Kosten: (falls zutreffend) Für die Eintragung der Hypothek bzw. Grundschuld wird eine Gebühr fällig. [Gebühr sofern bekannt oder Grundlage für die Berechnung.] Regelmäßig anfallende Kosten: (falls zutreffend) Dieser effektive Jahreszins wird anhand des angenommenen Zinssatzes berechnet. (falls zutreffend) Da es sich bei Ihrem Kredit [einem Teil Ihres Kredits] um einen Kredit mit variablem Zinssatz handelt, kann der tatsächliche effektive Jahreszins von dem angegebenen effektiven Jahreszins abweichen, falls sich der Zinssatz ihres Kredits ändert. Falls sich der Zinssatz beispielsweise auf [unter Teil B beschriebenes Szenario] erhöht, kann der effektive Jahreszins auf [Beispiel für den gemäß diesem Szenario fälligen effektiven Jahreszins] ansteigen. (falls zutreffend) Beachten Sie bitte, dass bei der Berechnung dieses effektiven Jahreszinses davon ausgegangen wird, dass der Zinssatz während der gesamten Vertragslaufzeit auf dem für den Anfangszeitraum festgelegten Niveau bleibt. (falls zutreffend) Die folgenden Kosten sind dem Kreditgeber nicht bekannt und sind daher im effektiven Jahreszins nicht enthalten: [Kosten] (falls zutreffend) Für die Eintragung der Hypothek bzw. Grundschuld wird eine Gebühr fällig. Bitte vergewissern Sie sich, dass Sie alle im Zusammenhang mit Ihrem Kredit anfallenden Kosten und Gebühren bedacht haben. |
| 5. Häufigkeit und Anzahl der Ratenzahlungen |
| Häufigkeit der Ratenzahlungen: [Zahlungsintervall] Anzahl der Zahlungen: [Anzahl] |
| 6. Höhe der einzelnen Raten |
| [Betrag] [Währung] Ihre Einkommenssituation kann sich ändern. Prüfen Sie bitte, ob Sie Ihre [Zahlungsintervall] Raten auch dann noch zahlen können, wenn sich Ihr Einkommen verringern sollte. (falls zutreffend) Da es sich bei dem [gewährten Kredit/einem Teil des gewährten Kredits] um einen endfälligen Kredit handelt, müssen Sie eine gesonderte Regelung für die Tilgung der Schuld von [Kreditbetrag nach Endfälligkeit] nach Ablauf der Laufzeit des Kredits treffen. Berücksichtigen Sie dabei auch alle Zahlungen, die Sie zusätzlich zu der hier angegebenen Ratenhöhe leisten müssen. (falls zutreffend) Der Zinssatz dieses Kredits oder eines Teils davon kann sich ändern. Daher kann die Höhe Ihrer Raten steigen oder sinken. Falls sich der Zinssatz beispielsweise auf [unter Teil B beschriebenes Szenario] erhöht, können Ihre Ratenzahlungen auf [Angabe der Höhe der gemäß diesem Szenario fälligen Rate] ansteigen. (falls zutreffend) Die Höhe der [Zahlungsintervall] in [Landeswährung des Kreditnehmers] fälligen Zahlungen kann sich ändern. (falls zutreffend) Ihre pro [Zahlungsperiode] fälligen Zahlungen können sich auf [Höchstbetrag in der Landeswährung des Kreditnehmers] erhöhen. (falls zutreffend) Wenn beispielsweise [Landeswährung des Kreditnehmers] gegenüber [Kreditwährung] um 20 % an Wert verliert, müssten Sie pro [Zeitraum] [Betrag in der Landeswährung des Kreditnehmers] mehr zahlen. Ihre Zahlungen könnten auch um einen höheren Betrag ansteigen. (falls zutreffend) Bei der Umrechnung Ihrer in [Kreditwährung] geleisteten Rückzahlungen in [Landeswährung des Kreditnehmers] wird der von [Name der den Wechselkurs veröffentlichenden Einrichtung] am [Datum] veröffentlichte oder auf der Grundlage von [Bezeichnung der Bezugsgrundlage oder Berechnungsmethode] am [Datum] errechnete Wechselkurs zugrunde gelegt. (falls zutreffend) [Spezifische Angaben zu verbundenen Sparprodukten und Krediten mit abgegrenztem Zins] |
| 7. (falls zutreffend) Beispiel eines Tilgungsplans |
| Der folgenden Tabelle ist die Höhe des pro [Zahlungsintervall] zu zahlenden Betrags zu entnehmen. Die Raten (Spalte [Nummer]) setzen sich aus zu zahlenden Zinsen (Spalte [Nummer]) und, falls zutreffend, zu zahlender Tilgung (Spalte [Nummer]) sowie, falls zutreffend, sonstigen Kosten (Spalte [Nummer]) zusammen. (falls zutreffend) Die in der Spalte „sonstige Kosten“ angegebenen Kosten betreffen [Aufzählung der Kosten]. Das Restkapital (Spalte [Nummer]) ist der nach einer Ratenzahlung noch verbleibende zurückzuzahlende Kreditbetrag. [Tabelle] |
| 8. Zusätzliche Auflagen |
| Der Kreditnehmer muss folgende Auflagen erfüllen, um in den Genuss der im vorliegenden Dokument genannten Kreditkonditionen zu kommen. [Auflagen] (falls zutreffend) Beachten Sie bitte, dass sich die in diesem Dokument genannten Kreditkonditionen (einschließlich Zinssatz) ändern können, falls Sie diese Auflagen nicht erfüllen. (falls zutreffend) Beachten Sie bitte die möglichen Konsequenzen einer späteren Kündigung der mit dem Kredit verbundenen Nebenleistungen: [Konsequenzen] |
| 9. Vorzeitige Rückzahlung |
| Sie können den Kredit ganz oder teilweise vorzeitig zurückzahlen. (falls zutreffend) [Bedingungen] (falls zutreffend) Ablösungsentschädigung: [Betrag oder, sofern keine Angabe möglich ist, Berechnungsmethode] (falls zutreffend) Sollten Sie beschließen, den Kredit vorzeitig zurückzuzahlen, setzen Sie sich bitte mit uns in Verbindung, um die genaue Höhe der Ablösungsentschädigung zum betreffenden Zeitpunkt in Erfahrung zu bringen. |
| 10. Flexible Merkmale |
| (falls zutreffend) [Information über Übertragbarkeit/Abtretung] Sie können den Kredit auf [einen anderen Kreditgeber] [oder] [eine andere Immobilie] übertragen. [Bedingungen] (falls zutreffend) Sie können den Kredit nicht auf [einen anderen Kreditgeber] [oder] [eine andere Immobilie] übertragen. (falls zutreffend) Zusätzliche Merkmale: [Erläuterung der in Teil B aufgelisteten zusätzlichen Merkmale und – fakultativ – aller weiteren Merkmale, die der Kreditgeber im Rahmen des Kreditvertrags anbietet und die nicht in den vorausgehenden Abschnitten genannt sind]. |
| 11. Sonstige Rechte des Kreditnehmers |
| (falls zutreffend) Bevor Sie sich für die Aufnahme des Kredits entscheiden, haben Sie ab dem [Zeitpunkt, zu dem die Bedenkzeit beginnt][Dauer der Bedenkzeit] Bedenkzeit. (falls zutreffend) Sobald Sie den Kreditvertrag vom Kreditgeber erhalten haben, können Sie diesen nicht vor Ablauf einer Frist von [Zeitraum der Bedenkzeit] annehmen. |
| (falls zutreffend) Sie können während eines Zeitraums von [Dauer der Widerrufsfrist] ab [Zeitpunkt, zu dem die Widerruffrist beginnt] von Ihrem Widerrufsrecht Gebrauch machen. [Bedingungen][Verfahren] (falls zutreffend) Sie können Ihr Widerrufsrecht verlieren, wenn Sie innerhalb dieses Zeitraums eine Immobilie erwerben oder veräußern, die im Zusammenhang mit diesem Kreditvertrag steht. (falls zutreffend) Sollten Sie beschließen, von Ihrem Recht auf Widerruf [des Kreditvertrags] Gebrauch zu machen, so prüfen Sie bitte, ob Sie durch andere [, in Abschnitt 8 genannte] Auflagen im Zusammenhang mit dem Kredit [einschließlich der mit dem Kredit verbundenen Nebenleistungen] weiter gebunden bleiben. |
| 12. Beschwerden |
| Im Fall einer Beschwerde wenden Sie sich bitte an [interne Kontaktstelle und Informationsquelle zum weiteren Verfahren] (falls zutreffend) Maximale Frist für die Bearbeitung der Beschwerde: [Zeitraum] (falls zutreffend) Sollten wir die Beschwerde nicht intern zu Ihrer Zufriedenheit beilegen, so können Sie sich auch an [Name der externen Stelle für außergerichtliche Beschwerde- und Rechtsbehelfsverfahren] wenden (falls zutreffend) oder Sie können weitere Informationen bei FIN-NET oder der entsprechenden Stelle in Ihrem eigenen Land erfragen. |
| 13. Nichteinhaltung der aus dem Kreditvertrag erwachsenden Verpflichtungen: Konsequenzen für den Kreditnehmer |
| [Arten eines Verstoßes gegen die Verpflichtungen] [finanzielle und/oder rechtliche Folgen] Sollten Sie Schwierigkeiten haben, die [Zahlungsintervall] Zahlungen zu leisten, so nehmen Sie bitte umgehend Kontakt mit uns auf, damit nach möglichen Lösungen gesucht werden kann. (falls zutreffend) Kommen Sie Ihren Zahlungsverpflichtungen nicht nach, kann als letztes Mittel Ihre Immobilie zwangsversteigert werden.. |
| (falls zutreffend) 14. Zusätzliche Informationen |
| (falls zutreffend) [auf den Kreditvertrag anwendbares Recht]. (Sofern der Kreditgeber eine Sprache verwenden möchte, die sich von der Sprache des ESIS-Merkblatts unterscheidet) Informationen und Vertragsbedingungen werden in [Angabe der Sprache] vorgelegt. Mit Ihrer Zustimmung werden wir während der Laufzeit des Kreditvertrags mit Ihnen in [Angabe der Sprache(n)] kommunizieren. [Hinweis betreffend das Recht, dass der Kreditvertrags gegebenenfalls im Entwurf vorgelegt oder dies angeboten wird] |
| 15. Aufsichtsbehörde |
| Die Aufsicht über diesen Kreditgeber obliegt: [Bezeichnung(en) und Internetadresse(n) der Aufsichtsbehörde(n)]. (falls zutreffend) Die Aufsicht über diesen Kreditvermittler obliegt: [Bezeichnung und Internetadresse der Aufsichtsbehörde] |
Beim Ausfüllen des ESIS-Merkblatts sind die folgenden Hinweise zu beachten.
Das Datum, bis zu dem die Angaben gelten, ist optisch angemessen hervorzuheben. Für die Zwecke dieses Abschnitts bezeichnet der Begriff „Gültigkeitsdatum“ den Zeitraum, innerhalb dessen die im ESISMerkblatt enthaltenen Angaben, etwa der Sollzinssatz, unverändert bleiben und zur Anwendung kommen werden, falls der Kreditgeber beschließt, den Kredit innerhalb dieser Frist zu bewilligen. Hängt die Festlegung des anwendbaren Sollzinssatzes und anderer Kosten vom Ergebnis des Verkaufs zugrunde liegender Wertpapiere ab, so können der letztliche Sollzinssatz und andere Kosten gegebenenfalls von diesen Angaben abweichen. Ausschließlich unter diesen Umständen ist auf die Tatsache, dass sich das Gültigkeitsdatum nicht auf den Sollzinssatz und andere Kosten bezieht, mit folgender Angabe hinzuweisen: „mit Ausnahme des Zinssatzes und anderer Kosten“.
(1) Name, Telefonnummer und Anschrift des Kreditgebers müssen die Kontaktdaten sein, die der Verbraucher im künftigen Schriftwechsel verwenden kann.
(2) Angaben zu E-Mail-Adresse, Faxnummer, Internetadresse und Kontaktperson/-stelle sind fakultativ.
(3) Wird der Kreditvertrag im Rahmen eines Fernabsatzgeschäfts angeboten, muss der Kreditgeber im Einklang mit Artikel 3 der Richtlinie 2002/65/EG gegebenenfalls Namen und Anschrift seines Vertreters in dem Mitgliedstaat, in dem der Verbraucher seinen Wohnsitz hat, angeben. Die Angabe von Telefonnummer, E-Mail-Adresse und Internetadresse des Vertreters des Kreditgebers ist fakultativ.
(4) Kommt Abschnitt 2 nicht zur Anwendung, so unterrichtet der Kreditgeber unter Verwendung der Formulierungen in Teil A den Verbraucher darüber, ob und auf welcher Grundlage Beratungsdienstleistungen erbracht werden.
Erhält der Verbraucher die Produktinformationen von einem Kreditvermittler, so erteilt dieser die folgenden Informationen:
(1) Name, Telefonnummer und Anschrift des Kreditvermittlers müssen die Kontaktdaten sein, die der Verbraucher im künftigen Schriftwechsel verwenden kann.
(2) Angaben zu E-Mail-Adresse, Faxnummer, Internetadresse und Kontaktperson/-stelle sind fakultativ.
(3) Der Kreditvermittler unterrichtet unter Verwendung der Formulierungen in Teil A den Verbraucher darüber, ob und auf welcher Grundlage Beratungsdienstleistungen erbracht werden.
(4) Erläuterungen zur Art und Weise der Vergütung des Kreditvermittlers. Erhält dieser eine Provision vom Kreditgeber, so sind der Betrag und – sofern abweichend von der Angabe unter Abschnitt 1 – der Name des Kreditgebers anzugeben.
(1) In diesem Abschnitt sind die Hauptmerkmale des Kredits, einschließlich des Wertes, der Währung und der potenziellen Risiken, die mit dem Sollzinssatz (darunter die unter Nummer 8 genannte Risiken) und der Amortisationsstruktur verbunden sind, klar darzulegen.
(2) Handelt es sich bei der Kreditwährung nicht um die Landeswährung des Verbrauchers, so weist der Kreditgeber darauf hin, dass der Verbraucher zumindest einen regelmäßigen Warnhinweis erhält, sobald der Wechselkurs um mehr als 20 % schwankt, gegebenenfalls das Recht hat, die Währung des Kreditvertrags umzuwandeln, oder die Möglichkeit hat, die Bedingungen neu auszuhandeln, sowie auf alle sonstigen Regelungen, die dem Verbraucher zur Begrenzung des Wechselkursrisikos zur Verfügung stehen. Ist im Kreditvertrag eine Bestimmung zur Begrenzung des Wechselkursrisikos vorgesehen, so gibt der Kreditgeber den Höchstbetrag an, den der Verbraucher gegebenenfalls zurückzuzahlen hat. Ist im Kreditvertrag keine Bestimmung vorgesehen, wonach das Wechselkursrisiko für den Verbraucher auf eine Wechselkursschwankung von weniger als 20 % begrenzt wird, so gibt der Kreditgeber ein anschauliches Beispiel dafür, wie sich ein Kursverfall der Landeswährung des Verbrauchers von 20 % gegenüber der Kreditwährung auf den Wert des Kredits auswirkt.
(3) Die Laufzeit des Kredits ist – je nach Relevanz – in Jahren oder Monaten auszudrücken. Kann sich die Kreditlaufzeit während der Geltungsdauer des Vertrags ändern, erläutert der Kreditgeber, wann und unter welchen Bedingungen dies möglich ist. Handelt es sich um einen unbefristeten Kredit, etwa für eine gesicherte Kreditkarte, so ist dies vom Kreditgeber klar anzugeben.
(4) Die Art des Kredits ist genau anzugeben (z. B. hypothekarisch besicherter Kredit, wohnungswirtschaftlicher Kredit, gesicherte Kreditkarte). Bei der Beschreibung der Kreditart ist klar anzugeben, wie Kapital und Zinsen während der Laufzeit des Kredits zurückzuzahlen sind (d. h. die Amortisationsstruktur) und ob der Kreditvertrag auf einer Kapitalrückzahlung oder auf der Endfälligkeit basiert oder eine Mischung von beidem ist.
(5) Handelt es sich bei dem gewährte Kredit oder einem Teil davon um einen endfälligen Kredit, so ist ein diesbezüglicher eindeutiger Hinweis unter Verwendung der Formulierung in Teil A deutlich sichtbar am Ende dieses Abschnitts einzufügen
(6) In diesem Abschnitt ist anzugeben, ob der Sollzinssatz fest oder variabel ist, sowie gegebenenfalls die Zeiträume, für die der Zinssatz festgeschrieben ist, wie häufig der Zinssatz in der Folge überprüft wird und inwieweit die Variabilität des Sollzinssatzes nach oben oder nach unten hin begrenzt ist.
Die Formel für die Überprüfung des Sollzinssatzes und seiner einzelnen Bestandteile (z. B. Referenzzinssatz, Zinsmarge) ist zu erläutern. Der Kreditgeber hat anzugeben, etwa mittels einer Internetadresse, wo weitere Informationen zu den in der Formel zugrunde gelegten Indizes oder Zinssätzen zu finden sind, z. B. Euribor-Satz oder Referenzzinsatz der Zentralbank.
(7) Gelten unter bestimmten Umständen unterschiedliche Sollzinssätze, so sind diese Angaben für alle anzuwendenden Sollzinssätze zu machen.
(8) Der „zurückzuzahlende Gesamtbetrag“ entspricht dem Gesamtbetrag, den der Verbraucher zu zahlen hat. Er wird dargestellt als die Summe aus Kreditbetrag und Gesamtkosten des Kredits für den Verbraucher. Ist der Sollzinssatz für die Laufzeit des Vertrags nicht festgelegt, so ist optisch hervorzuheben, dass dieser Betrag lediglich Beispielcharakter hat und insbesondere bei einer Veränderung des Sollzinssatzes variieren kann.
(9) Wird der Kredit durch eine Hypothek auf die Immobilie oder durch eine andere vergleichbare Sicherheit oder ein Recht an einer Immobilie gesichert, hat der Kreditgeber den Verbraucher darauf hinzuweisen. Der Kreditgeber hat gegebenenfalls den geschätzten Wert der Immobilie oder der sonstigen Sicherheiten zu nennen, die zur Erstellung dieses Merkblatts herangezogen wurden.
(10) Der Kreditgeber gibt gegebenenfalls Folgendes an:
a) die „Beleihungsgrenze“ (maximale Höhe des Kredits im Verhältnis zum Wert der Immobilie,) die das Verhältnis zwischen Kredithöhe und Objektwert angibt. Neben der entsprechenden Angabe ist ein konkretes Zahlenbeispiel für die Ermittlung des Höchstbetrags zu nennen, der bei einem bestimmten Immobilienwert als Kredit aufgenommen werden kann; oder
b) den „Mindestwert der Immobilie, den der Kreditgeber für die Vergabe eines Kredits in der angegebenen Höhe voraussetzt“.
(11) Bei mehrteiligen Krediten (z. B. zum Teil mit festem und zum Teil mit variablem Zinssatz) muss dies aus den Angaben zur Art des Kredits hervorgehen und die vorgeschriebenen Informationen müssen für jeden Teil des Kredits angegeben werden.
(1) Der Begriff „Zinssatz“ bezeichnet den Sollzinssatz oder die Sollzinssätze.
(2) Der Sollzinssatz ist als Prozentwert anzugeben. Handelt es sich um einen variablen Sollzinssatz auf Basis eines Referenzzinssatzes, so kann der Kreditgeber den Sollzinssatz in Form eines Referenzzinssatzes und eines Prozentwerts seiner Zinsmarge angeben. Der Kreditgeber muss allerdings den am Tag der Ausstellung des ESIS-Merkblatts geltenden Wert des Referenzzinssatzes angeben.
Im Falle eines variablen Sollzinssatzes ist Folgendes anzugeben: a) die für die Berechnung des effektiven Jahreszinses zugrunde gelegten Annahmen, b) gegebenenfalls die geltenden Ober- und Untergrenzen sowie c) ein Warnhinweis, dass sich die Variabilität negativ auf die tatsächliche Höhe des effektiven Jahreszinses auswirken könnte. Der Warnhinweis hat in größerer Schrift deutlich sichtbar im Hauptteil des ESIS-Merkblatts zu erscheinen, damit die Aufmerksamkeit der Verbraucher darauf gelenkt wird. Der Warnhinweis sollte durch ein anschauliches Beispiel zum effektiven Jahreszins ergänzt werden. Besteht eine Obergrenze für den Sollzinssatz, so basiert das Beispiel auf der Annahme, dass der Sollzinssatz bei frühestmöglicher Gelegenheit auf das höchste im Kreditvertrag vorgesehene Niveau ansteigt. Besteht keine Obergrenze, so bildet das Beispiel den effektiven Jahreszins beim höchsten Sollzinssatz der mindestens letzten zwanzig Jahre ab oder – falls die der Berechnung des Sollzinssatzes zugrunde liegenden Daten nur für einen Zeitraum von weniger als 20 Jahren vorliegen – des längsten Zeitraums, für den solche Daten vorliegen, und zwar ausgehend vom Höchststand des jeweiligen externen Referenzsatzes, der gegebenenfalls für die Berechnung des Sollzinssatzes herangezogen wurde oder vom Höchststand eines Benchmarkzinssatzes, der von einer zuständigen Behörde oder der EBA festgesetzt wird, sofern der Kreditgeber keinen externen Referenzsatz verwendet. Diese Anforderung gilt nicht für Kreditverträge, bei denen für einen konkreten Anfangszeitraum von mehreren Jahren ein fester Sollzinssatz vereinbart wurde, der anschließend nach Verhandlungen zwischen Kreditgeber und Verbraucher für einen weiteren Zeitraum festgeschrieben werden kann. Im Falle von Kreditverträgen, bei denen für einen konkreten Anfangszeitraum von mehreren Jahren ein fester Sollzinssatz vereinbart wurde, der anschließend nach Verhandlungen zwischen Kreditgeber und Verbraucher für einen weiteren Zeitraum festgeschrieben werden kann, muss das Merkblatt einen Warnhinweis enthalten, dass der effektive Jahreszins auf der Grundlage des Sollzinssatzes für den Anfangszeitraum berechnet worden ist. Der Warnhinweis ist durch ein zusätzliches anschauliches Beispiel für den gemäß Artikel 17 Absatz 5 errechneten effektiven Jahreszins zu ergänzen. Bei mehrteiligen Krediten (z. B. zugleich zum Teil mit festem und zum Teil mit variablem Zinssatz) sind die entsprechenden Informationen für jeden einzelnen Teil des Kredits zu erteilen.
(3) In der Rubrik „sonstige Komponenten des effektiven Jahreszinses“ sind alle sonstigen im effektiven Jahreszins enthaltenen Kosten aufzuführen, einschließlich einmaliger Kosten – etwa Verwaltungsgebühren – sowie regelmäßige Kosten wie jährliche Verwaltungsgebühren. Der Kreditgeber listet die einzelnen Kosten nach Kategorien auf (einmalige Kosten, in den Raten enthaltene regelmäßig anfallende Kosten, in den Raten nicht enthaltene regelmäßig anfallende Kosten) und gibt die jeweiligen Beträge, den Zahlungsempfänger und den Zeitpunkt der Fälligkeit an. Dabei müssen die für Vertragsverletzungen anfallenden Kosten nicht enthalten sein. Ist die Höhe der Kosten nicht bekannt, so gibt der Kreditgeber, falls möglich, einen Näherungswert an; ist dies nicht möglich, so erläutert er, wie sich der Betrag berechnen wird, wobei ausdrücklich anzugeben ist, dass der genannte Betrag lediglich Hinweischarakter hat. Sind einzelne Kosten im effektiven Jahreszins nicht enthalten, weil sie dem Kreditgeber nicht bekannt sind, so ist dies optisch hervorzuheben.
Hat der Verbraucher dem Kreditgeber seine Wünsche in Bezug auf eines oder mehrere Elemente seines Kredits mitgeteilt, beispielsweise in Bezug auf die Laufzeit des Kreditvertrags oder den Gesamtkreditbetrag, so muss der Kreditgeber diese Elemente soweit möglich aufgreifen; sofern ein Kreditvertrag unterschiedliche Verfahren der Inanspruchnahme mit jeweils unterschiedlichen Gebühren oder Sollzinssätzen vorsieht und der Kreditgeber die Annahmen nach Anhang I Teil II zugrunde legt, so weist er darauf hin, dass andere Mechanismen der Inanspruchnahme bei dieser Art des Kreditvertrags zu einem höheren effektiven Jahreszins führen können. Falls die Bedingungen für die Inanspruchnahme in die Berechnung des effektiven Jahreszinses einfließen, hebt der Kreditgeber die Gebühren optisch hervor, die mit anderen Mechanismen der Inanspruchnahme verbunden sein können, welche nicht notwendigerweise diejenigen sind, anhand deren der effektive Jahreszins berechnet worden ist.
(4) Fällt eine Gebühr für die Eintragung einer Hypothek oder vergleichbaren Sicherheit an, so ist diese zusammen mit dem Betrag (sofern bekannt) in diesem Abschnitt anzugeben, oder – falls dies nicht möglich ist – ist die Grundlage für die Festsetzung dieses Betrags anzugeben. Ist die Gebühr bekannt und wurde sie in den effektiven Jahreszins eingerechnet, so sind das Anfallen der Gebühr und deren Höhe unter „einmalige Kosten“ auszuweisen. Ist dem Kreditgeber die Gebühr nicht bekannt und wurde diese daher nicht in den effektiven Jahreszins eingerechnet, so muss das Anfallen einer Gebühr klar und deutlich in der Liste der dem Kreditgeber nicht bekannten Kosten aufgeführt werden. In beiden Fällen ist die Standardformulierung gemäß Teil A unter der entsprechenden Rubrik zu verwenden.
(1) Sind regelmäßige Zahlungen zu leisten, ist das Zahlungsintervall (z. B. monatlich) anzugeben. Sind Zahlungen in unregelmäßigen Abständen vorgesehen, ist dies dem Verbraucher klar zu erläutern.
(2) Es sind alle über die gesamte Kreditlaufzeit zu leistenden Zahlungen aufzuführen.
(1) Es ist klar anzugeben, in welcher Währung der Kredit bereitgestellt wird und die Raten gezahlt werden.
(2) Kann sich die Höhe der Raten während der Kreditlaufzeit ändern, hat der Kreditgeber anzugeben, für welchen Zeitraum die anfängliche Ratenhöhe unverändert bleibt und wann und wie häufig sie sich in der Folge ändern wird.
(3) Handelt es sich bei dem gewährte Kredit oder einem Teil davon um einen endfälligen Kredit, so ist ein diesbezüglicher eindeutiger Hinweis unter Verwendung der Formulierung in Teil A deutlich sichtbar am Ende dieses Abschnitts einzufügen.
Muss der Verbraucher ein damit verbundenes Sparprodukt aufnehmen, um einen durch eine Hypothek oder eine vergleichbare Sicherheit gesicherten endfälligen Kredit zu erhalten, sind Betrag und Häufigkeit von Zahlungen für dieses Produkt anzugeben.
(4) Im Falle eines variablen Sollzinssatzes muss das Merkblatt einen diesbezüglichen Hinweis enthalten, wobei die Formulierung unter Teil A zu verwenden und ein anschauliches Beispiel für die maximale Zahlungsrate anzuführen ist. Besteht eine Obergrenze, so muss in dem Beispiel die Höhe der Raten aufgezeigt werden, die fällig sind, falls der Sollzinssatz die Obergrenze erreicht. Besteht keine Obergrenze, so bildet der ungünstigste denkbare Verlauf die Höhe der Ratenzahlungen beim höchsten Sollzinssatz der letzten 20 Jahre ab oder – falls die der Berechnung des Sollzinssatzes zugrunde liegenden Daten nur für einen Zeitraum von weniger als 20 Jahren vorliegen – des längsten Zeitraums, für den solche Daten vorliegen, und zwar ausgehend vom Höchststand des jeweiligen externen Referenzsatzes, der gegebenenfalls für die Berechnung des Sollzinssatzes herangezogen wurde oder vom Höchststand eines Benchmarkzinssatzes, der von einer zuständigen Behörde oder der EBA festgesetzt wird, sofern der Kreditgeber keinen externen Referenzsatz verwendet. Die Anforderung, ein anschauliches Beispiel anzuführen, gilt nicht für Kreditverträge, bei denen ein fester Sollzinssatz für einen konkreten Anfangszeitraum vom mehreren Jahren vereinbart wurde, der anschließend nach Verhandlungen zwischen Kreditgeber und Verbraucher für einen weiteren Zeitraum festgelegt werden kann. Bei mehrteiligen Krediten (d. h. zugleich zum Teil mit festem und zum Teil mit variablem Zinssatz) sind die entsprechenden Informationen für jeden einzelnen Teil des Kredits und für den Gesamtkredit anzugeben.
(5) (falls zutreffend) Wird der Kredit in einer anderen Währung als der Landeswährung des Verbrauchers bereitgestellt oder ist er auf eine andere Währung als die Landeswährung des Verbrauchers indexiert, verdeutlicht der Kreditgeber – unter Verwendung der Formulierung unter Teil A – anhand eines Zahlenbeispiels, wie sich Änderungen des maßgeblichen Wechselkurses auf die Höhe der Raten auswirken können. Dieses Beispiel basiert auf einem Kursverlust der Landeswährung des Verbrauchers von 20 % und wird von einem Hinweis an hervorgehobener Stelle begleitet, dass die Raten um mehr als den in diesem Beispiel angenommen Betrag steigen können. Besteht eine Obergrenze, die den Anstieg auf weniger als 20 % begrenzt, so ist stattdessen der Höchstwert der Zahlungen in der Landeswährung des Verbrauchers anzugeben und der Hinweis auf etwaige weitere Anstiege entfällt.
(6) Handelt es sich bei dem gesamten Kreditvertrag oder eines Teils davon um einen Kreditvertrag mit variablem Zinssatz und kommt ferner Nummer 5 zur Anwendung, so ist das Beispiel nach Nummer 3 auf der Grundlage der Ratenhöhe im Sinne von Nummer 1 anzugeben.
(7) Werden die Raten in einer anderen Währung als der Kreditwährung gezahlt oder hängt die Höhe der einzelnen in der Landeswährung des Verbrauchers ausgedrückten Raten von dem entsprechenden Betrag in einer anderen Währung ab, so sind in diesem Abschnitt der Termin, zu dem der anwendbare Wechselkurs berechnet wurde sowie entweder der Wechselkurs oder die Grundlage für dessen Berechnung und die Häufigkeit der Anpassung desselben anzugeben. Gegebenenfalls ist dabei der Name der den Wechselkurs veröffentlichenden Einrichtung zu nennen.
(8) Handelt es sich um einen Kredit mit abgegrenztem Zins, bei dem der fällige Zins durch die Raten nicht vollständig zurückbezahlt und zum ausstehenden Gesamtkreditbetrag hinzuaddiert wird, so ist zu erläutern, wie und wann der abgegrenzte Zins als Barbetrag zu dem Kredit hinzuaddiert wird und wie sich dies auf die Restschuld des Verbrauchers auswirkt.
(1) Dieser Abschnitt ist aufzunehmen falls es sich um einen Kredit mit abgegrenztem Zins handelt, bei dem der fällige Zins durch die Raten nicht vollständig zurückbezahlt und zum ausstehenden Gesamtkreditbetrag hinzuaddiert wird oder falls der Sollzinssatz für die Laufzeit des Kreditvertrags festgeschrieben ist.
Hat der Verbraucher ein Recht auf einen überarbeiteten Tilgungsplan, so ist dies zusammen mit den Bedingungen anzugeben, unter denen der Verbraucher dieses Recht hat.
(2) Kann der Sollzinssatz während der Kreditlaufzeit variieren, so hat der Kreditgeber nach Angabe des Sollzinssatzes den Zeitraum zu nennen, während dessen der Anfangszinssatz unverändert bleibt.
(3) Die Tabelle in diesem Abschnitt muss folgende Spalten enthalten: „Rückzahlungsplan“ (z. B. Monat 1, Monat 2, Monat 3), „Ratenhöhe“, „pro Rate zu zahlende Zinsen“, „sonstige in der Rate enthaltene Kosten“ (falls zutreffend), „pro Rate zurückgezahltes Kapital“ und „nach der jeweiligen Ratenzahlung noch zurückzuzahlendes Kapital“.
(4) Für das erste Jahr der Rückzahlung sind für jede einzelne Ratenzahlung die betreffenden Angaben und für jede einzelne Spalte die Zwischensumme am Ende des ersten Jahres anzugeben. Für die Folgejahre können die Angaben auf Jahresbasis gemacht werden. Am Ende der Tabelle ist eine Reihe mit den Gesamtbeträgen für alle Spalten anzufügen. Die vom Verbraucher gezahlten Gesamtkosten des Kredits (d. h. die Gesamtsumme der Spalte „Höhe der Ratenzahlung“) sind optisch deutlich hervorzuheben und als solche darzustellen.
(5) Ist der Sollzinssatz Gegenstand einer Überprüfung und ist die Ratenhöhe nach einer solchen Überprüfung nicht bekannt, kann der Kreditgeber im Tilgungsplan für die gesamte Kreditlaufzeit dieselbe Ratenhöhe angeben. In diesem Fall macht der Kreditgeber den Verbraucher darauf aufmerksam, indem er den Unterschied zwischen bereits feststehenden Beträgen und hypothetischen Beträgen optisch verdeutlicht (z. B. durch Schriftgröße, Rahmen oder Schattierung). Außerdem ist in leicht verständlicher Form zu erläutern, für welche Zeiträume und aus welchen Gründen sich die in der Tabelle angegebenen Beträge ändern können.
(1) Der Kreditgeber nennt in diesem Abschnitt die mit der Kreditvergabe verbundenen Auflagen, so die Auflage, die Immobilie zu versichern, eine Lebensversicherung abzuschließen, das Gehalt auf ein bei dem Kreditgeber geführtes Konto überweisen zu lassen oder ein anderes Produkt oder eine andere Dienstleistung zu erwerben. Für jede dieser Auflagen gibt der Kreditgeber an, wem gegenüber die Verpflichtung besteht und bis wann ihr nachzukommen ist.
(2) Der Kreditgeber gibt die Dauer der Auflage an, z. B. bis zum Ablauf des Kreditvertrags. Der Kreditgeber gibt für jede Verpflichtung die dem Verbraucher entstehenden Kosten an, die im effektiven Jahreszins nicht berücksichtigt wurden.
(3) Der Kreditgeber teilt mit, ob der Verbraucher zum Erwerb etwaiger Nebenleistungen verpflichtet ist, um den Kredit zu den genannten Bedingungen zu erhalten, und ob der Verbraucher gegebenenfalls verpflichtet ist, diese vom bevorzugten Anbieter des Kreditgebers zu erwerben oder ob er diese von einem Anbieter seiner Wahl erwerben kann. Hängt eine solche Möglichkeit davon ab, dass die Nebenleistungen bestimmte Mindestmerkmale aufweisen, so sind diese in dieser Rubrik zu beschreiben.
Sofern der Kreditvertrag mit anderen Produkten gebündelt angeboten wird, nennt der Kreditgeber die wichtigsten Merkmale dieser anderen Produkte und gibt eindeutig an, ob der Verbraucher das Recht hat, den Kreditvertrag oder die an ihn geknüpften Produkte voneinander getrennt zu kündigen, und zu welchen Bedingungen und mit welchen Folgen dies möglich ist sowie gegebenenfalls die möglichen Folgen der Kündigung der in Verbindung mit dem Kreditvertrag vorgeschriebenen Nebenleistungen.
(1) Der Kreditgeber nennt die etwaigen Bedingungen für eine vorzeitige vollständige oder teilweise Rückzahlung des Kredits.
(2) In der Rubrik Ablöseentschädigung weist der Kreditgeber den Verbraucher auf jedwede Ablöseentschädigung oder sonstigen Kosten einer vorzeitigen Rückzahlung zur Entschädigung des Kreditgebers hin und gibt sofern möglich deren Höhe an. Hängt die Höhe der Entschädigung von verschiedenen Faktoren ab, wie etwa der Höhe des bereits zurückgezahlten Betrags oder dem zum Zeitpunkt der vorzeitigen Rückzahlung geltenden Sollzinssatz, so erläutert der Kreditgeber, wie die Entschädigung berechnet wird, und gibt den potenziellen Höchstbetrag der Entschädigung an oder – falls dies nicht möglich ist – macht er dem Verbraucher in einem anschaulichen Beispiel deutlich, wie hoch die Entschädigung bei Zugrundelegung unterschiedlicher möglicher Szenarien ausfällt.
(1) Gegebenenfalls erläutert der Kreditgeber die Möglichkeit und die Bedingungen für die Übertragung des Kredits auf einen anderen Kreditgeber oder eine andere Immobilie.
(2) (Falls zutreffend) Zusätzliche Merkmale: Wenn Produkte eines der unten unter Nummer 5 aufgelisteten Merkmale enthalten, muss dieser Abschnitt diese Merkmale auflisten und eine knappe Erläuterung der folgenden Punkte enthalten: die Bedingungen, unter denen der Verbraucher dieses Merkmal nutzen kann; jegliche mit dem Merkmal verbundenen Bedingungen; ob gewöhnlich mit dem Merkmal verbundene gesetzliche oder andere Schutzvorkehrungen für den Verbraucher wegfallen, wenn das Merkmal Bestandteil des durch eine Hypothek oder vergleichbare Sicherheit gesicherten Kredits ist, und die Firma, die das Merkmal anbietet (sofern mit dem Kreditgeber nicht identisch).
(3) Wenn das Merkmal zusätzliche Kredite umfasst, müssen dem Verbraucher in diesem Abschnitt die folgenden Punkte erläutert werden: der Gesamtkreditbetrag (einschließlich des Kredits, der durch die Hypothek oder vergleichbare Sicherheit gesichert ist); ob der zusätzliche Kredit besichert ist; die entsprechenden Sollzinssätze und ob er einer Regulierung unterliegt. Dieser zusätzliche Kreditbetrag ist entweder im Rahmen der ursprünglichen Kreditwürdigkeitsprüfung enthalten oder – wenn dies nicht der Fall ist – es wird in diesem Abschnitt klargestellt, dass die Verfügbarkeit des zusätzlichen Betrags von einer weiteren Prüfung der Fähigkeit des Verbrauchers, den Kredit zurückzuzahlen, abhängt.
(4) Wenn das Merkmal einen Träger für Spareinlagen umfasst, sind die entsprechenden Zinssätze zu erläutern.
(5) Die möglichen weiteren Merkmale sind: „Überzahlungen/Unterzahlungen“ [es wird mehr oder weniger zurückgezahlt als die im Rahmen der Amortisationsstruktur vereinbarte normale Rate]; „Zahlungsunterbrechungen“ [Zeiträume, während denen der Verbraucher keine Zahlungen leisten muss]; „Rückdarlehen“ [Möglichkeit für den Verbraucher, Beträge, die bereits in Anspruch genommen und zurückbezahlt wurden, erneut aufzunehmen]; „verfügbare zusätzliche Kreditaufnahme ohne weitere Genehmigung“; „zusätzliche besicherte oder unbesicherte Kreditaufnahme [in Übereinstimmung mit Nummer 3 oben] „Kreditkarte“; „damit verbundenes Girokonto“ sowie „damit verbundenes Sparkonto“.
(6) Der Kreditgeber kann alle weiteren Merkmale erläutern, die er als Teil des Kreditvertrags anbietet und die nicht in den vorausgehenden Abschnitten genannt sind.
(1) Der Kreditgeber weist auf die bestehenden Rechte hin wie etwa ein Recht auf Widerruf oder Bedenkzeit oder gegebenenfalls andere Rechte wie etwa ein Recht auf Übertragbarkeit (einschließlich Abtretung), spezifiziert die Voraussetzungen für ihre Ausübung, die bei ihrer Ausübung vom Verbraucher einzuhaltenden Verfahren – unter anderem die Adresse, an die die Mitteilung über den Widerruf zu richten ist – sowie die entsprechenden Gebühren (falls zutreffend).
(2) Falls der Verbraucher ein Recht auf Bedenkzeit oder Widerruf hat, so wird deutlich darauf hingewiesen.
(3) Wird der Kreditvertrag im Rahmen eines Fernabsatzgeschäfts angeboten, ist der Verbraucher im Einklang mit Artikel 3 der Richtlinie 2002/65/EG darüber zu unterrichten, ob er über ein Widerrufsrecht verfügt oder nicht.
(1) In diesem Abschnitt werden die interne Kontaktstelle [Bezeichnung der einschlägigen Abteilung] und ein Weg zur Kontaktaufnahme mit dieser Beschwerdestelle [Anschrift] oder [Telefonnummer] oder [eine Kontaktperson] [Kontaktangaben] sowie ein Link zu einem Beschwerdeverfahren auf der entsprechenden Seite einer Website oder ähnlichen Informationsquelle angegeben.
(2) Es wird der Name der externen Stelle für außergerichtliche Beschwerde- und Rechtsbehelfsverfahren angegeben und – falls die Nutzung des internen Beschwerdeverfahrens eine Voraussetzung für den Zugang zu dieser Stelle ist – wird unter Verwendung der Formulierung in Teil A auf diesen Umstand hingewiesen.
(3) Bei Kreditverträgen mit einem Verbraucher, der seinen Wohnsitz in einem anderen Mitgliedstaat hat, macht der Kreditgeber diesen auf das FIN-NET aufmerksam (http://ec.europa.eu/internal_market/finnet/).
(1) Kann die Nichteinhaltung einer aus dem Kredit erwachsenden Verpflichtung durch den Verbraucher für diesen finanzielle oder rechtliche Konsequenzen haben, erläutert der Kreditgeber in diesem Abschnitt die wichtigsten Fälle (z. B. Zahlungsverzug/Zahlungsausfall, Nichteinhaltung der in Abschnitt 8 – „Zusätzliche Auflagen“ – genannten Verpflichtungen) und gibt an, wo weitere Informationen eingeholt werden können.
(2) Der Kreditgeber gibt für jeden dieser Fälle in klarer, leicht verständlicher Form an, welche Sanktionen oder Konsequenzen daraus erwachsen können. Hinweise auf schwerwiegende Konsequenzen sind optisch hervorzuheben.
(3) Kann die zur Besicherung des Kredits verwendete Immobilie an den Kreditgeber zurückgegeben oder übertragen werden, falls der Verbraucher seinen Verpflichtungen nicht nachkommt, so ist in diesem Abschnitt unter Verwendung der Formulierung in Teil A auf diesen Umstand hinzuweisen.
(1) Im Falle von Fernabsatz enthält dieser Abschnitt sämtliche Angaben zu dem auf den Kreditvertrag anwendbaren Recht oder zur zuständigen Gerichtsbarkeit.
(2) Beabsichtigt der Kreditgeber, während der Vertragslaufzeit mit dem Verbraucher in einer anderen Sprache als der des ESIS-Merkblatts zu kommunizieren, wird dies ebenfalls erwähnt und die Sprache angegeben, in der kommuniziert werden soll. Die Bestimmungen des Artikels 3 Absatz 1 sowie des Artikels 3 Absatz 3 Buchstabe g der Richtlinie 2002/65/EG bleiben hiervon unberührt.
(3) Der Kreditgeber oder der Kreditvermittler weisen auf das Recht des Verbrauchers hin, dass er gegebenenfalls zumindest zum Zeitpunkt der Vorlage eines für den Kreditgeber verbindlichen Angebots eine Ausfertigung des Kreditvertragsentwurfs erhält oder ihm dies angeboten wird.
Es sind die Behörden anzugeben, die für die Überwachung des vorvertraglichen Stadiums der Kreditvergabe zuständig sind.
| 2. (falls zutreffend) Kreditvermittler |
| [Name] [Telefon] [Anschrift] (Fakultativ) [E-Mail] (Fakultativ)[Faxnummer] (Fakultativ)[Internetadresse] (Fakultativ) [Kontaktperson/-stelle] (Falls zutreffend, Informationen darüber, ob Beratungsdienstleistungen erbracht werden:])[(Wir empfehlen nach Analyse Ihres Bedarfs und Ihrer Situation, dass Sie diesen Kredit aufnehmen./Wir empfehlen Ihnen keinen bestimmten Kredit. Aufgrund Ihrer Antworten auf einige der Fragen erhalten Sie von uns jedoch Informationen zu diesem Kredit, damit Sie Ihre eigene Entscheidung treffen können.)]. [Vergütung] |
| 3. Hauptmerkmale des Kredits |
| Kreditbetrag und Währung: [Wert] [Währung] (falls zutreffend) Dieser Kredit lautet nicht auf [Landeswährung des Kreditnehmers]. (falls zutreffend) Der Wert Ihres Kredits in [Landeswährung des Kreditnehmers] kann sich ändern. (falls zutreffend) Wenn beispielsweise [Landeswährung des Kreditnehmers] gegenüber [Kreditwährung] um 20 % an Wert verliert, würde sich der Wert Ihres Kredits um [Betrag in der Landeswährung des Kreditnehmers] erhöhen. Allerdings könnte es sich auch um einen höheren Betrag handeln, falls [Landeswährung des Kreditnehmers] um mehr als 20 % an Wert verliert. (falls zutreffend) Der Wert Ihres Kredits beläuft sich auf maximal [Betrag in der Landeswährung des Kreditnehmers]. (falls zutreffend) Sie erhalten einen Warnhinweis, falls der Kreditbetrag [Betrag in der Landeswährung des Kreditnehmers] erreicht. (falls zutreffend) Sie haben die Möglichkeit, [Recht auf Neuverhandlung eines Fremdwährungskreditvertrags oder Recht, den Kredit in [einschlägige Währung] umzuwandeln, und Bedingungen]. Laufzeit des Kredits: [Laufzeit] [Kreditart] [Art des anwendbaren Zinssatzes] Zurückzuzahlender Gesamtbetrag: Dies bedeutet, dass Sie [Betrag] je geliehene(n) [Währungseinheit] zurückzuzahlen haben. (falls zutreffend) Bei dem gewährten Kredit/einem Teil des gewährten Kredits handelt es sich um einen endfälligen Kredit. Ihre Schuld nach Ablauf der Laufzeit des Kredits beträgt [Kreditbetrag nach Endfälligkeit]. (falls zutreffend) Für dieses Merkblatt zugrunde gelegter Schätzwert der Immobilie [Betrag] (falls zutreffend] Beleihungsgrenze (maximale Höhe des Kredits im Verhältnis zum Wert der Immobilie) [Verhältnis] oder Mindestwert der Immobilie als Voraussetzung für die Aufnahme eines Kredits in der angegebenen Höhe [Betrag] (falls zutreffend) [Sicherheit] |
| 4. Zinssatz und andere Kosten |
| Der effektive Jahreszins entspricht den Gesamtkosten des Kredits, ausgedrückt als jährlicher Prozentsatz. Der effektive Jahreszins erleichtert den Vergleich verschiedener Angebote. Der für Ihren Kredit geltende effektive Jahreszins beträgt [effektiver Jahreszins]. Er setzt sich zusammen aus: Zinssatz: [Wert in Prozent oder, falls zutreffend, Angabe eines Referenzzinssatzes und Prozentwerts der Zinsmarge des Kreditgebers] [sonstige Komponenten des effektiven Jahreszinses] Einmalige Kosten: (falls zutreffend) Für die Eintragung der Hypothek bzw. Grundschuld wird eine Gebühr fällig. [Gebühr sofern bekannt oder Grundlage für die Berechnung.] Regelmäßig anfallende Kosten: (falls zutreffend) Dieser effektive Jahreszins wird anhand des angenommenen Zinssatzes berechnet. (falls zutreffend) Da es sich bei Ihrem Kredit [einem Teil Ihres Kredits] um einen Kredit mit variablem Zinssatz handelt, kann der tatsächliche effektive Jahreszins von dem angegebenen effektiven Jahreszins abweichen, falls sich der Zinssatz ihres Kredits ändert. Falls sich der Zinssatz beispielsweise auf [unter Teil B beschriebenes Szenario] erhöht, kann der effektive Jahreszins auf [Beispiel für den gemäß diesem Szenario fälligen effektiven Jahreszins] ansteigen. (falls zutreffend) Beachten Sie bitte, dass bei der Berechnung dieses effektiven Jahreszinses davon ausgegangen wird, dass der Zinssatz während der gesamten Vertragslaufzeit auf dem für den Anfangszeitraum festgelegten Niveau bleibt. (falls zutreffend) Die folgenden Kosten sind dem Kreditgeber nicht bekannt und sind daher im effektiven Jahreszins nicht enthalten: [Kosten] (falls zutreffend) Für die Eintragung der Hypothek bzw. Grundschuld wird eine Gebühr fällig. Bitte vergewissern Sie sich, dass Sie alle im Zusammenhang mit Ihrem Kredit anfallenden Kosten und Gebühren bedacht haben. |
| 5. Häufigkeit und Anzahl der Ratenzahlungen |
| Häufigkeit der Ratenzahlungen: [Zahlungsintervall] Anzahl der Zahlungen: [Anzahl] |
| 6. Höhe der einzelnen Raten |
| [Betrag] [Währung] Ihre Einkommenssituation kann sich ändern. Prüfen Sie bitte, ob Sie Ihre [Zahlungsintervall] Raten auch dann noch zahlen können, wenn sich Ihr Einkommen verringern sollte. (falls zutreffend) Da es sich bei dem [gewährten Kredit/einem Teil des gewährten Kredits] um einen endfälligen Kredit handelt, müssen Sie eine gesonderte Regelung für die Tilgung der Schuld von [Kreditbetrag nach Endfälligkeit] nach Ablauf der Laufzeit des Kredits treffen. Berücksichtigen Sie dabei auch alle Zahlungen, die Sie zusätzlich zu der hier angegebenen Ratenhöhe leisten müssen. (falls zutreffend) Der Zinssatz dieses Kredits oder eines Teils davon kann sich ändern. Daher kann die Höhe Ihrer Raten steigen oder sinken. Falls sich der Zinssatz beispielsweise auf [unter Teil B beschriebenes Szenario] erhöht, können Ihre Ratenzahlungen auf [Angabe der Höhe der gemäß diesem Szenario fälligen Rate] ansteigen. (falls zutreffend) Die Höhe der [Zahlungsintervall] in [Landeswährung des Kreditnehmers] fälligen Zahlungen kann sich ändern. (falls zutreffend) Ihre pro [Zahlungsperiode] fälligen Zahlungen können sich auf [Höchstbetrag in der Landeswährung des Kreditnehmers] erhöhen. (falls zutreffend) Wenn beispielsweise [Landeswährung des Kreditnehmers] gegenüber [Kreditwährung] um 20 % an Wert verliert, müssten Sie pro [Zeitraum] [Betrag in der Landeswährung des Kreditnehmers] mehr zahlen. Ihre Zahlungen könnten auch um einen höheren Betrag ansteigen. (falls zutreffend) Bei der Umrechnung Ihrer in [Kreditwährung] geleisteten Rückzahlungen in [Landeswährung des Kreditnehmers] wird der von [Name der den Wechselkurs veröffentlichenden Einrichtung] am [Datum] veröffentlichte oder auf der Grundlage von [Bezeichnung der Bezugsgrundlage oder Berechnungsmethode] am [Datum] errechnete Wechselkurs zugrunde gelegt. (falls zutreffend) [Spezifische Angaben zu verbundenen Sparprodukten und Krediten mit abgegrenztem Zins] |
| 7. (falls zutreffend) Beispiel eines Tilgungsplans |
| Der folgenden Tabelle ist die Höhe des pro [Zahlungsintervall] zu zahlenden Betrags zu entnehmen. Die Raten (Spalte [Nummer]) setzen sich aus zu zahlenden Zinsen (Spalte [Nummer]) und, falls zutreffend, zu zahlender Tilgung (Spalte [Nummer]) sowie, falls zutreffend, sonstigen Kosten (Spalte [Nummer]) zusammen. (falls zutreffend) Die in der Spalte „sonstige Kosten“ angegebenen Kosten betreffen [Aufzählung der Kosten]. Das Restkapital (Spalte [Nummer]) ist der nach einer Ratenzahlung noch verbleibende zurückzuzahlende Kreditbetrag. [Tabelle] |
| 8. Zusätzliche Auflagen |
| Der Kreditnehmer muss folgende Auflagen erfüllen, um in den Genuss der im vorliegenden Dokument genannten Kreditkonditionen zu kommen. [Auflagen] (falls zutreffend) Beachten Sie bitte, dass sich die in diesem Dokument genannten Kreditkonditionen (einschließlich Zinssatz) ändern können, falls Sie diese Auflagen nicht erfüllen. (falls zutreffend) Beachten Sie bitte die möglichen Konsequenzen einer späteren Kündigung der mit dem Kredit verbundenen Nebenleistungen: [Konsequenzen] |
| 9. Vorzeitige Rückzahlung |
| Sie können den Kredit ganz oder teilweise vorzeitig zurückzahlen. (falls zutreffend) [Bedingungen] (falls zutreffend) Ablösungsentschädigung: [Betrag oder, sofern keine Angabe möglich ist, Berechnungsmethode] (falls zutreffend) Sollten Sie beschließen, den Kredit vorzeitig zurückzuzahlen, setzen Sie sich bitte mit uns in Verbindung, um die genaue Höhe der Ablösungsentschädigung zum betreffenden Zeitpunkt in Erfahrung zu bringen. |
| 10. Flexible Merkmale |
| (falls zutreffend) [Information über Übertragbarkeit/Abtretung] Sie können den Kredit auf [einen anderen Kreditgeber] [oder] [eine andere Immobilie] übertragen. [Bedingungen] (falls zutreffend) Sie können den Kredit nicht auf [einen anderen Kreditgeber] [oder] [eine andere Immobilie] übertragen. (falls zutreffend) Zusätzliche Merkmale: [Erläuterung der in Teil B aufgelisteten zusätzlichen Merkmale und – fakultativ – aller weiteren Merkmale, die der Kreditgeber im Rahmen des Kreditvertrags anbietet und die nicht in den vorausgehenden Abschnitten genannt sind]. |
| 11. Sonstige Rechte des Kreditnehmers |
| (falls zutreffend) Bevor Sie sich für die Aufnahme des Kredits entscheiden, haben Sie ab dem [Zeitpunkt, zu dem die Bedenkzeit beginnt][Dauer der Bedenkzeit] Bedenkzeit. (falls zutreffend) Sobald Sie den Kreditvertrag vom Kreditgeber erhalten haben, können Sie diesen nicht vor Ablauf einer Frist von [Zeitraum der Bedenkzeit] annehmen. |
| (falls zutreffend) Sie können während eines Zeitraums von [Dauer der Widerrufsfrist] ab [Zeitpunkt, zu dem die Widerruffrist beginnt] von Ihrem Widerrufsrecht Gebrauch machen. [Bedingungen][Verfahren] (falls zutreffend) Sie können Ihr Widerrufsrecht verlieren, wenn Sie innerhalb dieses Zeitraums eine Immobilie erwerben oder veräußern, die im Zusammenhang mit diesem Kreditvertrag steht. (falls zutreffend) Sollten Sie beschließen, von Ihrem Recht auf Widerruf [des Kreditvertrags] Gebrauch zu machen, so prüfen Sie bitte, ob Sie durch andere [, in Abschnitt 8 genannte] Auflagen im Zusammenhang mit dem Kredit [einschließlich der mit dem Kredit verbundenen Nebenleistungen] weiter gebunden bleiben. |
| 12. Beschwerden |
| Im Fall einer Beschwerde wenden Sie sich bitte an [interne Kontaktstelle und Informationsquelle zum weiteren Verfahren] (falls zutreffend) Maximale Frist für die Bearbeitung der Beschwerde: [Zeitraum] (falls zutreffend) Sollten wir die Beschwerde nicht intern zu Ihrer Zufriedenheit beilegen, so können Sie sich auch an [Name der externen Stelle für außergerichtliche Beschwerde- und Rechtsbehelfsverfahren] wenden (falls zutreffend) oder Sie können weitere Informationen bei FIN-NET oder der entsprechenden Stelle in Ihrem eigenen Land erfragen. |
| 13. Nichteinhaltung der aus dem Kreditvertrag erwachsenden Verpflichtungen: Konsequenzen für den Kreditnehmer |
| [Arten eines Verstoßes gegen die Verpflichtungen] [finanzielle und/oder rechtliche Folgen] Sollten Sie Schwierigkeiten haben, die [Zahlungsintervall] Zahlungen zu leisten, so nehmen Sie bitte umgehend Kontakt mit uns auf, damit nach möglichen Lösungen gesucht werden kann. (falls zutreffend) Kommen Sie Ihren Zahlungsverpflichtungen nicht nach, kann als letztes Mittel Ihre Immobilie zwangsversteigert werden.. |
| (falls zutreffend) 14. Zusätzliche Informationen |
| (falls zutreffend) [auf den Kreditvertrag anwendbares Recht]. (Sofern der Kreditgeber eine Sprache verwenden möchte, die sich von der Sprache des ESIS-Merkblatts unterscheidet) Informationen und Vertragsbedingungen werden in [Angabe der Sprache] vorgelegt. Mit Ihrer Zustimmung werden wir während der Laufzeit des Kreditvertrags mit Ihnen in [Angabe der Sprache(n)] kommunizieren. [Hinweis betreffend das Recht, dass der Kreditvertrags gegebenenfalls im Entwurf vorgelegt oder dies angeboten wird] |
| 15. Aufsichtsbehörde |
| Die Aufsicht über diesen Kreditgeber obliegt: [Bezeichnung(en) und Internetadresse(n) der Aufsichtsbehörde(n)]. (falls zutreffend) Die Aufsicht über diesen Kreditvermittler obliegt: [Bezeichnung und Internetadresse der Aufsichtsbehörde] |
Beim Ausfüllen des ESIS-Merkblatts sind die folgenden Hinweise zu beachten.
Das Datum, bis zu dem die Angaben gelten, ist optisch angemessen hervorzuheben. Für die Zwecke dieses Abschnitts bezeichnet der Begriff „Gültigkeitsdatum“ den Zeitraum, innerhalb dessen die im ESISMerkblatt enthaltenen Angaben, etwa der Sollzinssatz, unverändert bleiben und zur Anwendung kommen werden, falls der Kreditgeber beschließt, den Kredit innerhalb dieser Frist zu bewilligen. Hängt die Festlegung des anwendbaren Sollzinssatzes und anderer Kosten vom Ergebnis des Verkaufs zugrunde liegender Wertpapiere ab, so können der letztliche Sollzinssatz und andere Kosten gegebenenfalls von diesen Angaben abweichen. Ausschließlich unter diesen Umständen ist auf die Tatsache, dass sich das Gültigkeitsdatum nicht auf den Sollzinssatz und andere Kosten bezieht, mit folgender Angabe hinzuweisen: „mit Ausnahme des Zinssatzes und anderer Kosten“.
(1) Name, Telefonnummer und Anschrift des Kreditgebers müssen die Kontaktdaten sein, die der Verbraucher im künftigen Schriftwechsel verwenden kann.
(2) Angaben zu E-Mail-Adresse, Faxnummer, Internetadresse und Kontaktperson/-stelle sind fakultativ.
(3) Wird der Kreditvertrag im Rahmen eines Fernabsatzgeschäfts angeboten, muss der Kreditgeber im Einklang mit Artikel 3 der Richtlinie 2002/65/EG gegebenenfalls Namen und Anschrift seines Vertreters in dem Mitgliedstaat, in dem der Verbraucher seinen Wohnsitz hat, angeben. Die Angabe von Telefonnummer, E-Mail-Adresse und Internetadresse des Vertreters des Kreditgebers ist fakultativ.
(4) Kommt Abschnitt 2 nicht zur Anwendung, so unterrichtet der Kreditgeber unter Verwendung der Formulierungen in Teil A den Verbraucher darüber, ob und auf welcher Grundlage Beratungsdienstleistungen erbracht werden.
Erhält der Verbraucher die Produktinformationen von einem Kreditvermittler, so erteilt dieser die folgenden Informationen:
(1) Name, Telefonnummer und Anschrift des Kreditvermittlers müssen die Kontaktdaten sein, die der Verbraucher im künftigen Schriftwechsel verwenden kann.
(2) Angaben zu E-Mail-Adresse, Faxnummer, Internetadresse und Kontaktperson/-stelle sind fakultativ.
(3) Der Kreditvermittler unterrichtet unter Verwendung der Formulierungen in Teil A den Verbraucher darüber, ob und auf welcher Grundlage Beratungsdienstleistungen erbracht werden.
(4) Erläuterungen zur Art und Weise der Vergütung des Kreditvermittlers. Erhält dieser eine Provision vom Kreditgeber, so sind der Betrag und – sofern abweichend von der Angabe unter Abschnitt 1 – der Name des Kreditgebers anzugeben.
(1) In diesem Abschnitt sind die Hauptmerkmale des Kredits, einschließlich des Wertes, der Währung und der potenziellen Risiken, die mit dem Sollzinssatz (darunter die unter Nummer 8 genannte Risiken) und der Amortisationsstruktur verbunden sind, klar darzulegen.
(2) Handelt es sich bei der Kreditwährung nicht um die Landeswährung des Verbrauchers, so weist der Kreditgeber darauf hin, dass der Verbraucher zumindest einen regelmäßigen Warnhinweis erhält, sobald der Wechselkurs um mehr als 20 % schwankt, gegebenenfalls das Recht hat, die Währung des Kreditvertrags umzuwandeln, oder die Möglichkeit hat, die Bedingungen neu auszuhandeln, sowie auf alle sonstigen Regelungen, die dem Verbraucher zur Begrenzung des Wechselkursrisikos zur Verfügung stehen. Ist im Kreditvertrag eine Bestimmung zur Begrenzung des Wechselkursrisikos vorgesehen, so gibt der Kreditgeber den Höchstbetrag an, den der Verbraucher gegebenenfalls zurückzuzahlen hat. Ist im Kreditvertrag keine Bestimmung vorgesehen, wonach das Wechselkursrisiko für den Verbraucher auf eine Wechselkursschwankung von weniger als 20 % begrenzt wird, so gibt der Kreditgeber ein anschauliches Beispiel dafür, wie sich ein Kursverfall der Landeswährung des Verbrauchers von 20 % gegenüber der Kreditwährung auf den Wert des Kredits auswirkt.
(3) Die Laufzeit des Kredits ist – je nach Relevanz – in Jahren oder Monaten auszudrücken. Kann sich die Kreditlaufzeit während der Geltungsdauer des Vertrags ändern, erläutert der Kreditgeber, wann und unter welchen Bedingungen dies möglich ist. Handelt es sich um einen unbefristeten Kredit, etwa für eine gesicherte Kreditkarte, so ist dies vom Kreditgeber klar anzugeben.
(4) Die Art des Kredits ist genau anzugeben (z. B. hypothekarisch besicherter Kredit, wohnungswirtschaftlicher Kredit, gesicherte Kreditkarte). Bei der Beschreibung der Kreditart ist klar anzugeben, wie Kapital und Zinsen während der Laufzeit des Kredits zurückzuzahlen sind (d. h. die Amortisationsstruktur) und ob der Kreditvertrag auf einer Kapitalrückzahlung oder auf der Endfälligkeit basiert oder eine Mischung von beidem ist.
(5) Handelt es sich bei dem gewährte Kredit oder einem Teil davon um einen endfälligen Kredit, so ist ein diesbezüglicher eindeutiger Hinweis unter Verwendung der Formulierung in Teil A deutlich sichtbar am Ende dieses Abschnitts einzufügen
(6) In diesem Abschnitt ist anzugeben, ob der Sollzinssatz fest oder variabel ist, sowie gegebenenfalls die Zeiträume, für die der Zinssatz festgeschrieben ist, wie häufig der Zinssatz in der Folge überprüft wird und inwieweit die Variabilität des Sollzinssatzes nach oben oder nach unten hin begrenzt ist.
Die Formel für die Überprüfung des Sollzinssatzes und seiner einzelnen Bestandteile (z. B. Referenzzinssatz, Zinsmarge) ist zu erläutern. Der Kreditgeber hat anzugeben, etwa mittels einer Internetadresse, wo weitere Informationen zu den in der Formel zugrunde gelegten Indizes oder Zinssätzen zu finden sind, z. B. Euribor-Satz oder Referenzzinsatz der Zentralbank.
(7) Gelten unter bestimmten Umständen unterschiedliche Sollzinssätze, so sind diese Angaben für alle anzuwendenden Sollzinssätze zu machen.
(8) Der „zurückzuzahlende Gesamtbetrag“ entspricht dem Gesamtbetrag, den der Verbraucher zu zahlen hat. Er wird dargestellt als die Summe aus Kreditbetrag und Gesamtkosten des Kredits für den Verbraucher. Ist der Sollzinssatz für die Laufzeit des Vertrags nicht festgelegt, so ist optisch hervorzuheben, dass dieser Betrag lediglich Beispielcharakter hat und insbesondere bei einer Veränderung des Sollzinssatzes variieren kann.
(9) Wird der Kredit durch eine Hypothek auf die Immobilie oder durch eine andere vergleichbare Sicherheit oder ein Recht an einer Immobilie gesichert, hat der Kreditgeber den Verbraucher darauf hinzuweisen. Der Kreditgeber hat gegebenenfalls den geschätzten Wert der Immobilie oder der sonstigen Sicherheiten zu nennen, die zur Erstellung dieses Merkblatts herangezogen wurden.
(10) Der Kreditgeber gibt gegebenenfalls Folgendes an:
a) die „Beleihungsgrenze“ (maximale Höhe des Kredits im Verhältnis zum Wert der Immobilie,) die das Verhältnis zwischen Kredithöhe und Objektwert angibt. Neben der entsprechenden Angabe ist ein konkretes Zahlenbeispiel für die Ermittlung des Höchstbetrags zu nennen, der bei einem bestimmten Immobilienwert als Kredit aufgenommen werden kann; oder
b) den „Mindestwert der Immobilie, den der Kreditgeber für die Vergabe eines Kredits in der angegebenen Höhe voraussetzt“.
(11) Bei mehrteiligen Krediten (z. B. zum Teil mit festem und zum Teil mit variablem Zinssatz) muss dies aus den Angaben zur Art des Kredits hervorgehen und die vorgeschriebenen Informationen müssen für jeden Teil des Kredits angegeben werden.
(1) Der Begriff „Zinssatz“ bezeichnet den Sollzinssatz oder die Sollzinssätze.
(2) Der Sollzinssatz ist als Prozentwert anzugeben. Handelt es sich um einen variablen Sollzinssatz auf Basis eines Referenzzinssatzes, so kann der Kreditgeber den Sollzinssatz in Form eines Referenzzinssatzes und eines Prozentwerts seiner Zinsmarge angeben. Der Kreditgeber muss allerdings den am Tag der Ausstellung des ESIS-Merkblatts geltenden Wert des Referenzzinssatzes angeben.
Im Falle eines variablen Sollzinssatzes ist Folgendes anzugeben: a) die für die Berechnung des effektiven Jahreszinses zugrunde gelegten Annahmen, b) gegebenenfalls die geltenden Ober- und Untergrenzen sowie c) ein Warnhinweis, dass sich die Variabilität negativ auf die tatsächliche Höhe des effektiven Jahreszinses auswirken könnte. Der Warnhinweis hat in größerer Schrift deutlich sichtbar im Hauptteil des ESIS-Merkblatts zu erscheinen, damit die Aufmerksamkeit der Verbraucher darauf gelenkt wird. Der Warnhinweis sollte durch ein anschauliches Beispiel zum effektiven Jahreszins ergänzt werden. Besteht eine Obergrenze für den Sollzinssatz, so basiert das Beispiel auf der Annahme, dass der Sollzinssatz bei frühestmöglicher Gelegenheit auf das höchste im Kreditvertrag vorgesehene Niveau ansteigt. Besteht keine Obergrenze, so bildet das Beispiel den effektiven Jahreszins beim höchsten Sollzinssatz der mindestens letzten zwanzig Jahre ab oder – falls die der Berechnung des Sollzinssatzes zugrunde liegenden Daten nur für einen Zeitraum von weniger als 20 Jahren vorliegen – des längsten Zeitraums, für den solche Daten vorliegen, und zwar ausgehend vom Höchststand des jeweiligen externen Referenzsatzes, der gegebenenfalls für die Berechnung des Sollzinssatzes herangezogen wurde oder vom Höchststand eines Benchmarkzinssatzes, der von einer zuständigen Behörde oder der EBA festgesetzt wird, sofern der Kreditgeber keinen externen Referenzsatz verwendet. Diese Anforderung gilt nicht für Kreditverträge, bei denen für einen konkreten Anfangszeitraum von mehreren Jahren ein fester Sollzinssatz vereinbart wurde, der anschließend nach Verhandlungen zwischen Kreditgeber und Verbraucher für einen weiteren Zeitraum festgeschrieben werden kann. Im Falle von Kreditverträgen, bei denen für einen konkreten Anfangszeitraum von mehreren Jahren ein fester Sollzinssatz vereinbart wurde, der anschließend nach Verhandlungen zwischen Kreditgeber und Verbraucher für einen weiteren Zeitraum festgeschrieben werden kann, muss das Merkblatt einen Warnhinweis enthalten, dass der effektive Jahreszins auf der Grundlage des Sollzinssatzes für den Anfangszeitraum berechnet worden ist. Der Warnhinweis ist durch ein zusätzliches anschauliches Beispiel für den gemäß Artikel 17 Absatz 5 errechneten effektiven Jahreszins zu ergänzen. Bei mehrteiligen Krediten (z. B. zugleich zum Teil mit festem und zum Teil mit variablem Zinssatz) sind die entsprechenden Informationen für jeden einzelnen Teil des Kredits zu erteilen.
(3) In der Rubrik „sonstige Komponenten des effektiven Jahreszinses“ sind alle sonstigen im effektiven Jahreszins enthaltenen Kosten aufzuführen, einschließlich einmaliger Kosten – etwa Verwaltungsgebühren – sowie regelmäßige Kosten wie jährliche Verwaltungsgebühren. Der Kreditgeber listet die einzelnen Kosten nach Kategorien auf (einmalige Kosten, in den Raten enthaltene regelmäßig anfallende Kosten, in den Raten nicht enthaltene regelmäßig anfallende Kosten) und gibt die jeweiligen Beträge, den Zahlungsempfänger und den Zeitpunkt der Fälligkeit an. Dabei müssen die für Vertragsverletzungen anfallenden Kosten nicht enthalten sein. Ist die Höhe der Kosten nicht bekannt, so gibt der Kreditgeber, falls möglich, einen Näherungswert an; ist dies nicht möglich, so erläutert er, wie sich der Betrag berechnen wird, wobei ausdrücklich anzugeben ist, dass der genannte Betrag lediglich Hinweischarakter hat. Sind einzelne Kosten im effektiven Jahreszins nicht enthalten, weil sie dem Kreditgeber nicht bekannt sind, so ist dies optisch hervorzuheben.
Hat der Verbraucher dem Kreditgeber seine Wünsche in Bezug auf eines oder mehrere Elemente seines Kredits mitgeteilt, beispielsweise in Bezug auf die Laufzeit des Kreditvertrags oder den Gesamtkreditbetrag, so muss der Kreditgeber diese Elemente soweit möglich aufgreifen; sofern ein Kreditvertrag unterschiedliche Verfahren der Inanspruchnahme mit jeweils unterschiedlichen Gebühren oder Sollzinssätzen vorsieht und der Kreditgeber die Annahmen nach Anhang I Teil II zugrunde legt, so weist er darauf hin, dass andere Mechanismen der Inanspruchnahme bei dieser Art des Kreditvertrags zu einem höheren effektiven Jahreszins führen können. Falls die Bedingungen für die Inanspruchnahme in die Berechnung des effektiven Jahreszinses einfließen, hebt der Kreditgeber die Gebühren optisch hervor, die mit anderen Mechanismen der Inanspruchnahme verbunden sein können, welche nicht notwendigerweise diejenigen sind, anhand deren der effektive Jahreszins berechnet worden ist.
(4) Fällt eine Gebühr für die Eintragung einer Hypothek oder vergleichbaren Sicherheit an, so ist diese zusammen mit dem Betrag (sofern bekannt) in diesem Abschnitt anzugeben, oder – falls dies nicht möglich ist – ist die Grundlage für die Festsetzung dieses Betrags anzugeben. Ist die Gebühr bekannt und wurde sie in den effektiven Jahreszins eingerechnet, so sind das Anfallen der Gebühr und deren Höhe unter „einmalige Kosten“ auszuweisen. Ist dem Kreditgeber die Gebühr nicht bekannt und wurde diese daher nicht in den effektiven Jahreszins eingerechnet, so muss das Anfallen einer Gebühr klar und deutlich in der Liste der dem Kreditgeber nicht bekannten Kosten aufgeführt werden. In beiden Fällen ist die Standardformulierung gemäß Teil A unter der entsprechenden Rubrik zu verwenden.
(1) Sind regelmäßige Zahlungen zu leisten, ist das Zahlungsintervall (z. B. monatlich) anzugeben. Sind Zahlungen in unregelmäßigen Abständen vorgesehen, ist dies dem Verbraucher klar zu erläutern.
(2) Es sind alle über die gesamte Kreditlaufzeit zu leistenden Zahlungen aufzuführen.
(1) Es ist klar anzugeben, in welcher Währung der Kredit bereitgestellt wird und die Raten gezahlt werden.
(2) Kann sich die Höhe der Raten während der Kreditlaufzeit ändern, hat der Kreditgeber anzugeben, für welchen Zeitraum die anfängliche Ratenhöhe unverändert bleibt und wann und wie häufig sie sich in der Folge ändern wird.
(3) Handelt es sich bei dem gewährte Kredit oder einem Teil davon um einen endfälligen Kredit, so ist ein diesbezüglicher eindeutiger Hinweis unter Verwendung der Formulierung in Teil A deutlich sichtbar am Ende dieses Abschnitts einzufügen.
Muss der Verbraucher ein damit verbundenes Sparprodukt aufnehmen, um einen durch eine Hypothek oder eine vergleichbare Sicherheit gesicherten endfälligen Kredit zu erhalten, sind Betrag und Häufigkeit von Zahlungen für dieses Produkt anzugeben.
(4) Im Falle eines variablen Sollzinssatzes muss das Merkblatt einen diesbezüglichen Hinweis enthalten, wobei die Formulierung unter Teil A zu verwenden und ein anschauliches Beispiel für die maximale Zahlungsrate anzuführen ist. Besteht eine Obergrenze, so muss in dem Beispiel die Höhe der Raten aufgezeigt werden, die fällig sind, falls der Sollzinssatz die Obergrenze erreicht. Besteht keine Obergrenze, so bildet der ungünstigste denkbare Verlauf die Höhe der Ratenzahlungen beim höchsten Sollzinssatz der letzten 20 Jahre ab oder – falls die der Berechnung des Sollzinssatzes zugrunde liegenden Daten nur für einen Zeitraum von weniger als 20 Jahren vorliegen – des längsten Zeitraums, für den solche Daten vorliegen, und zwar ausgehend vom Höchststand des jeweiligen externen Referenzsatzes, der gegebenenfalls für die Berechnung des Sollzinssatzes herangezogen wurde oder vom Höchststand eines Benchmarkzinssatzes, der von einer zuständigen Behörde oder der EBA festgesetzt wird, sofern der Kreditgeber keinen externen Referenzsatz verwendet. Die Anforderung, ein anschauliches Beispiel anzuführen, gilt nicht für Kreditverträge, bei denen ein fester Sollzinssatz für einen konkreten Anfangszeitraum vom mehreren Jahren vereinbart wurde, der anschließend nach Verhandlungen zwischen Kreditgeber und Verbraucher für einen weiteren Zeitraum festgelegt werden kann. Bei mehrteiligen Krediten (d. h. zugleich zum Teil mit festem und zum Teil mit variablem Zinssatz) sind die entsprechenden Informationen für jeden einzelnen Teil des Kredits und für den Gesamtkredit anzugeben.
(5) (falls zutreffend) Wird der Kredit in einer anderen Währung als der Landeswährung des Verbrauchers bereitgestellt oder ist er auf eine andere Währung als die Landeswährung des Verbrauchers indexiert, verdeutlicht der Kreditgeber – unter Verwendung der Formulierung unter Teil A – anhand eines Zahlenbeispiels, wie sich Änderungen des maßgeblichen Wechselkurses auf die Höhe der Raten auswirken können. Dieses Beispiel basiert auf einem Kursverlust der Landeswährung des Verbrauchers von 20 % und wird von einem Hinweis an hervorgehobener Stelle begleitet, dass die Raten um mehr als den in diesem Beispiel angenommen Betrag steigen können. Besteht eine Obergrenze, die den Anstieg auf weniger als 20 % begrenzt, so ist stattdessen der Höchstwert der Zahlungen in der Landeswährung des Verbrauchers anzugeben und der Hinweis auf etwaige weitere Anstiege entfällt.
(6) Handelt es sich bei dem gesamten Kreditvertrag oder eines Teils davon um einen Kreditvertrag mit variablem Zinssatz und kommt ferner Nummer 5 zur Anwendung, so ist das Beispiel nach Nummer 3 auf der Grundlage der Ratenhöhe im Sinne von Nummer 1 anzugeben.
(7) Werden die Raten in einer anderen Währung als der Kreditwährung gezahlt oder hängt die Höhe der einzelnen in der Landeswährung des Verbrauchers ausgedrückten Raten von dem entsprechenden Betrag in einer anderen Währung ab, so sind in diesem Abschnitt der Termin, zu dem der anwendbare Wechselkurs berechnet wurde sowie entweder der Wechselkurs oder die Grundlage für dessen Berechnung und die Häufigkeit der Anpassung desselben anzugeben. Gegebenenfalls ist dabei der Name der den Wechselkurs veröffentlichenden Einrichtung zu nennen.
(8) Handelt es sich um einen Kredit mit abgegrenztem Zins, bei dem der fällige Zins durch die Raten nicht vollständig zurückbezahlt und zum ausstehenden Gesamtkreditbetrag hinzuaddiert wird, so ist zu erläutern, wie und wann der abgegrenzte Zins als Barbetrag zu dem Kredit hinzuaddiert wird und wie sich dies auf die Restschuld des Verbrauchers auswirkt.
(1) Dieser Abschnitt ist aufzunehmen falls es sich um einen Kredit mit abgegrenztem Zins handelt, bei dem der fällige Zins durch die Raten nicht vollständig zurückbezahlt und zum ausstehenden Gesamtkreditbetrag hinzuaddiert wird oder falls der Sollzinssatz für die Laufzeit des Kreditvertrags festgeschrieben ist.
Hat der Verbraucher ein Recht auf einen überarbeiteten Tilgungsplan, so ist dies zusammen mit den Bedingungen anzugeben, unter denen der Verbraucher dieses Recht hat.
(2) Kann der Sollzinssatz während der Kreditlaufzeit variieren, so hat der Kreditgeber nach Angabe des Sollzinssatzes den Zeitraum zu nennen, während dessen der Anfangszinssatz unverändert bleibt.
(3) Die Tabelle in diesem Abschnitt muss folgende Spalten enthalten: „Rückzahlungsplan“ (z. B. Monat 1, Monat 2, Monat 3), „Ratenhöhe“, „pro Rate zu zahlende Zinsen“, „sonstige in der Rate enthaltene Kosten“ (falls zutreffend), „pro Rate zurückgezahltes Kapital“ und „nach der jeweiligen Ratenzahlung noch zurückzuzahlendes Kapital“.
(4) Für das erste Jahr der Rückzahlung sind für jede einzelne Ratenzahlung die betreffenden Angaben und für jede einzelne Spalte die Zwischensumme am Ende des ersten Jahres anzugeben. Für die Folgejahre können die Angaben auf Jahresbasis gemacht werden. Am Ende der Tabelle ist eine Reihe mit den Gesamtbeträgen für alle Spalten anzufügen. Die vom Verbraucher gezahlten Gesamtkosten des Kredits (d. h. die Gesamtsumme der Spalte „Höhe der Ratenzahlung“) sind optisch deutlich hervorzuheben und als solche darzustellen.
(5) Ist der Sollzinssatz Gegenstand einer Überprüfung und ist die Ratenhöhe nach einer solchen Überprüfung nicht bekannt, kann der Kreditgeber im Tilgungsplan für die gesamte Kreditlaufzeit dieselbe Ratenhöhe angeben. In diesem Fall macht der Kreditgeber den Verbraucher darauf aufmerksam, indem er den Unterschied zwischen bereits feststehenden Beträgen und hypothetischen Beträgen optisch verdeutlicht (z. B. durch Schriftgröße, Rahmen oder Schattierung). Außerdem ist in leicht verständlicher Form zu erläutern, für welche Zeiträume und aus welchen Gründen sich die in der Tabelle angegebenen Beträge ändern können.
(1) Der Kreditgeber nennt in diesem Abschnitt die mit der Kreditvergabe verbundenen Auflagen, so die Auflage, die Immobilie zu versichern, eine Lebensversicherung abzuschließen, das Gehalt auf ein bei dem Kreditgeber geführtes Konto überweisen zu lassen oder ein anderes Produkt oder eine andere Dienstleistung zu erwerben. Für jede dieser Auflagen gibt der Kreditgeber an, wem gegenüber die Verpflichtung besteht und bis wann ihr nachzukommen ist.
(2) Der Kreditgeber gibt die Dauer der Auflage an, z. B. bis zum Ablauf des Kreditvertrags. Der Kreditgeber gibt für jede Verpflichtung die dem Verbraucher entstehenden Kosten an, die im effektiven Jahreszins nicht berücksichtigt wurden.
(3) Der Kreditgeber teilt mit, ob der Verbraucher zum Erwerb etwaiger Nebenleistungen verpflichtet ist, um den Kredit zu den genannten Bedingungen zu erhalten, und ob der Verbraucher gegebenenfalls verpflichtet ist, diese vom bevorzugten Anbieter des Kreditgebers zu erwerben oder ob er diese von einem Anbieter seiner Wahl erwerben kann. Hängt eine solche Möglichkeit davon ab, dass die Nebenleistungen bestimmte Mindestmerkmale aufweisen, so sind diese in dieser Rubrik zu beschreiben.
Sofern der Kreditvertrag mit anderen Produkten gebündelt angeboten wird, nennt der Kreditgeber die wichtigsten Merkmale dieser anderen Produkte und gibt eindeutig an, ob der Verbraucher das Recht hat, den Kreditvertrag oder die an ihn geknüpften Produkte voneinander getrennt zu kündigen, und zu welchen Bedingungen und mit welchen Folgen dies möglich ist sowie gegebenenfalls die möglichen Folgen der Kündigung der in Verbindung mit dem Kreditvertrag vorgeschriebenen Nebenleistungen.
(1) Der Kreditgeber nennt die etwaigen Bedingungen für eine vorzeitige vollständige oder teilweise Rückzahlung des Kredits.
(2) In der Rubrik Ablöseentschädigung weist der Kreditgeber den Verbraucher auf jedwede Ablöseentschädigung oder sonstigen Kosten einer vorzeitigen Rückzahlung zur Entschädigung des Kreditgebers hin und gibt sofern möglich deren Höhe an. Hängt die Höhe der Entschädigung von verschiedenen Faktoren ab, wie etwa der Höhe des bereits zurückgezahlten Betrags oder dem zum Zeitpunkt der vorzeitigen Rückzahlung geltenden Sollzinssatz, so erläutert der Kreditgeber, wie die Entschädigung berechnet wird, und gibt den potenziellen Höchstbetrag der Entschädigung an oder – falls dies nicht möglich ist – macht er dem Verbraucher in einem anschaulichen Beispiel deutlich, wie hoch die Entschädigung bei Zugrundelegung unterschiedlicher möglicher Szenarien ausfällt.
(1) Gegebenenfalls erläutert der Kreditgeber die Möglichkeit und die Bedingungen für die Übertragung des Kredits auf einen anderen Kreditgeber oder eine andere Immobilie.
(2) (Falls zutreffend) Zusätzliche Merkmale: Wenn Produkte eines der unten unter Nummer 5 aufgelisteten Merkmale enthalten, muss dieser Abschnitt diese Merkmale auflisten und eine knappe Erläuterung der folgenden Punkte enthalten: die Bedingungen, unter denen der Verbraucher dieses Merkmal nutzen kann; jegliche mit dem Merkmal verbundenen Bedingungen; ob gewöhnlich mit dem Merkmal verbundene gesetzliche oder andere Schutzvorkehrungen für den Verbraucher wegfallen, wenn das Merkmal Bestandteil des durch eine Hypothek oder vergleichbare Sicherheit gesicherten Kredits ist, und die Firma, die das Merkmal anbietet (sofern mit dem Kreditgeber nicht identisch).
(3) Wenn das Merkmal zusätzliche Kredite umfasst, müssen dem Verbraucher in diesem Abschnitt die folgenden Punkte erläutert werden: der Gesamtkreditbetrag (einschließlich des Kredits, der durch die Hypothek oder vergleichbare Sicherheit gesichert ist); ob der zusätzliche Kredit besichert ist; die entsprechenden Sollzinssätze und ob er einer Regulierung unterliegt. Dieser zusätzliche Kreditbetrag ist entweder im Rahmen der ursprünglichen Kreditwürdigkeitsprüfung enthalten oder – wenn dies nicht der Fall ist – es wird in diesem Abschnitt klargestellt, dass die Verfügbarkeit des zusätzlichen Betrags von einer weiteren Prüfung der Fähigkeit des Verbrauchers, den Kredit zurückzuzahlen, abhängt.
(4) Wenn das Merkmal einen Träger für Spareinlagen umfasst, sind die entsprechenden Zinssätze zu erläutern.
(5) Die möglichen weiteren Merkmale sind: „Überzahlungen/Unterzahlungen“ [es wird mehr oder weniger zurückgezahlt als die im Rahmen der Amortisationsstruktur vereinbarte normale Rate]; „Zahlungsunterbrechungen“ [Zeiträume, während denen der Verbraucher keine Zahlungen leisten muss]; „Rückdarlehen“ [Möglichkeit für den Verbraucher, Beträge, die bereits in Anspruch genommen und zurückbezahlt wurden, erneut aufzunehmen]; „verfügbare zusätzliche Kreditaufnahme ohne weitere Genehmigung“; „zusätzliche besicherte oder unbesicherte Kreditaufnahme [in Übereinstimmung mit Nummer 3 oben] „Kreditkarte“; „damit verbundenes Girokonto“ sowie „damit verbundenes Sparkonto“.
(6) Der Kreditgeber kann alle weiteren Merkmale erläutern, die er als Teil des Kreditvertrags anbietet und die nicht in den vorausgehenden Abschnitten genannt sind.
(1) Der Kreditgeber weist auf die bestehenden Rechte hin wie etwa ein Recht auf Widerruf oder Bedenkzeit oder gegebenenfalls andere Rechte wie etwa ein Recht auf Übertragbarkeit (einschließlich Abtretung), spezifiziert die Voraussetzungen für ihre Ausübung, die bei ihrer Ausübung vom Verbraucher einzuhaltenden Verfahren – unter anderem die Adresse, an die die Mitteilung über den Widerruf zu richten ist – sowie die entsprechenden Gebühren (falls zutreffend).
(2) Falls der Verbraucher ein Recht auf Bedenkzeit oder Widerruf hat, so wird deutlich darauf hingewiesen.
(3) Wird der Kreditvertrag im Rahmen eines Fernabsatzgeschäfts angeboten, ist der Verbraucher im Einklang mit Artikel 3 der Richtlinie 2002/65/EG darüber zu unterrichten, ob er über ein Widerrufsrecht verfügt oder nicht.
(1) In diesem Abschnitt werden die interne Kontaktstelle [Bezeichnung der einschlägigen Abteilung] und ein Weg zur Kontaktaufnahme mit dieser Beschwerdestelle [Anschrift] oder [Telefonnummer] oder [eine Kontaktperson] [Kontaktangaben] sowie ein Link zu einem Beschwerdeverfahren auf der entsprechenden Seite einer Website oder ähnlichen Informationsquelle angegeben.
(2) Es wird der Name der externen Stelle für außergerichtliche Beschwerde- und Rechtsbehelfsverfahren angegeben und – falls die Nutzung des internen Beschwerdeverfahrens eine Voraussetzung für den Zugang zu dieser Stelle ist – wird unter Verwendung der Formulierung in Teil A auf diesen Umstand hingewiesen.
(3) Bei Kreditverträgen mit einem Verbraucher, der seinen Wohnsitz in einem anderen Mitgliedstaat hat, macht der Kreditgeber diesen auf das FIN-NET aufmerksam (http://ec.europa.eu/internal_market/finnet/).
(1) Kann die Nichteinhaltung einer aus dem Kredit erwachsenden Verpflichtung durch den Verbraucher für diesen finanzielle oder rechtliche Konsequenzen haben, erläutert der Kreditgeber in diesem Abschnitt die wichtigsten Fälle (z. B. Zahlungsverzug/Zahlungsausfall, Nichteinhaltung der in Abschnitt 8 – „Zusätzliche Auflagen“ – genannten Verpflichtungen) und gibt an, wo weitere Informationen eingeholt werden können.
(2) Der Kreditgeber gibt für jeden dieser Fälle in klarer, leicht verständlicher Form an, welche Sanktionen oder Konsequenzen daraus erwachsen können. Hinweise auf schwerwiegende Konsequenzen sind optisch hervorzuheben.
(3) Kann die zur Besicherung des Kredits verwendete Immobilie an den Kreditgeber zurückgegeben oder übertragen werden, falls der Verbraucher seinen Verpflichtungen nicht nachkommt, so ist in diesem Abschnitt unter Verwendung der Formulierung in Teil A auf diesen Umstand hinzuweisen.
(1) Im Falle von Fernabsatz enthält dieser Abschnitt sämtliche Angaben zu dem auf den Kreditvertrag anwendbaren Recht oder zur zuständigen Gerichtsbarkeit.
(2) Beabsichtigt der Kreditgeber, während der Vertragslaufzeit mit dem Verbraucher in einer anderen Sprache als der des ESIS-Merkblatts zu kommunizieren, wird dies ebenfalls erwähnt und die Sprache angegeben, in der kommuniziert werden soll. Die Bestimmungen des Artikels 3 Absatz 1 sowie des Artikels 3 Absatz 3 Buchstabe g der Richtlinie 2002/65/EG bleiben hiervon unberührt.
(3) Der Kreditgeber oder der Kreditvermittler weisen auf das Recht des Verbrauchers hin, dass er gegebenenfalls zumindest zum Zeitpunkt der Vorlage eines für den Kreditgeber verbindlichen Angebots eine Ausfertigung des Kreditvertragsentwurfs erhält oder ihm dies angeboten wird.
Es sind die Behörden anzugeben, die für die Überwachung des vorvertraglichen Stadiums der Kreditvergabe zuständig sind.